59 Ailanthus altissima
59.1 Données d’occurrences GBIF
Collecte des données du GBIF :
<<gbif download metadata>>
Status: SUCCEEDED
DOI: 10.15468/dl.58hyd9
Format: SIMPLE_CSV
Download key: 0252081-230224095556074
Created: 2023-05-20T11:13:08.943+00:00
Modified: 2023-05-20T11:15:32.617+00:00
Download link: https://api.gbif.org/v1/occurrence/download/request/0252081-230224095556074.zip
Total records: 75948
Conversion en objets géographiques (format Simple feature de sf) et
exploration rapide des données (classe du jeu de données et premières lignes du
tableau) :
Simple feature collection with 71528 features and 50 fields
Attribute-geometry relationship: 50 constant, 0 aggregate, 0 identity
Geometry type: POINT
Dimension: XY
Bounding box: xmin: -159.663 ymin: -43.645819 xmax: 176.908005 ymax: 63.434
Geodetic CRS: WGS 84
# A tibble: 71,528 × 51
gbifID datasetKey occurrenceID kingdom phylum class order family genus species infraspecificEpithet
* <int64> <chr> <chr> <chr> <chr> <chr> <chr> <chr> <chr> <chr> <chr>
1 3.e9 c4e1739b-… BISON:New Y… Plantae Trach… Magn… Sapi… Simar… Aila… Ailant… ""
2 3.e9 c4e1739b-… BISON:New Y… Plantae Trach… Magn… Sapi… Simar… Aila… Ailant… ""
3 3.e9 c4e1739b-… BISON:New Y… Plantae Trach… Magn… Sapi… Simar… Aila… Ailant… ""
4 3.e9 c4e1739b-… BISON:New Y… Plantae Trach… Magn… Sapi… Simar… Aila… Ailant… ""
5 3.e9 5f06e39d-… USFS - New … Plantae Trach… Magn… Sapi… Simar… Aila… Ailant… ""
6 3.e9 d1e9202b-… NYCstreetTr… Plantae Trach… Magn… Sapi… Simar… Aila… Ailant… ""
7 3.e9 d1e9202b-… NYCstreetTr… Plantae Trach… Magn… Sapi… Simar… Aila… Ailant… ""
8 3.e9 c4e1739b-… BISON:New Y… Plantae Trach… Magn… Sapi… Simar… Aila… Ailant… ""
9 3.e9 5f06e39d-… USFS - New … Plantae Trach… Magn… Sapi… Simar… Aila… Ailant… ""
10 3.e9 c4e1739b-… BISON:New Y… Plantae Trach… Magn… Sapi… Simar… Aila… Ailant… ""
# ℹ 71,518 more rows
# ℹ 40 more variables: taxonRank <chr>, scientificName <chr>, verbatimScientificName <chr>,
# verbatimScientificNameAuthorship <chr>, countryCode <chr>, locality <chr>, stateProvince <chr>,
# occurrenceStatus <chr>, individualCount <int>, publishingOrgKey <chr>, decimalLatitude <dbl>,
# decimalLongitude <dbl>, coordinateUncertaintyInMeters <dbl>, coordinatePrecision <dbl>,
# elevation <dbl>, elevationAccuracy <dbl>, depth <dbl>, depthAccuracy <dbl>, eventDate <dttm>,
# day <int>, month <int>, year <int>, taxonKey <int>, speciesKey <int>, basisOfRecord <chr>, …
Il y a 71 528 occurrences dans le jeu de données. On les affiche sur la carte du monde :
Figure 59.1: Occurrences de Ailanthus altissima dans le monde.
59.1.1 Données par région
On évalue la proportion d’occurrences dans chaque région, en utilisant les 3 masques créés précédemment. Si on a au moins 50 % des occurrences dans une région, on peut continuer en travaillant uniquement sur ces données. Sinon, on vérifie qu’au moins 67 % des données tombent dans l’ensemble des régions, et on prend la région la plus représentée. Au final, s’il s’agit d’une espèce endémique d’Europe, on n’a pas besoin de manipulation supplémentaire.
[1] 0.7866989151
[1] 0.1914914439
[1] 0.006864444693
Figure 59.2: Occurrence de Ailanthus altissima dans la région d’endémisme.
59.1.2 Licences
On s’intéresse ici au problème particulier des licences :
CC_BY_4_0
46721
CC_BY_NC_4_0
7166
CC0_1_0
1676
https://creativecommons.org/licenses/by-nc/4.0/legalcode
210
https://creativecommons.org/licenses/by/4.0/legalcode
489
https://creativecommons.org/publicdomain/zero/1.0/legalcode
9
[1] 86.89200476
Figure 59.3: Occurrence de Ailanthus altissima dans la région d’endémisme, selon la licence : CC BY-NC en bleu ; CC0 et CC BY en orange.
Idéalement, on aimerait avoir au moins 50 % de données vraiment libres
d’utilisation (c’est-à-dire sans la clause -NC). On continue en supprimant les
données en CC BY-NC.
[1] 48895
59.1.3 Sous-échantillonnage
Si le jeu de données contient 25 000 occurrences ou plus, on procède au sous-échantillonnage aléatoire pour en conserver un maximum de 25 000.
Simple feature collection with 25000 features and 50 fields
Attribute-geometry relationship: 50 constant, 0 aggregate, 0 identity
Geometry type: POINT
Dimension: XY
Bounding box: xmin: -9.339229 ymin: 31.200001 xmax: 46.39583 ymax: 57.7048
Geodetic CRS: WGS 84
# A tibble: 25,000 × 51
gbifID datasetKey occurrenceID kingdom phylum class order family genus species infraspecificEpithet
<int64> <chr> <chr> <chr> <chr> <chr> <chr> <chr> <chr> <chr> <chr>
1 6 e6 857aa892-… "" Plantae Trach… Magn… Sapi… Simar… Aila… Ailant… ""
2 2 e9 83fdfd3d-… "INFOFLORA-… Plantae Trach… Magn… Sapi… Simar… Aila… Ailant… ""
3 2 e8 857aa892-… "" Plantae Trach… Magn… Sapi… Simar… Aila… Ailant… ""
4 2 e9 a814f323-… "THU0000300… Plantae Trach… Magn… Sapi… Simar… Aila… Ailant… ""
5 1.e9 f0c74a2c-… "" Plantae Trach… Magn… Sapi… Simar… Aila… Ailant… ""
6 3.e9 9f8368e2-… "2b9409e8-3… Plantae Trach… Magn… Sapi… Simar… Aila… Ailant… ""
7 2 e9 83fdfd3d-… "INFOFLORA-… Plantae Trach… Magn… Sapi… Simar… Aila… Ailant… ""
8 2 e9 14d5676a-… "q-10225228… Plantae Trach… Magn… Sapi… Simar… Aila… Ailant… ""
9 1.e9 f0c74a2c-… "" Plantae Trach… Magn… Sapi… Simar… Aila… Ailant… ""
10 2 e9 83fdfd3d-… "INFOFLORA-… Plantae Trach… Magn… Sapi… Simar… Aila… Ailant… ""
# ℹ 24,990 more rows
# ℹ 40 more variables: taxonRank <chr>, scientificName <chr>, verbatimScientificName <chr>,
# verbatimScientificNameAuthorship <chr>, countryCode <chr>, locality <chr>, stateProvince <chr>,
# occurrenceStatus <chr>, individualCount <int>, publishingOrgKey <chr>, decimalLatitude <dbl>,
# decimalLongitude <dbl>, coordinateUncertaintyInMeters <dbl>, coordinatePrecision <dbl>,
# elevation <dbl>, elevationAccuracy <dbl>, depth <dbl>, depthAccuracy <dbl>, eventDate <dttm>,
# day <int>, month <int>, year <int>, taxonKey <int>, speciesKey <int>, basisOfRecord <chr>, …
59.2 Modélisation de la niche climatique
59.2.1 Préparer les données
Organisation des données d’entrées (occurrences et données environnementales) et des données produites de pseudo-absences :
class : SpatVector
geometry : points
dimensions : 25000, 0 (geometries, attributes)
extent : -9.339229, 46.39583, 31.2, 57.7048 (xmin, xmax, ymin, ymax)
coord. ref. : lon/lat WGS 84 (EPSG:4326)
-=-=-=-=-=-=-=-=-=-=-=-=-=-=-= aial Data Formating -=-=-=-=-=-=-=-=-=-=-=-=-=-=-=
! Response variable is considered as only presences... Is it really what you want?
! No data has been set aside for modeling evaluation
!!! Some data are located in the same raster cell.
Please set `filter.raster = TRUE` if you want an automatic filtering.
Checking Pseudo-absence selection arguments...
> random pseudo absences selection
> Pseudo absences are selected in explanatory variables
! Some NAs have been automatically removed from your data
!!! Some data are located in the same raster cell.
Please set `filter.raster = TRUE` if you want an automatic filtering.
-=-=-=-=-=-=-=-=-=-=-=-=-=-=-=-=-=-= Done -=-=-=-=-=-=-=-=-=-=-=-=-=-=-=-=-=-=
-=-=-=-=-=-=-=-=-=-=-=-=-=-= BIOMOD.formated.data -=-=-=-=-=-=-=-=-=-=-=-=-=-=
dir.name = Output
sp.name = aial
24954 presences, 0 true absences and 72903 undefined points in dataset
6 explanatory variables
temp_max_august temp_min temp_wet_quart temp_season
Min. : 2.656 Min. :-22.048 Min. :-11.199 Min. : 198.9
1st Qu.:20.880 1st Qu.: -8.692 1st Qu.: 9.825 1st Qu.: 631.6
Median :24.400 Median : -2.592 Median : 13.428 Median : 726.1
Mean :25.317 Mean : -3.902 Mean : 12.792 Mean : 757.6
3rd Qu.:28.456 3rd Qu.: 1.356 3rd Qu.: 16.700 3rd Qu.: 896.3
Max. :45.976 Max. : 11.592 Max. : 26.126 Max. :1383.7
prec_wet_quart prec_season
Min. : 3.0 Min. : 6.331
1st Qu.: 176.0 1st Qu.: 23.603
Median : 218.0 Median : 31.528
Mean : 229.1 Mean : 36.068
3rd Qu.: 274.0 3rd Qu.: 41.020
Max. :1240.0 Max. :123.066
-=-=-=-=-=-=-=-=-=-=-=-=-=-=-=-=-=-=-=-=-=-=-=-=-=-=-=-=-=-=-=-=-=-=-=-=-=-=-=-=
On visualise les pseudo-absences :
Figure 59.5: Les données d’occurrences (en haut à gauche) et les trois jeux de données aléatoires de pseudo-absences.
$data.vect
class : SpatVector
geometry : points
dimensions : 174816, 2 (geometries, attributes)
extent : -10.39583, 46.97917, 29.02083, 70.97917 (xmin, xmax, ymin, ymax)
coord. ref. :
names : resp dataset
type : <num> <chr>
values : 10 Initial dataset
10 Initial dataset
10 Initial dataset
$data.label
9 10
"**Presences**" "Presences (calibration)"
11 12
"Presences (validation)" "Presences (evaluation)"
19 20
"**True Absences**" "True Absences (calibration)"
21 22
"True Absences (validation)" "True Absences (evaluation)"
29 30
"**Pseudo-Absences**" "Pseudo-Absences (calibration)"
31 1
"Pseudo-Absences (validation)" "Background"
$data.plot
Figure 59.6: Les données d’occurrences (en haut à gauche) et les trois jeux de données aléatoires de pseudo-absences.
59.2.2 Modèles individuels de niche
-=-=-=-=-=-=-=-=-=-=-=-=-=-=-= Build Single Models -=-=-=-=-=-=-=-=-=-=-=-=-=-=-=
Checking Models arguments...
Creating suitable Workdir...
! Weights where automatically defined for aial_PA1 to rise a 0.5 prevalence !
! Weights where automatically defined for aial_PA2 to rise a 0.5 prevalence !
! Weights where automatically defined for aial_PA3 to rise a 0.5 prevalence !
-=-=-=-=-=-=-=-=-=-=-=-=-=-= aial Modeling Summary -=-=-=-=-=-=-=-=-=-=-=-=-=-=
6 environmental variables ( temp_max_august temp_min temp_wet_quart temp_season prec_wet_quart prec_season )
Number of evaluation repetitions : 1
Models selected : GAM MARS MAXNET GBM ANN RF
Total number of model runs: 18
-=-=-=-=-=-=-=-=-=-=-=-=-=-=-=-=-=-=-=-=-=-=-=-=-=-=-=-=-=-=-=-=-=-=-=-=-=-=-=-=
-=-=-=- Run : aial_PA1
-=-=-=--=-=-=- aial_PA1_RUN1
-=-=-=- Run : aial_PA2
-=-=-=--=-=-=- aial_PA2_RUN1
-=-=-=- Run : aial_PA3
-=-=-=--=-=-=- aial_PA3_RUN1
-=-=-=-=-=-=-=-=-=-=-=-=-=-=-=-=-=-= Done -=-=-=-=-=-=-=-=-=-=-=-=-=-=-=-=-=-=
59.2.2.1 Évaluation de la performance
full.name PA run algo metric.eval cutoff sensitivity
1 aial_PA1_RUN1_GAM PA1 RUN1 GAM TSS 707.0 92.201
2 aial_PA1_RUN1_GAM PA1 RUN1 GAM ROC 701.5 92.376
3 aial_PA1_RUN1_MARS PA1 RUN1 MARS TSS 463.0 93.443
4 aial_PA1_RUN1_MARS PA1 RUN1 MARS ROC 461.5 93.513
5 aial_PA1_RUN1_MAXNET PA1 RUN1 MAXNET TSS 401.0 90.553
6 aial_PA1_RUN1_MAXNET PA1 RUN1 MAXNET ROC 406.5 90.182
specificity calibration validation evaluation
1 61.965 0.542 0.545 NA
2 61.840 0.693 0.695 NA
3 86.085 0.795 0.800 NA
4 86.065 0.955 0.956 NA
5 88.695 0.793 0.792 NA
6 89.210 0.956 0.956 NA
Figure 59.7: Évaluation de la performance des modèles individuels : True Skill Statistic & aire sous la courbe de ROC.
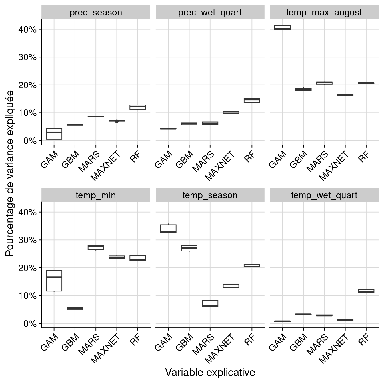
59.2.2.2 Importance des variables environnementales
full.name PA run algo expl.var rand var.imp
1 aial_PA1_RUN1_GAM PA1 RUN1 GAM temp_max_august 1 0.397749
2 aial_PA1_RUN1_GAM PA1 RUN1 GAM temp_min 1 0.116558
3 aial_PA1_RUN1_GAM PA1 RUN1 GAM temp_wet_quart 1 0.008025
4 aial_PA1_RUN1_GAM PA1 RUN1 GAM temp_season 1 0.326212
5 aial_PA1_RUN1_GAM PA1 RUN1 GAM prec_wet_quart 1 0.044455
6 aial_PA1_RUN1_GAM PA1 RUN1 GAM prec_season 1 0.044135
Figure 59.8: Pourcentage de variance expliquée pour chaque variable, décomposé par algorithme.
Figure 59.9: Pourcentage de variance expliquée pour chaque variable, décomposé par variable.
59.2.3 Modèles d’ensemble de niche
Seulement modèles avec TSS > 0.8
-=-=-=-=-=-=-=-=-=-=-=-=-= BIOMOD.ensemble.models.out -=-=-=-=-=-=-=-=-=-=-=-=-=
sp.name : aial
expl.var.names : temp_max_august temp_min temp_wet_quart temp_season
prec_wet_quart prec_season
models computed:
aial_EMcvByTSS_mergedData_mergedRun_mergedAlgo, aial_EMwmeanByTSS_mergedData_mergedRun_mergedAlgo
models failed: none
-=-=-=-=-=-=-=-=-=-=-=-=-=-=-=-=-=-=-=-=-=-=-=-=-=-=-=-=-=-=-=-=-=-=-=-=-=-=-=-=
59.2.3.1 Évaluation de la qualité
full.name merged.by.PA merged.by.run
1 aial_EMwmeanByTSS_mergedData_mergedRun_mergedAlgo mergedData mergedRun
2 aial_EMwmeanByTSS_mergedData_mergedRun_mergedAlgo mergedData mergedRun
merged.by.algo filtered.by algo metric.eval cutoff sensitivity specificity
1 mergedAlgo TSS EMwmean TSS 544.0 95.724 93.563
2 mergedAlgo TSS EMwmean ROC 544.5 95.708 93.581
calibration validation evaluation
1 0.893 NA NA
2 0.992 NA NA
Figure 59.11: Évaluation de la qualité du modèle d’ensemble : Aire sous la courbe de ROC & True Skill Statistic.
full.name merged.by.PA merged.by.run
1 aial_EMcvByTSS_mergedData_mergedRun_mergedAlgo mergedData mergedRun
2 aial_EMcvByTSS_mergedData_mergedRun_mergedAlgo mergedData mergedRun
3 aial_EMcvByTSS_mergedData_mergedRun_mergedAlgo mergedData mergedRun
4 aial_EMcvByTSS_mergedData_mergedRun_mergedAlgo mergedData mergedRun
5 aial_EMcvByTSS_mergedData_mergedRun_mergedAlgo mergedData mergedRun
6 aial_EMcvByTSS_mergedData_mergedRun_mergedAlgo mergedData mergedRun
merged.by.algo filtered.by algo expl.var rand var.imp
1 mergedAlgo TSS EMcv temp_max_august 1 0.313527
2 mergedAlgo TSS EMcv temp_min 1 0.485783
3 mergedAlgo TSS EMcv temp_wet_quart 1 0.123899
4 mergedAlgo TSS EMcv temp_season 1 0.283876
5 mergedAlgo TSS EMcv prec_wet_quart 1 0.182421
6 mergedAlgo TSS EMcv prec_season 1 0.180887
Par variable :
Figure 59.12: Pourcentage de variance expliquée par variable dans le modèle d’ensemble.
Figure 59.13: Courbes de réponse de chaque variable climatique dans le modèle d’ensemble.
59.3 Projections
59.3.1 Distribution potentielle contemporaine
Contemporaine : Cartographie des observations sur couches climatiques Extraction des conditions climatiques favorables
-=-=-=-=-=-=-=-=-=-=-=-=-=-= BIOMOD.projection.out -=-=-=-=-=-=-=-=-=-=-=-=-=-=
Projection directory : Output/aial/current
sp.name : aial
expl.var.names : temp_max_august temp_min temp_wet_quart temp_season
prec_wet_quart prec_season
modeling.id : AllModels ( Output/aial/aial.AllModels.models.out )
models.projected :
aial_PA1_RUN1_GAM, aial_PA1_RUN1_MARS, aial_PA1_RUN1_MAXNET, aial_PA1_RUN1_GBM, aial_PA1_RUN1_RF, aial_PA2_RUN1_GAM, aial_PA2_RUN1_MARS, aial_PA2_RUN1_MAXNET, aial_PA2_RUN1_GBM, aial_PA2_RUN1_RF, aial_PA3_RUN1_GAM, aial_PA3_RUN1_MARS, aial_PA3_RUN1_MAXNET, aial_PA3_RUN1_GBM, aial_PA3_RUN1_RF
available binary projection : TSS, ROC
available filtered projection : TSS, ROC
-=-=-=-=-=-=-=-=-=-=-=-=-=-=-=-=-=-=-=-=-=-=-=-=-=-=-=-=-=-=-=-=-=-=-=-=-=-=-=-=
Figure 59.14: Projection de la distribution potentielle contemporaine sur l’Europe, selon les 6 algorithmes et les 3 runs.
Figure 59.15: Projection de la distribution potentielle contemporaine sur l’Europe, selon les 6 algorithmes et les 3 runs.
-=-=-=-=-=-=-=-=-=-=-=-=-=-= BIOMOD.projection.out -=-=-=-=-=-=-=-=-=-=-=-=-=-=
Projection directory : Output/aial/current
sp.name : aial
expl.var.names : temp_max_august temp_min temp_wet_quart temp_season
prec_wet_quart prec_season
modeling.id : AllModels ( Output/aial/aial.AllModels.ensemble.models.out )
models.projected :
aial_EMcvByTSS_mergedData_mergedRun_mergedAlgo, aial_EMwmeanByTSS_mergedData_mergedRun_mergedAlgo
-=-=-=-=-=-=-=-=-=-=-=-=-=-=-=-=-=-=-=-=-=-=-=-=-=-=-=-=-=-=-=-=-=-=-=-=-=-=-=-=
Figure 59.16: A) Projection de la distribution potentielle contemporaine (modèle d’ensemble) ; B) Incertitude associée à la projection.
59.3.2 Interpolation à l’échelle de la métropole
- → conditions climatiques favorables à fine échelle
On projette la niche climatique sur ce raster à fine échelle.
-=-=-=-=-=-=-=-=-=-=-=-=-=-= BIOMOD.projection.out -=-=-=-=-=-=-=-=-=-=-=-=-=-=
Projection directory : Output/aial/cont_gre
sp.name : aial
expl.var.names : temp_max_august temp_min temp_wet_quart temp_season
prec_wet_quart prec_season
modeling.id : AllModels ( Output/aial/aial.AllModels.models.out )
models.projected :
aial_PA1_RUN1_GAM, aial_PA1_RUN1_MARS, aial_PA1_RUN1_MAXNET, aial_PA1_RUN1_GBM, aial_PA1_RUN1_RF, aial_PA2_RUN1_GAM, aial_PA2_RUN1_MARS, aial_PA2_RUN1_MAXNET, aial_PA2_RUN1_GBM, aial_PA2_RUN1_RF, aial_PA3_RUN1_GAM, aial_PA3_RUN1_MARS, aial_PA3_RUN1_MAXNET, aial_PA3_RUN1_GBM, aial_PA3_RUN1_RF
available binary projection : TSS, ROC
available filtered projection : TSS, ROC
-=-=-=-=-=-=-=-=-=-=-=-=-=-=-=-=-=-=-=-=-=-=-=-=-=-=-=-=-=-=-=-=-=-=-=-=-=-=-=-=
Figure 59.17: Projection de la distribution potentielle contemporaine sur la métropole de Grenoble, selon les 6 algorithmes et les 3 runs.
Figure 59.18: Projection de la distribution potentielle contemporaine sur la métropole de Grenoble, selon les 6 algorithmes et les 3 runs.
-=-=-=-=-=-=-=-=-=-=-=-=-=-= BIOMOD.projection.out -=-=-=-=-=-=-=-=-=-=-=-=-=-=
Projection directory : Output/aial/cont_gre
sp.name : aial
expl.var.names : temp_max_august temp_min temp_wet_quart temp_season
prec_wet_quart prec_season
modeling.id : AllModels ( Output/aial/aial.AllModels.ensemble.models.out )
models.projected :
aial_EMcvByTSS_mergedData_mergedRun_mergedAlgo, aial_EMwmeanByTSS_mergedData_mergedRun_mergedAlgo
-=-=-=-=-=-=-=-=-=-=-=-=-=-=-=-=-=-=-=-=-=-=-=-=-=-=-=-=-=-=-=-=-=-=-=-=-=-=-=-=
Figure 59.19: A) Projection de la distribution potentielle contemporaine (modèle d’ensemble) sur la métropole de Grenoble ; B) Incertitude associée à la projection.
59.3.3 Distributions potentielles futures
Futur : Projection à l’échelle de l’Europe jusqu’à l’horizon 2100
Toutes les fenêtres temporelles × scénarios pour le GCM « IPSL-CM6A-LR »
- SSP1-2.6




Figure 59.20: Projection des distributions potentielles futures jusqu’à l’horizon 2100 sous le scénario SSP1-2.6 (modèle d’ensemble).
On obtient pour la métrique TSS une carte unique de moyenne pondérée sur les algorithmes et sur les jeux de pseudo-absences.
- SSP2-4.5




Figure 59.21: Projection des distributions potentielles futures jusqu’à l’horizon 2100 sous le scénario SSP2-4.5 (modèle d’ensemble).
- SSP3-7.0




Figure 59.22: Projection des distributions potentielles futures jusqu’à l’horizon 2100 sous le scénario SSP3-7.0 (modèle d’ensemble).
- SSP5-8.5




Figure 59.23: Projection des distributions potentielles futures jusqu’à l’horizon 2100 sous le scénario SSP5-8.5 (modèle d’ensemble).
59.4 Inférence à l’échelle de la métropole
- Croisement avec températures de surface 2019 (fournie par la métropole)
- → conditions climatiques favorables à fine échelle
- à peu près 7 pixels × 9 (WorldClim)
59.4.1 Distributions potentielles futures
Même chose que précédemment mais sur les rasters de Grenoble
- SSP1-2.6




Figure 59.24: Projection des distributions potentielles contemporaine et futures jusqu’à l’horizon 2100 sous le scénario SSP5-8.5 (modèle d’ensemble, GCM IPSL).
- SSP2-4.5




Figure 59.25: Projection des distributions potentielles contemporaine et futures jusqu’à l’horizon 2100 sous le scénario SSP5-8.5 (modèle d’ensemble, GCM IPSL).
- SSP3-7.0




Figure 59.26: Projection des distributions potentielles contemporaine et futures jusqu’à l’horizon 2100 sous le scénario SSP5-8.5 (modèle d’ensemble, GCM IPSL).
- SSP5-8.5




Figure 59.27: Projection des distributions potentielles contemporaine et futures jusqu’à l’horizon 2100 sous le scénario SSP5-8.5 (modèle d’ensemble, GCM IPSL).
59.4.2 Évolution temporelle
# A tibble: 17 × 8
min q1 median mean q3 max ssp year
<table[1d]> <table[1d]> <table[1d]> <table[1d]> <table[1d]> <tab> <fct> <dbl>
1 169 508 637 646.0094 825 952 0 2000
2 233 572 715 687.5229 844 947 126 2040
3 311 547 641 641.4319 785 931 126 2060
4 325 570 712 675.3822 821 916 126 2080
5 322 563 693 658.7849 783 912 126 2100
6 315 590 779 705.2919 846 939 245 2040
7 320 515 624 624.6620 789 924 245 2060
8 317 493 639 634.9687 798 900 245 2080
9 304 417 610 578.0127 722 850 245 2100
10 217 547 634 654.2970 832 948 370 2040
11 320 535 626 624.8508 775 906 370 2060
12 297 384 600 558.4163 696 842 370 2080
13 270 316 416 436.2547 541 658 370 2100
14 245 573 708 682.4967 836 936 585 2040
15 317 471 624 614.2609 774 889 585 2060
16 239 325 496 470.0868 593 677 585 2080
17 195 290 328 335.9069 374 604 585 2100
Figure 59.28: Évolution de la favorabilité climatique au cours du XXIème siècle. Le point représente la médiane sur l’étendue de la métropole (i.e. tous les pixels de la carte) ; le trait gras représente 50 % des données intermédiaires (espace inter-quartile) ; le trait fin représente le reste des données du minimum au maximum.