261 Pinus uncinata
261.1 Données d’occurrences GBIF
Collecte des données du GBIF :
<<gbif download metadata>>
Status: SUCCEEDED
DOI: 10.15468/dl.njjz7m
Format: SIMPLE_CSV
Download key: 0015903-230828120925497
Created: 2023-09-13T19:10:34.760+00:00
Modified: 2023-09-13T19:11:40.127+00:00
Download link: https://api.gbif.org/v1/occurrence/download/request/0015903-230828120925497.zip
Total records: 21191
Conversion en objets géographiques (format Simple feature de sf) et
exploration rapide des données (classe du jeu de données et premières lignes du
tableau) :
Simple feature collection with 21191 features and 50 fields
Attribute-geometry relationships: constant (50)
Geometry type: POINT
Dimension: XY
Bounding box: xmin: -6.71 ymin: -45.791 xmax: 176.4392 ymax: 67.49541
Geodetic CRS: WGS 84
# A tibble: 21,191 × 51
gbifID datasetKey occurrenceID kingdom phylum class order family genus
* <int64> <chr> <chr> <chr> <chr> <chr> <chr> <chr> <chr>
1 923054364 6ac3f774-d9fb… "" Plantae Trach… Pino… Pina… Pinac… Pinus
2 923053713 6ac3f774-d9fb… "" Plantae Trach… Pino… Pina… Pinac… Pinus
3 923051120 6ac3f774-d9fb… "" Plantae Trach… Pino… Pina… Pinac… Pinus
4 923049171 6ac3f774-d9fb… "" Plantae Trach… Pino… Pina… Pinac… Pinus
5 923046255 6ac3f774-d9fb… "" Plantae Trach… Pino… Pina… Pinac… Pinus
6 923040934 6ac3f774-d9fb… "" Plantae Trach… Pino… Pina… Pinac… Pinus
7 923039188 6ac3f774-d9fb… "" Plantae Trach… Pino… Pina… Pinac… Pinus
8 923038025 6ac3f774-d9fb… "" Plantae Trach… Pino… Pina… Pinac… Pinus
9 923036234 6ac3f774-d9fb… "" Plantae Trach… Pino… Pina… Pinac… Pinus
10 923035772 6ac3f774-d9fb… "" Plantae Trach… Pino… Pina… Pinac… Pinus
# ℹ 21,181 more rows
# ℹ 42 more variables: species <chr>, infraspecificEpithet <chr>,
# taxonRank <chr>, scientificName <chr>, verbatimScientificName <chr>,
# verbatimScientificNameAuthorship <chr>, countryCode <chr>, locality <chr>,
# stateProvince <chr>, occurrenceStatus <chr>, individualCount <int>,
# publishingOrgKey <chr>, decimalLatitude <dbl>, decimalLongitude <dbl>,
# coordinateUncertaintyInMeters <dbl>, coordinatePrecision <dbl>, …
Il y a 21 191 occurrences dans le jeu de données. On les affiche sur la carte du monde :
Figure 261.1: Occurrences de Pinus uncinata dans le monde.
261.1.1 Données par région
On évalue la proportion d’occurrences dans chaque région, en utilisant les 3 masques créés précédemment. Si on a au moins 50 % des occurrences dans une région, on peut continuer en travaillant uniquement sur ces données. Sinon, on vérifie qu’au moins 67 % des données tombent dans l’ensemble des régions, et on prend la région la plus représentée. Au final, s’il s’agit d’une espèce endémique d’Europe, on n’a pas besoin de manipulation supplémentaire.
[1] 0.9991506
[1] 0
[1] 0
Figure 261.2: Occurrence de Pinus uncinata dans la région d’endémisme.
261.1.2 Licences
On s’intéresse ici au problème particulier des licences :
CC_BY_4_0
20789
CC_BY_NC_4_0
289
CC0_1_0
88
https://creativecommons.org/licenses/by-nc/4.0/legalcode
5
https://creativecommons.org/licenses/by/4.0/legalcode
2
[1] 98.61144
Figure 261.3: Occurrence de Pinus uncinata dans la région d’endémisme, selon la licence : CC BY-NC en bleu ; CC0 et CC BY en orange.
Idéalement, on aimerait avoir au moins 50 % de données vraiment libres
d’utilisation (c’est-à-dire sans la clause -NC). On continue en supprimant les
données en CC BY-NC.
[1] 20879
261.1.3 Sous-échantillonnage
Si le jeu de données contient 25 000 occurrences ou plus, on procède au sous-échantillonnage aléatoire pour en conserver un maximum de 25 000.
Simple feature collection with 20879 features and 50 fields
Attribute-geometry relationships: constant (50)
Geometry type: POINT
Dimension: XY
Bounding box: xmin: -4.79 ymin: 37.09 xmax: 19.19137 ymax: 67.49541
Geodetic CRS: WGS 84
# A tibble: 20,879 × 51
gbifID datasetKey occurrenceID kingdom phylum class order family genus
<int64> <chr> <chr> <chr> <chr> <chr> <chr> <chr> <chr>
1 923054364 6ac3f774-d9fb… "" Plantae Trach… Pino… Pina… Pinac… Pinus
2 923053713 6ac3f774-d9fb… "" Plantae Trach… Pino… Pina… Pinac… Pinus
3 923051120 6ac3f774-d9fb… "" Plantae Trach… Pino… Pina… Pinac… Pinus
4 923049171 6ac3f774-d9fb… "" Plantae Trach… Pino… Pina… Pinac… Pinus
5 923046255 6ac3f774-d9fb… "" Plantae Trach… Pino… Pina… Pinac… Pinus
6 923040934 6ac3f774-d9fb… "" Plantae Trach… Pino… Pina… Pinac… Pinus
7 923039188 6ac3f774-d9fb… "" Plantae Trach… Pino… Pina… Pinac… Pinus
8 923038025 6ac3f774-d9fb… "" Plantae Trach… Pino… Pina… Pinac… Pinus
9 923036234 6ac3f774-d9fb… "" Plantae Trach… Pino… Pina… Pinac… Pinus
10 923035772 6ac3f774-d9fb… "" Plantae Trach… Pino… Pina… Pinac… Pinus
# ℹ 20,869 more rows
# ℹ 42 more variables: species <chr>, infraspecificEpithet <chr>,
# taxonRank <chr>, scientificName <chr>, verbatimScientificName <chr>,
# verbatimScientificNameAuthorship <chr>, countryCode <chr>, locality <chr>,
# stateProvince <chr>, occurrenceStatus <chr>, individualCount <int>,
# publishingOrgKey <chr>, decimalLatitude <dbl>, decimalLongitude <dbl>,
# coordinateUncertaintyInMeters <dbl>, coordinatePrecision <dbl>, …
261.2 Modélisation de la niche climatique
261.2.1 Préparer les données
Organisation des données d’entrées (occurrences et données environnementales) et des données produites de pseudo-absences :
class : SpatVector
geometry : points
dimensions : 20879, 0 (geometries, attributes)
extent : -4.79, 19.19137, 37.09, 67.49541 (xmin, xmax, ymin, ymax)
coord. ref. : lon/lat WGS 84 (EPSG:4326)
-=-=-=-=-=-=-=-=-=-=-=-=-=-=-= piun Data Formating -=-=-=-=-=-=-=-=-=-=-=-=-=-=-=
! Response variable is considered as only presences... Is it really what you want?
! No data has been set aside for modeling evaluation
!!! Some data are located in the same raster cell.
Please set `filter.raster = TRUE` if you want an automatic filtering.
Checking Pseudo-absence selection arguments...
> random pseudo absences selection
> Pseudo absences are selected in explanatory variables
! Some NAs have been automatically removed from your data
!!! Some data are located in the same raster cell.
Please set `filter.raster = TRUE` if you want an automatic filtering.
-=-=-=-=-=-=-=-=-=-=-=-=-=-=-=-=-=-= Done -=-=-=-=-=-=-=-=-=-=-=-=-=-=-=-=-=-=
-=-=-=-=-=-=-=-=-=-=-=-=-=-= BIOMOD.formated.data -=-=-=-=-=-=-=-=-=-=-=-=-=-=
dir.name = Output
sp.name = piun
20868 presences, 0 true absences and 61126 undefined points in dataset
6 explanatory variables
temp_max_august temp_min temp_wet_quart temp_season
Min. : 4.188 Min. :-22.0840 Min. :-9.946 Min. : 193.2
1st Qu.:18.716 1st Qu.: -9.1520 1st Qu.: 5.827 1st Qu.: 615.9
Median :21.616 Median : -4.9520 Median :11.541 Median : 712.0
Mean :23.755 Mean : -5.0897 Mean :10.516 Mean : 750.1
3rd Qu.:27.764 3rd Qu.: -0.3529 3rd Qu.:15.507 3rd Qu.: 894.3
Max. :45.924 Max. : 11.9800 Max. :24.784 Max. :1387.5
prec_wet_quart prec_season
Min. : 3.0 Min. : 4.496
1st Qu.: 182.0 1st Qu.: 21.163
Median : 229.0 Median : 30.407
Mean : 259.2 Mean : 34.744
3rd Qu.: 359.0 3rd Qu.: 38.800
Max. :1254.0 Max. :123.698
-=-=-=-=-=-=-=-=-=-=-=-=-=-=-=-=-=-=-=-=-=-=-=-=-=-=-=-=-=-=-=-=-=-=-=-=-=-=-=-=
On visualise les pseudo-absences :
Figure 261.5: Les données d’occurrences (en haut à gauche) et les trois jeux de données aléatoires de pseudo-absences.
$data.vect
class : SpatVector
geometry : points
dimensions : 146109, 2 (geometries, attributes)
extent : -10.35417, 46.97917, 29.02083, 70.97917 (xmin, xmax, ymin, ymax)
coord. ref. :
names : resp dataset
type : <num> <chr>
values : 10 Initial dataset
10 Initial dataset
10 Initial dataset
$data.label
9 10
"**Presences**" "Presences (calibration)"
11 12
"Presences (validation)" "Presences (evaluation)"
19 20
"**True Absences**" "True Absences (calibration)"
21 22
"True Absences (validation)" "True Absences (evaluation)"
29 30
"**Pseudo-Absences**" "Pseudo-Absences (calibration)"
31 1
"Pseudo-Absences (validation)" "Background"
$data.plot
Figure 261.6: Les données d’occurrences (en haut à gauche) et les trois jeux de données aléatoires de pseudo-absences.
261.2.2 Modèles individuels de niche
-=-=-=-=-=-=-=-=-=-=-=-=-=-=-= Build Single Models -=-=-=-=-=-=-=-=-=-=-=-=-=-=-=
Checking Models arguments...
Creating suitable Workdir...
! Weights where automatically defined for piun_PA1 to rise a 0.5 prevalence !
! Weights where automatically defined for piun_PA2 to rise a 0.5 prevalence !
! Weights where automatically defined for piun_PA3 to rise a 0.5 prevalence !
-=-=-=-=-=-=-=-=-=-=-=-=-=-= piun Modeling Summary -=-=-=-=-=-=-=-=-=-=-=-=-=-=
6 environmental variables ( temp_max_august temp_min temp_wet_quart temp_season prec_wet_quart prec_season )
Number of evaluation repetitions : 1
Models selected : GAM MARS MAXNET GBM ANN RF
Total number of model runs: 18
-=-=-=-=-=-=-=-=-=-=-=-=-=-=-=-=-=-=-=-=-=-=-=-=-=-=-=-=-=-=-=-=-=-=-=-=-=-=-=-=
-=-=-=- Run : piun_PA1
-=-=-=--=-=-=- piun_PA1_RUN1
-=-=-=- Run : piun_PA2
-=-=-=--=-=-=- piun_PA2_RUN1
-=-=-=- Run : piun_PA3
-=-=-=--=-=-=- piun_PA3_RUN1
-=-=-=-=-=-=-=-=-=-=-=-=-=-=-=-=-=-= Done -=-=-=-=-=-=-=-=-=-=-=-=-=-=-=-=-=-=
261.2.2.1 Évaluation de la performance
full.name PA run algo metric.eval cutoff sensitivity
1 piun_PA1_RUN1_GAM PA1 RUN1 GAM TSS 636.0 97.682
2 piun_PA1_RUN1_GAM PA1 RUN1 GAM ROC 639.5 97.658
3 piun_PA1_RUN1_MARS PA1 RUN1 MARS TSS 561.0 97.346
4 piun_PA1_RUN1_MARS PA1 RUN1 MARS ROC 563.5 97.346
5 piun_PA1_RUN1_MAXNET PA1 RUN1 MAXNET TSS 333.0 97.879
6 piun_PA1_RUN1_MAXNET PA1 RUN1 MAXNET ROC 334.5 97.867
specificity calibration validation evaluation
1 83.422 0.811 0.816 NA
2 83.464 0.875 0.882 NA
3 95.438 0.928 0.920 NA
4 95.450 0.989 0.987 NA
5 95.462 0.933 0.928 NA
6 95.504 0.991 0.990 NA
Figure 261.7: Évaluation de la performance des modèles individuels : True Skill Statistic & aire sous la courbe de ROC.
261.2.2.2 Importance des variables environnementales
full.name PA run algo expl.var rand var.imp
1 piun_PA1_RUN1_GAM PA1 RUN1 GAM temp_max_august 1 0.253973
2 piun_PA1_RUN1_GAM PA1 RUN1 GAM temp_min 1 0.353835
3 piun_PA1_RUN1_GAM PA1 RUN1 GAM temp_wet_quart 1 0.013538
4 piun_PA1_RUN1_GAM PA1 RUN1 GAM temp_season 1 0.749319
5 piun_PA1_RUN1_GAM PA1 RUN1 GAM prec_wet_quart 1 0.151817
6 piun_PA1_RUN1_GAM PA1 RUN1 GAM prec_season 1 0.190652
Figure 261.8: Pourcentage de variance expliquée pour chaque variable, décomposé par algorithme.
Figure 261.9: Pourcentage de variance expliquée pour chaque variable, décomposé par variable.
261.2.3 Modèles d’ensemble de niche
Seulement modèles avec TSS > 0.8
-=-=-=-=-=-=-=-=-=-=-=-=-= BIOMOD.ensemble.models.out -=-=-=-=-=-=-=-=-=-=-=-=-=
sp.name : piun
expl.var.names : temp_max_august temp_min temp_wet_quart temp_season
prec_wet_quart prec_season
models computed:
piun_EMcvByTSS_mergedData_mergedRun_mergedAlgo, piun_EMwmeanByTSS_mergedData_mergedRun_mergedAlgo
models failed: none
-=-=-=-=-=-=-=-=-=-=-=-=-=-=-=-=-=-=-=-=-=-=-=-=-=-=-=-=-=-=-=-=-=-=-=-=-=-=-=-=
261.2.3.1 Évaluation de la qualité
full.name merged.by.PA merged.by.run
1 piun_EMwmeanByTSS_mergedData_mergedRun_mergedAlgo mergedData mergedRun
2 piun_EMwmeanByTSS_mergedData_mergedRun_mergedAlgo mergedData mergedRun
merged.by.algo filtered.by algo metric.eval cutoff sensitivity specificity
1 mergedAlgo TSS EMwmean TSS 632.0 97.388 98.133
2 mergedAlgo TSS EMwmean ROC 632.5 97.388 98.138
calibration validation evaluation
1 0.955 NA NA
2 0.998 NA NA
Figure 261.11: Évaluation de la qualité du modèle d’ensemble : Aire sous la courbe de ROC & True Skill Statistic.
full.name merged.by.PA merged.by.run
1 piun_EMcvByTSS_mergedData_mergedRun_mergedAlgo mergedData mergedRun
2 piun_EMcvByTSS_mergedData_mergedRun_mergedAlgo mergedData mergedRun
3 piun_EMcvByTSS_mergedData_mergedRun_mergedAlgo mergedData mergedRun
4 piun_EMcvByTSS_mergedData_mergedRun_mergedAlgo mergedData mergedRun
5 piun_EMcvByTSS_mergedData_mergedRun_mergedAlgo mergedData mergedRun
6 piun_EMcvByTSS_mergedData_mergedRun_mergedAlgo mergedData mergedRun
merged.by.algo filtered.by algo expl.var rand var.imp
1 mergedAlgo TSS EMcv temp_max_august 1 0.215906
2 mergedAlgo TSS EMcv temp_min 1 0.412083
3 mergedAlgo TSS EMcv temp_wet_quart 1 0.015553
4 mergedAlgo TSS EMcv temp_season 1 0.535192
5 mergedAlgo TSS EMcv prec_wet_quart 1 0.239739
6 mergedAlgo TSS EMcv prec_season 1 0.126712
Par variable :
Figure 261.12: Pourcentage de variance expliquée par variable dans le modèle d’ensemble.
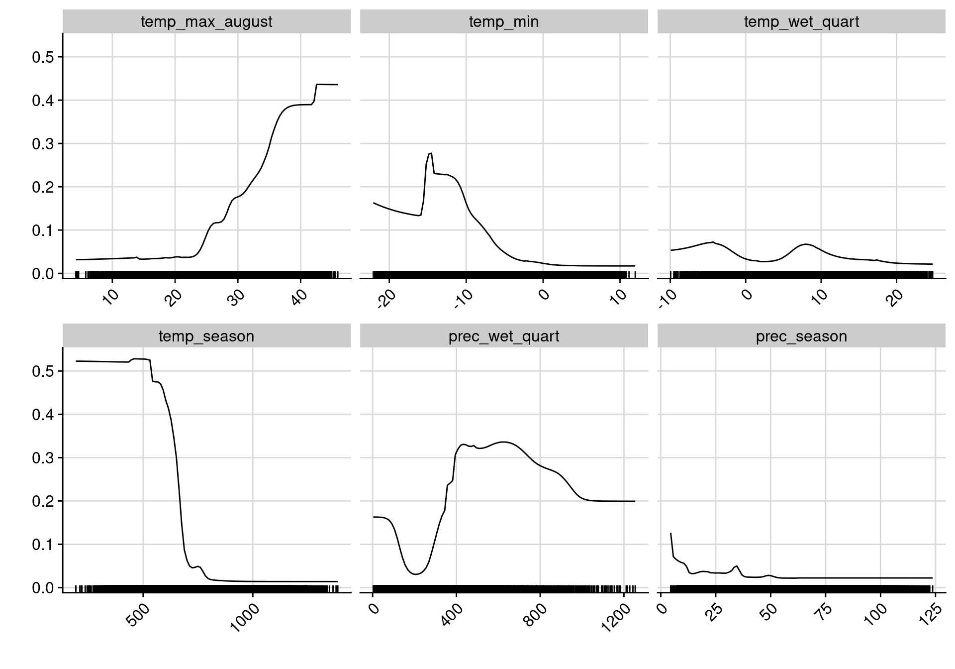
Figure 261.13: Courbes de réponse de chaque variable climatique dans le modèle d’ensemble.
261.3 Projections
261.3.1 Distribution potentielle contemporaine
Contemporaine : Cartographie des observations sur couches climatiques Extraction des conditions climatiques favorables
-=-=-=-=-=-=-=-=-=-=-=-=-=-= BIOMOD.projection.out -=-=-=-=-=-=-=-=-=-=-=-=-=-=
Projection directory : Output/piun/current
sp.name : piun
expl.var.names : temp_max_august temp_min temp_wet_quart temp_season
prec_wet_quart prec_season
modeling.id : AllModels ( Output/piun/piun.AllModels.models.out )
models.projected :
piun_PA1_RUN1_GAM, piun_PA1_RUN1_MARS, piun_PA1_RUN1_MAXNET, piun_PA1_RUN1_GBM, piun_PA1_RUN1_ANN, piun_PA1_RUN1_RF, piun_PA2_RUN1_GAM, piun_PA2_RUN1_MARS, piun_PA2_RUN1_MAXNET, piun_PA2_RUN1_GBM, piun_PA2_RUN1_ANN, piun_PA2_RUN1_RF, piun_PA3_RUN1_GAM, piun_PA3_RUN1_MARS, piun_PA3_RUN1_MAXNET, piun_PA3_RUN1_GBM, piun_PA3_RUN1_ANN, piun_PA3_RUN1_RF
available binary projection : TSS, ROC
available filtered projection : TSS, ROC
-=-=-=-=-=-=-=-=-=-=-=-=-=-=-=-=-=-=-=-=-=-=-=-=-=-=-=-=-=-=-=-=-=-=-=-=-=-=-=-=
Figure 261.14: Projection de la distribution potentielle contemporaine sur l’Europe, selon les 6 algorithmes et les 3 runs.
Figure 261.15: Projection de la distribution potentielle contemporaine sur l’Europe, selon les 6 algorithmes et les 3 runs.
-=-=-=-=-=-=-=-=-=-=-=-=-=-= BIOMOD.projection.out -=-=-=-=-=-=-=-=-=-=-=-=-=-=
Projection directory : Output/piun/current
sp.name : piun
expl.var.names : temp_max_august temp_min temp_wet_quart temp_season
prec_wet_quart prec_season
modeling.id : AllModels ( Output/piun/piun.AllModels.ensemble.models.out )
models.projected :
piun_EMcvByTSS_mergedData_mergedRun_mergedAlgo, piun_EMwmeanByTSS_mergedData_mergedRun_mergedAlgo
-=-=-=-=-=-=-=-=-=-=-=-=-=-=-=-=-=-=-=-=-=-=-=-=-=-=-=-=-=-=-=-=-=-=-=-=-=-=-=-=
Figure 261.16: A) Projection de la distribution potentielle contemporaine (modèle d’ensemble) ; B) Incertitude associée à la projection.
261.3.2 Interpolation à l’échelle de la métropole
- → conditions climatiques favorables à fine échelle
On projette la niche climatique sur ce raster à fine échelle.
-=-=-=-=-=-=-=-=-=-=-=-=-=-= BIOMOD.projection.out -=-=-=-=-=-=-=-=-=-=-=-=-=-=
Projection directory : Output/piun/cont_gre
sp.name : piun
expl.var.names : temp_max_august temp_min temp_wet_quart temp_season
prec_wet_quart prec_season
modeling.id : AllModels ( Output/piun/piun.AllModels.models.out )
models.projected :
piun_PA1_RUN1_GAM, piun_PA1_RUN1_MARS, piun_PA1_RUN1_MAXNET, piun_PA1_RUN1_GBM, piun_PA1_RUN1_ANN, piun_PA1_RUN1_RF, piun_PA2_RUN1_GAM, piun_PA2_RUN1_MARS, piun_PA2_RUN1_MAXNET, piun_PA2_RUN1_GBM, piun_PA2_RUN1_ANN, piun_PA2_RUN1_RF, piun_PA3_RUN1_GAM, piun_PA3_RUN1_MARS, piun_PA3_RUN1_MAXNET, piun_PA3_RUN1_GBM, piun_PA3_RUN1_ANN, piun_PA3_RUN1_RF
available binary projection : TSS, ROC
available filtered projection : TSS, ROC
-=-=-=-=-=-=-=-=-=-=-=-=-=-=-=-=-=-=-=-=-=-=-=-=-=-=-=-=-=-=-=-=-=-=-=-=-=-=-=-=
Figure 261.17: Projection de la distribution potentielle contemporaine sur la métropole de Grenoble, selon les 6 algorithmes et les 3 runs.
Figure 261.18: Projection de la distribution potentielle contemporaine sur la métropole de Grenoble, selon les 6 algorithmes et les 3 runs.
-=-=-=-=-=-=-=-=-=-=-=-=-=-= BIOMOD.projection.out -=-=-=-=-=-=-=-=-=-=-=-=-=-=
Projection directory : Output/piun/cont_gre
sp.name : piun
expl.var.names : temp_max_august temp_min temp_wet_quart temp_season
prec_wet_quart prec_season
modeling.id : AllModels ( Output/piun/piun.AllModels.ensemble.models.out )
models.projected :
piun_EMcvByTSS_mergedData_mergedRun_mergedAlgo, piun_EMwmeanByTSS_mergedData_mergedRun_mergedAlgo
-=-=-=-=-=-=-=-=-=-=-=-=-=-=-=-=-=-=-=-=-=-=-=-=-=-=-=-=-=-=-=-=-=-=-=-=-=-=-=-=
Figure 261.19: A) Projection de la distribution potentielle contemporaine (modèle d’ensemble) sur la métropole de Grenoble ; B) Incertitude associée à la projection.
261.3.3 Distributions potentielles futures
Futur : Projection à l’échelle de l’Europe jusqu’à l’horizon 2100
Toutes les fenêtres temporelles × scénarios pour le GCM « IPSL-CM6A-LR »
- SSP1-2.6




Figure 261.20: Projection des distributions potentielles futures jusqu’à l’horizon 2100 sous le scénario SSP1-2.6 (modèle d’ensemble).
On obtient pour la métrique TSS une carte unique de moyenne pondérée sur les algorithmes et sur les jeux de pseudo-absences.
- SSP2-4.5




Figure 261.21: Projection des distributions potentielles futures jusqu’à l’horizon 2100 sous le scénario SSP2-4.5 (modèle d’ensemble).
- SSP3-7.0




Figure 261.22: Projection des distributions potentielles futures jusqu’à l’horizon 2100 sous le scénario SSP3-7.0 (modèle d’ensemble).
- SSP5-8.5




Figure 261.23: Projection des distributions potentielles futures jusqu’à l’horizon 2100 sous le scénario SSP5-8.5 (modèle d’ensemble).
261.4 Inférence à l’échelle de la métropole
- Croisement avec températures de surface 2019 (fournie par la métropole)
- → conditions climatiques favorables à fine échelle
- à peu près 7 pixels × 9 (WorldClim)
261.4.1 Distributions potentielles futures
Même chose que précédemment mais sur les rasters de Grenoble
- SSP1-2.6




Figure 261.24: Projection des distributions potentielles contemporaine et futures jusqu’à l’horizon 2100 sous le scénario SSP5-8.5 (modèle d’ensemble, GCM IPSL).
- SSP2-4.5




Figure 261.25: Projection des distributions potentielles contemporaine et futures jusqu’à l’horizon 2100 sous le scénario SSP5-8.5 (modèle d’ensemble, GCM IPSL).
- SSP3-7.0




Figure 261.26: Projection des distributions potentielles contemporaine et futures jusqu’à l’horizon 2100 sous le scénario SSP5-8.5 (modèle d’ensemble, GCM IPSL).
- SSP5-8.5




Figure 261.27: Projection des distributions potentielles contemporaine et futures jusqu’à l’horizon 2100 sous le scénario SSP5-8.5 (modèle d’ensemble, GCM IPSL).
261.4.2 Évolution temporelle
# A tibble: 17 × 8
min q1 median mean q3 max ssp year
<table[1d]> <table[1d]> <table[1d]> <table[1d]> <table[1d]> <tab> <fct> <dbl>
1 51 332 571 546.5200 825 898 0 2000
2 24 69 257 307.3321 456 829 126 2040
3 20 46 203 240.7996 353 786 126 2060
4 22 58 242 286.1108 428 799 126 2080
5 22 51 231 272.8124 413 799 126 2100
6 23 67 259 301.3792 436 820 245 2040
7 21 45 206 226.5810 332 762 245 2060
8 20 33 178 191.5292 282 660 245 2080
9 19 26 154 153.5766 226 565 245 2100
10 24 67 245 288.5327 423 818 370 2040
11 20 36 183 206.7083 299 722 370 2060
12 17 24 112 129.6035 208 539 370 2080
13 16 22 138 124.8572 170 437 370 2100
14 23 68 262 307.4062 452 823 585 2040
15 20 30 168 170.5188 240 647 585 2060
16 17 23 139 129.2622 181 443 585 2080
17 15 117 165 148.5616 167 430 585 2100
Figure 261.28: Évolution de la favorabilité climatique au cours du XXIème siècle. Le point représente la médiane sur l’étendue de la métropole (i.e. tous les pixels de la carte) ; le trait gras représente 50 % des données intermédiaires (espace inter-quartile) ; le trait fin représente le reste des données du minimum au maximum.