55 Alnus glutinosa
55.1 Données d’occurrences GBIF
Collecte des données du GBIF :
<<gbif download metadata>>
Status: SUCCEEDED
DOI: 10.15468/dl.vy95v6
Format: SIMPLE_CSV
Download key: 0232305-230224095556074
Created: 2023-05-11T09:11:19.134+00:00
Modified: 2023-05-11T09:18:46.799+00:00
Download link: https://api.gbif.org/v1/occurrence/download/request/0232305-230224095556074.zip
Total records: 458651
Conversion en objets géographiques (format Simple feature de sf) et
exploration rapide des données (classe du jeu de données et premières lignes du
tableau) :
Simple feature collection with 458651 features and 50 fields
Attribute-geometry relationship: 50 constant, 0 aggregate, 0 identity
Geometry type: POINT
Dimension: XY
Bounding box: xmin: -123.93145 ymin: -46.897879 xmax: 176.837443 ymax: 69.377236
Geodetic CRS: WGS 84
# A tibble: 458,651 × 51
gbifID datasetKey occurrenceID kingdom phylum class order family genus species infraspecificEpithet
* <int64> <chr> <chr> <chr> <chr> <chr> <chr> <chr> <chr> <chr> <chr>
1 3.e9 c4e1739b-… BISON:New Y… Plantae Trach… Magn… Faga… Betul… Alnus Alnus … ""
2 3.e9 d1e9202b-… NYCstreetTr… Plantae Trach… Magn… Faga… Betul… Alnus Alnus … ""
3 3.e9 d1e9202b-… NYCstreetTr… Plantae Trach… Magn… Faga… Betul… Alnus Alnus … ""
4 3.e9 d1e9202b-… NYCstreetTr… Plantae Trach… Magn… Faga… Betul… Alnus Alnus … ""
5 3.e9 d1e9202b-… NYCstreetTr… Plantae Trach… Magn… Faga… Betul… Alnus Alnus … ""
6 3.e9 d1e9202b-… NYCstreetTr… Plantae Trach… Magn… Faga… Betul… Alnus Alnus … ""
7 3.e9 c4e1739b-… BISON:New Y… Plantae Trach… Magn… Faga… Betul… Alnus Alnus … ""
8 3.e9 5f06e39d-… USFS - New … Plantae Trach… Magn… Faga… Betul… Alnus Alnus … ""
9 3.e9 5f06e39d-… USFS - New … Plantae Trach… Magn… Faga… Betul… Alnus Alnus … ""
10 3.e9 5f06e39d-… USFS - New … Plantae Trach… Magn… Faga… Betul… Alnus Alnus … ""
# ℹ 458,641 more rows
# ℹ 40 more variables: taxonRank <chr>, scientificName <chr>, verbatimScientificName <chr>,
# verbatimScientificNameAuthorship <chr>, countryCode <chr>, locality <chr>, stateProvince <chr>,
# occurrenceStatus <chr>, individualCount <int>, publishingOrgKey <chr>, decimalLatitude <dbl>,
# decimalLongitude <dbl>, coordinateUncertaintyInMeters <dbl>, coordinatePrecision <dbl>,
# elevation <dbl>, elevationAccuracy <dbl>, depth <dbl>, depthAccuracy <dbl>, eventDate <dttm>,
# day <int>, month <int>, year <int>, taxonKey <int>, speciesKey <int>, basisOfRecord <chr>, …
Il y a 458 651 occurrences dans le jeu de données. On les affiche sur la carte du monde :
Figure 55.1: Occurrences de Alnus glutinosa dans le monde.
55.1.1 Données par région
On évalue la proportion d’occurrences dans chaque région, en utilisant les 3 masques créés précédemment. Si on a au moins 50 % des occurrences dans une région, on peut continuer en travaillant uniquement sur ces données. Sinon, on vérifie qu’au moins 67 % des données tombent dans l’ensemble des régions, et on prend la région la plus représentée. Au final, s’il s’agit d’une espèce endémique d’Europe, on n’a pas besoin de manipulation supplémentaire.
[1] 0.9964242965
[1] 0.001624328738
[1] 4.142583359e-05
Figure 55.2: Occurrence de Alnus glutinosa dans la région d’endémisme.
55.1.2 Licences
On s’intéresse ici au problème particulier des licences :
CC_BY_4_0 CC_BY_NC_4_0 CC0_1_0
312520 76458 68033
[1] 83.26998694
Figure 55.3: Occurrence de Alnus glutinosa dans la région d’endémisme, selon la licence : CC BY-NC en bleu ; CC0 et CC BY en orange.
Idéalement, on aimerait avoir au moins 50 % de données vraiment libres
d’utilisation (c’est-à-dire sans la clause -NC). On continue en supprimant les
données en CC BY-NC.
[1] 380553
55.1.3 Sous-échantillonnage
Si le jeu de données contient 25 000 occurrences ou plus, on procède au sous-échantillonnage aléatoire pour en conserver un maximum de 25 000.
Simple feature collection with 25000 features and 50 fields
Attribute-geometry relationship: 50 constant, 0 aggregate, 0 identity
Geometry type: POINT
Dimension: XY
Bounding box: xmin: -10.1364 ymin: 37.176107 xmax: 45.1021 ymax: 66.446182
Geodetic CRS: WGS 84
# A tibble: 25,000 × 51
gbifID datasetKey occurrenceID kingdom phylum class order family genus species infraspecificEpithet
<int64> <chr> <chr> <chr> <chr> <chr> <chr> <chr> <chr> <chr> <chr>
1 2 e9 67fabcac-… 13568457 Plantae Trach… Magn… Faga… Betul… Alnus Alnus … ""
2 2 e9 72b6bac4-… 82e3ca54-94… Plantae Trach… Magn… Faga… Betul… Alnus Alnus … ""
3 1 e9 75956ee6-… http://cbnm… Plantae Trach… Magn… Faga… Betul… Alnus Alnus … ""
4 1.e9 740df67d-… 24EA8B62-62… Plantae Trach… Magn… Faga… Betul… Alnus Alnus … ""
5 2 e9 86306e4b-… 6d588f91-27… Plantae Trach… Magn… Faga… Betul… Alnus Alnus … ""
6 2 e9 67fabcac-… 5232952 Plantae Trach… Magn… Faga… Betul… Alnus Alnus … ""
7 3 e9 4f6de508-… f6d78d18-4f… Plantae Trach… Magn… Faga… Betul… Alnus Alnus … ""
8 2 e9 67fabcac-… 16038097 Plantae Trach… Magn… Faga… Betul… Alnus Alnus … ""
9 3.e9 f8b9ff6b-… 0aa6831c-89… Plantae Trach… Magn… Faga… Betul… Alnus Alnus … ""
10 2 e9 38b4c89f-… urn:lsid:ar… Plantae Trach… Magn… Faga… Betul… Alnus Alnus … ""
# ℹ 24,990 more rows
# ℹ 40 more variables: taxonRank <chr>, scientificName <chr>, verbatimScientificName <chr>,
# verbatimScientificNameAuthorship <chr>, countryCode <chr>, locality <chr>, stateProvince <chr>,
# occurrenceStatus <chr>, individualCount <int>, publishingOrgKey <chr>, decimalLatitude <dbl>,
# decimalLongitude <dbl>, coordinateUncertaintyInMeters <dbl>, coordinatePrecision <dbl>,
# elevation <dbl>, elevationAccuracy <dbl>, depth <dbl>, depthAccuracy <dbl>, eventDate <dttm>,
# day <int>, month <int>, year <int>, taxonKey <int>, speciesKey <int>, basisOfRecord <chr>, …
55.2 Modélisation de la niche climatique
55.2.1 Préparer les données
Organisation des données d’entrées (occurrences et données environnementales) et des données produites de pseudo-absences :
class : SpatVector
geometry : points
dimensions : 25000, 0 (geometries, attributes)
extent : -10.1364, 45.1021, 37.17611, 66.44618 (xmin, xmax, ymin, ymax)
coord. ref. : lon/lat WGS 84 (EPSG:4326)
-=-=-=-=-=-=-=-=-=-=-=-=-=-=-= algl Data Formating -=-=-=-=-=-=-=-=-=-=-=-=-=-=-=
! Response variable is considered as only presences... Is it really what you want?
! No data has been set aside for modeling evaluation
!!! Some data are located in the same raster cell.
Please set `filter.raster = TRUE` if you want an automatic filtering.
Checking Pseudo-absence selection arguments...
> random pseudo absences selection
> Pseudo absences are selected in explanatory variables
! Some NAs have been automatically removed from your data
!!! Some data are located in the same raster cell.
Please set `filter.raster = TRUE` if you want an automatic filtering.
-=-=-=-=-=-=-=-=-=-=-=-=-=-=-=-=-=-= Done -=-=-=-=-=-=-=-=-=-=-=-=-=-=-=-=-=-=
-=-=-=-=-=-=-=-=-=-=-=-=-=-= BIOMOD.formated.data -=-=-=-=-=-=-=-=-=-=-=-=-=-=
dir.name = Output
sp.name = algl
24955 presences, 0 true absences and 72894 undefined points in dataset
6 explanatory variables
temp_max_august temp_min temp_wet_quart temp_season
Min. : 2.292 Min. :-21.996 Min. :-13.553 Min. : 210.8
1st Qu.:20.050 1st Qu.: -9.008 1st Qu.: 8.548 1st Qu.: 611.3
Median :23.028 Median : -3.476 Median : 12.809 Median : 730.0
Mean :24.585 Mean : -4.314 Mean : 12.176 Mean : 755.6
3rd Qu.:27.921 3rd Qu.: 0.752 3rd Qu.: 16.073 3rd Qu.: 898.7
Max. :45.864 Max. : 12.400 Max. : 26.215 Max. :1386.3
prec_wet_quart prec_season
Min. : 3 Min. : 5.358
1st Qu.: 176 1st Qu.: 21.805
Median : 215 Median : 30.658
Mean : 218 Mean : 34.959
3rd Qu.: 250 3rd Qu.: 39.375
Max. :1241 Max. :123.760
-=-=-=-=-=-=-=-=-=-=-=-=-=-=-=-=-=-=-=-=-=-=-=-=-=-=-=-=-=-=-=-=-=-=-=-=-=-=-=-=
On visualise les pseudo-absences :
Figure 55.5: Les données d’occurrences (en haut à gauche) et les trois jeux de données aléatoires de pseudo-absences.
$data.vect
class : SpatVector
geometry : points
dimensions : 174820, 2 (geometries, attributes)
extent : -10.60417, 46.97917, 29.02083, 70.97917 (xmin, xmax, ymin, ymax)
coord. ref. :
names : resp dataset
type : <num> <chr>
values : 10 Initial dataset
10 Initial dataset
10 Initial dataset
$data.label
9 10
"**Presences**" "Presences (calibration)"
11 12
"Presences (validation)" "Presences (evaluation)"
19 20
"**True Absences**" "True Absences (calibration)"
21 22
"True Absences (validation)" "True Absences (evaluation)"
29 30
"**Pseudo-Absences**" "Pseudo-Absences (calibration)"
31 1
"Pseudo-Absences (validation)" "Background"
$data.plot
Figure 55.6: Les données d’occurrences (en haut à gauche) et les trois jeux de données aléatoires de pseudo-absences.
55.2.2 Modèles individuels de niche
-=-=-=-=-=-=-=-=-=-=-=-=-=-=-= Build Single Models -=-=-=-=-=-=-=-=-=-=-=-=-=-=-=
Checking Models arguments...
Creating suitable Workdir...
! Weights where automatically defined for algl_PA1 to rise a 0.5 prevalence !
! Weights where automatically defined for algl_PA2 to rise a 0.5 prevalence !
! Weights where automatically defined for algl_PA3 to rise a 0.5 prevalence !
-=-=-=-=-=-=-=-=-=-=-=-=-=-= algl Modeling Summary -=-=-=-=-=-=-=-=-=-=-=-=-=-=
6 environmental variables ( temp_max_august temp_min temp_wet_quart temp_season prec_wet_quart prec_season )
Number of evaluation repetitions : 1
Models selected : GAM MARS MAXNET GBM ANN RF
Total number of model runs: 18
-=-=-=-=-=-=-=-=-=-=-=-=-=-=-=-=-=-=-=-=-=-=-=-=-=-=-=-=-=-=-=-=-=-=-=-=-=-=-=-=
-=-=-=- Run : algl_PA1
-=-=-=--=-=-=- algl_PA1_RUN1
-=-=-=- Run : algl_PA2
-=-=-=--=-=-=- algl_PA2_RUN1
-=-=-=- Run : algl_PA3
-=-=-=--=-=-=- algl_PA3_RUN1
-=-=-=-=-=-=-=-=-=-=-=-=-=-=-=-=-=-= Done -=-=-=-=-=-=-=-=-=-=-=-=-=-=-=-=-=-=
55.2.2.1 Évaluation de la performance
full.name PA run algo metric.eval cutoff sensitivity
1 algl_PA1_RUN1_GAM PA1 RUN1 GAM TSS 657.0 93.153
2 algl_PA1_RUN1_GAM PA1 RUN1 GAM ROC 658.5 93.128
3 algl_PA1_RUN1_MARS PA1 RUN1 MARS TSS 472.0 94.565
4 algl_PA1_RUN1_MARS PA1 RUN1 MARS ROC 469.5 94.640
5 algl_PA1_RUN1_MAXNET PA1 RUN1 MAXNET TSS 365.0 93.979
6 algl_PA1_RUN1_MAXNET PA1 RUN1 MAXNET ROC 364.5 93.979
specificity calibration validation evaluation
1 67.570 0.607 0.608 NA
2 67.655 0.818 0.817 NA
3 84.690 0.793 0.790 NA
4 84.640 0.945 0.943 NA
5 84.860 0.788 0.784 NA
6 84.860 0.943 0.941 NA
Figure 55.7: Évaluation de la performance des modèles individuels : True Skill Statistic & aire sous la courbe de ROC.
55.2.2.2 Importance des variables environnementales
full.name PA run algo expl.var rand var.imp
1 algl_PA1_RUN1_GAM PA1 RUN1 GAM temp_max_august 1 0.106660
2 algl_PA1_RUN1_GAM PA1 RUN1 GAM temp_min 1 0.259809
3 algl_PA1_RUN1_GAM PA1 RUN1 GAM temp_wet_quart 1 0.045962
4 algl_PA1_RUN1_GAM PA1 RUN1 GAM temp_season 1 0.340017
5 algl_PA1_RUN1_GAM PA1 RUN1 GAM prec_wet_quart 1 0.023296
6 algl_PA1_RUN1_GAM PA1 RUN1 GAM prec_season 1 0.070274
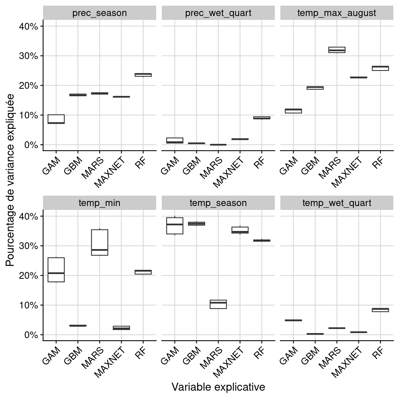
Figure 55.8: Pourcentage de variance expliquée pour chaque variable, décomposé par algorithme.
Figure 55.9: Pourcentage de variance expliquée pour chaque variable, décomposé par variable.
55.2.3 Modèles d’ensemble de niche
Seulement modèles avec TSS > 0.8
-=-=-=-=-=-=-=-=-=-=-=-=-= BIOMOD.ensemble.models.out -=-=-=-=-=-=-=-=-=-=-=-=-=
sp.name : algl
expl.var.names : temp_max_august temp_min temp_wet_quart temp_season
prec_wet_quart prec_season
models computed:
algl_EMcvByTSS_mergedData_mergedRun_mergedAlgo, algl_EMwmeanByTSS_mergedData_mergedRun_mergedAlgo
models failed: none
-=-=-=-=-=-=-=-=-=-=-=-=-=-=-=-=-=-=-=-=-=-=-=-=-=-=-=-=-=-=-=-=-=-=-=-=-=-=-=-=
55.2.3.1 Évaluation de la qualité
full.name merged.by.PA merged.by.run
1 algl_EMwmeanByTSS_mergedData_mergedRun_mergedAlgo mergedData mergedRun
2 algl_EMwmeanByTSS_mergedData_mergedRun_mergedAlgo mergedData mergedRun
merged.by.algo filtered.by algo metric.eval cutoff sensitivity specificity
1 mergedAlgo TSS EMwmean TSS 707.0 95.736 96.44
2 mergedAlgo TSS EMwmean ROC 704.5 95.776 96.40
calibration validation evaluation
1 0.922 NA NA
2 0.995 NA NA
Figure 55.11: Évaluation de la qualité du modèle d’ensemble : Aire sous la courbe de ROC & True Skill Statistic.
full.name merged.by.PA merged.by.run
1 algl_EMcvByTSS_mergedData_mergedRun_mergedAlgo mergedData mergedRun
2 algl_EMcvByTSS_mergedData_mergedRun_mergedAlgo mergedData mergedRun
3 algl_EMcvByTSS_mergedData_mergedRun_mergedAlgo mergedData mergedRun
4 algl_EMcvByTSS_mergedData_mergedRun_mergedAlgo mergedData mergedRun
5 algl_EMcvByTSS_mergedData_mergedRun_mergedAlgo mergedData mergedRun
6 algl_EMcvByTSS_mergedData_mergedRun_mergedAlgo mergedData mergedRun
merged.by.algo filtered.by algo expl.var rand var.imp
1 mergedAlgo TSS EMcv temp_max_august 1 0.587038
2 mergedAlgo TSS EMcv temp_min 1 0.542135
3 mergedAlgo TSS EMcv temp_wet_quart 1 0.427078
4 mergedAlgo TSS EMcv temp_season 1 0.538785
5 mergedAlgo TSS EMcv prec_wet_quart 1 0.381915
6 mergedAlgo TSS EMcv prec_season 1 0.472571
Par variable :
Figure 55.12: Pourcentage de variance expliquée par variable dans le modèle d’ensemble.
Figure 55.13: Courbes de réponse de chaque variable climatique dans le modèle d’ensemble.
55.3 Projections
55.3.1 Distribution potentielle contemporaine
Contemporaine : Cartographie des observations sur couches climatiques Extraction des conditions climatiques favorables
-=-=-=-=-=-=-=-=-=-=-=-=-=-= BIOMOD.projection.out -=-=-=-=-=-=-=-=-=-=-=-=-=-=
Projection directory : Output/algl/current
sp.name : algl
expl.var.names : temp_max_august temp_min temp_wet_quart temp_season
prec_wet_quart prec_season
modeling.id : AllModels ( Output/algl/algl.AllModels.models.out )
models.projected :
algl_PA1_RUN1_GAM, algl_PA1_RUN1_MARS, algl_PA1_RUN1_MAXNET, algl_PA1_RUN1_GBM, algl_PA1_RUN1_RF, algl_PA2_RUN1_GAM, algl_PA2_RUN1_MARS, algl_PA2_RUN1_MAXNET, algl_PA2_RUN1_GBM, algl_PA2_RUN1_RF, algl_PA3_RUN1_GAM, algl_PA3_RUN1_MARS, algl_PA3_RUN1_MAXNET, algl_PA3_RUN1_GBM, algl_PA3_RUN1_RF
available binary projection : TSS, ROC
available filtered projection : TSS, ROC
-=-=-=-=-=-=-=-=-=-=-=-=-=-=-=-=-=-=-=-=-=-=-=-=-=-=-=-=-=-=-=-=-=-=-=-=-=-=-=-=
Figure 55.14: Projection de la distribution potentielle contemporaine sur l’Europe, selon les 6 algorithmes et les 3 runs.
Figure 55.15: Projection de la distribution potentielle contemporaine sur l’Europe, selon les 6 algorithmes et les 3 runs.
-=-=-=-=-=-=-=-=-=-=-=-=-=-= BIOMOD.projection.out -=-=-=-=-=-=-=-=-=-=-=-=-=-=
Projection directory : Output/algl/current
sp.name : algl
expl.var.names : temp_max_august temp_min temp_wet_quart temp_season
prec_wet_quart prec_season
modeling.id : AllModels ( Output/algl/algl.AllModels.ensemble.models.out )
models.projected :
algl_EMcvByTSS_mergedData_mergedRun_mergedAlgo, algl_EMwmeanByTSS_mergedData_mergedRun_mergedAlgo
-=-=-=-=-=-=-=-=-=-=-=-=-=-=-=-=-=-=-=-=-=-=-=-=-=-=-=-=-=-=-=-=-=-=-=-=-=-=-=-=
Figure 55.16: A) Projection de la distribution potentielle contemporaine (modèle d’ensemble) ; B) Incertitude associée à la projection.
55.3.2 Interpolation à l’échelle de la métropole
- → conditions climatiques favorables à fine échelle
On projette la niche climatique sur ce raster à fine échelle.
-=-=-=-=-=-=-=-=-=-=-=-=-=-= BIOMOD.projection.out -=-=-=-=-=-=-=-=-=-=-=-=-=-=
Projection directory : Output/algl/cont_gre
sp.name : algl
expl.var.names : temp_max_august temp_min temp_wet_quart temp_season
prec_wet_quart prec_season
modeling.id : AllModels ( Output/algl/algl.AllModels.models.out )
models.projected :
algl_PA1_RUN1_GAM, algl_PA1_RUN1_MARS, algl_PA1_RUN1_MAXNET, algl_PA1_RUN1_GBM, algl_PA1_RUN1_RF, algl_PA2_RUN1_GAM, algl_PA2_RUN1_MARS, algl_PA2_RUN1_MAXNET, algl_PA2_RUN1_GBM, algl_PA2_RUN1_RF, algl_PA3_RUN1_GAM, algl_PA3_RUN1_MARS, algl_PA3_RUN1_MAXNET, algl_PA3_RUN1_GBM, algl_PA3_RUN1_RF
available binary projection : TSS, ROC
available filtered projection : TSS, ROC
-=-=-=-=-=-=-=-=-=-=-=-=-=-=-=-=-=-=-=-=-=-=-=-=-=-=-=-=-=-=-=-=-=-=-=-=-=-=-=-=
Figure 55.17: Projection de la distribution potentielle contemporaine sur la métropole de Grenoble, selon les 6 algorithmes et les 3 runs.
Figure 55.18: Projection de la distribution potentielle contemporaine sur la métropole de Grenoble, selon les 6 algorithmes et les 3 runs.
-=-=-=-=-=-=-=-=-=-=-=-=-=-= BIOMOD.projection.out -=-=-=-=-=-=-=-=-=-=-=-=-=-=
Projection directory : Output/algl/cont_gre
sp.name : algl
expl.var.names : temp_max_august temp_min temp_wet_quart temp_season
prec_wet_quart prec_season
modeling.id : AllModels ( Output/algl/algl.AllModels.ensemble.models.out )
models.projected :
algl_EMcvByTSS_mergedData_mergedRun_mergedAlgo, algl_EMwmeanByTSS_mergedData_mergedRun_mergedAlgo
-=-=-=-=-=-=-=-=-=-=-=-=-=-=-=-=-=-=-=-=-=-=-=-=-=-=-=-=-=-=-=-=-=-=-=-=-=-=-=-=
Figure 55.19: A) Projection de la distribution potentielle contemporaine (modèle d’ensemble) sur la métropole de Grenoble ; B) Incertitude associée à la projection.
55.3.3 Distributions potentielles futures
Futur : Projection à l’échelle de l’Europe jusqu’à l’horizon 2100
Toutes les fenêtres temporelles × scénarios pour le GCM « IPSL-CM6A-LR »
- SSP1-2.6




Figure 55.20: Projection des distributions potentielles futures jusqu’à l’horizon 2100 sous le scénario SSP1-2.6 (modèle d’ensemble).
On obtient pour la métrique TSS une carte unique de moyenne pondérée sur les algorithmes et sur les jeux de pseudo-absences.
- SSP2-4.5




Figure 55.21: Projection des distributions potentielles futures jusqu’à l’horizon 2100 sous le scénario SSP2-4.5 (modèle d’ensemble).
- SSP3-7.0




Figure 55.22: Projection des distributions potentielles futures jusqu’à l’horizon 2100 sous le scénario SSP3-7.0 (modèle d’ensemble).
- SSP5-8.5




Figure 55.23: Projection des distributions potentielles futures jusqu’à l’horizon 2100 sous le scénario SSP5-8.5 (modèle d’ensemble).
55.4 Inférence à l’échelle de la métropole
- Croisement avec températures de surface 2019 (fournie par la métropole)
- → conditions climatiques favorables à fine échelle
- à peu près 7 pixels × 9 (WorldClim)
55.4.1 Distributions potentielles futures
Même chose que précédemment mais sur les rasters de Grenoble
- SSP1-2.6




Figure 55.24: Projection des distributions potentielles contemporaine et futures jusqu’à l’horizon 2100 sous le scénario SSP5-8.5 (modèle d’ensemble, GCM IPSL).
- SSP2-4.5




Figure 55.25: Projection des distributions potentielles contemporaine et futures jusqu’à l’horizon 2100 sous le scénario SSP5-8.5 (modèle d’ensemble, GCM IPSL).
- SSP3-7.0




Figure 55.26: Projection des distributions potentielles contemporaine et futures jusqu’à l’horizon 2100 sous le scénario SSP5-8.5 (modèle d’ensemble, GCM IPSL).
- SSP5-8.5




Figure 55.27: Projection des distributions potentielles contemporaine et futures jusqu’à l’horizon 2100 sous le scénario SSP5-8.5 (modèle d’ensemble, GCM IPSL).
55.4.2 Évolution temporelle
# A tibble: 17 × 8
min q1 median mean q3 max ssp year
<table[1d]> <table[1d]> <table[1d]> <table[1d]> <table[1d]> <tab> <fct> <dbl>
1 151 457 711 659.4331 799 1000 0 2000
2 101 311 518 502.2934 677 999 126 2040
3 92 215 362 411.4948 583 958 126 2060
4 72 216 365 401.3312 568 905 126 2080
5 118 229 356 396.4223 538 882 126 2100
6 98 291 520 494.8550 677 991 245 2040
7 99 188 250 338.3452 484 883 245 2060
8 99 173 220 289.2922 381 814 245 2080
9 80 153 175 213.7900 235 665 245 2100
10 103 251 438 479.5110 680 996 370 2040
11 111 195 263 344.0908 487 860 370 2060
12 109 159 176 205.7002 219 674 370 2080
13 27 91 137 148.5078 200 317 370 2100
14 85 270 454 457.3059 629 945 585 2040
15 89 164 211 271.4419 364 754 585 2060
16 33 105 127 140.7546 176 286 585 2080
17 71 164 193 200.8737 247 338 585 2100
Figure 55.28: Évolution de la favorabilité climatique au cours du XXIème siècle. Le point représente la médiane sur l’étendue de la métropole (i.e. tous les pixels de la carte) ; le trait gras représente 50 % des données intermédiaires (espace inter-quartile) ; le trait fin représente le reste des données du minimum au maximum.