58 Betula pendula
58.1 Données d’occurrences GBIF
Collecte des données du GBIF :
<<gbif download metadata>>
Status: SUCCEEDED
DOI: 10.15468/dl.kafmwp
Format: SIMPLE_CSV
Download key: 0252050-230224095556074
Created: 2023-05-20T10:48:20.873+00:00
Modified: 2023-05-20T10:55:58.047+00:00
Download link: https://api.gbif.org/v1/occurrence/download/request/0252050-230224095556074.zip
Total records: 408422
Conversion en objets géographiques (format Simple feature de sf) et
exploration rapide des données (classe du jeu de données et premières lignes du
tableau) :
Simple feature collection with 408174 features and 50 fields
Attribute-geometry relationship: 50 constant, 0 aggregate, 0 identity
Geometry type: POINT
Dimension: XY
Bounding box: xmin: -161.61 ymin: -46.560876 xmax: 176.526276 ymax: 69.672836
Geodetic CRS: WGS 84
# A tibble: 408,174 × 51
gbifID datasetKey occurrenceID kingdom phylum class order family genus species infraspecificEpithet
* <int64> <chr> <chr> <chr> <chr> <chr> <chr> <chr> <chr> <chr> <chr>
1 3.e9 d1e9202b-… NYCstreetTr… Plantae Trach… Magn… Faga… Betul… Betu… Betula… ""
2 3.e9 5f06e39d-… USFS - New … Plantae Trach… Magn… Faga… Betul… Betu… Betula… ""
3 3.e9 c4e1739b-… BISON:New Y… Plantae Trach… Magn… Faga… Betul… Betu… Betula… ""
4 3.e9 d1e9202b-… NYCstreetTr… Plantae Trach… Magn… Faga… Betul… Betu… Betula… ""
5 3.e9 d1e9202b-… NYCstreetTr… Plantae Trach… Magn… Faga… Betul… Betu… Betula… ""
6 3.e9 d1e9202b-… NYCstreetTr… Plantae Trach… Magn… Faga… Betul… Betu… Betula… ""
7 3.e9 5f06e39d-… USFS - New … Plantae Trach… Magn… Faga… Betul… Betu… Betula… ""
8 3.e9 d1e9202b-… NYCstreetTr… Plantae Trach… Magn… Faga… Betul… Betu… Betula… ""
9 3.e9 d1e9202b-… NYCstreetTr… Plantae Trach… Magn… Faga… Betul… Betu… Betula… ""
10 3.e9 c4e1739b-… BISON:New Y… Plantae Trach… Magn… Faga… Betul… Betu… Betula… ""
# ℹ 408,164 more rows
# ℹ 40 more variables: taxonRank <chr>, scientificName <chr>, verbatimScientificName <chr>,
# verbatimScientificNameAuthorship <chr>, countryCode <chr>, locality <chr>, stateProvince <chr>,
# occurrenceStatus <chr>, individualCount <int>, publishingOrgKey <chr>, decimalLatitude <dbl>,
# decimalLongitude <dbl>, coordinateUncertaintyInMeters <dbl>, coordinatePrecision <dbl>,
# elevation <dbl>, elevationAccuracy <dbl>, depth <dbl>, depthAccuracy <dbl>, eventDate <dttm>,
# day <int>, month <int>, year <int>, taxonKey <int>, speciesKey <int>, basisOfRecord <chr>, …
Il y a 408 174 occurrences dans le jeu de données. On les affiche sur la carte du monde :
Figure 58.1: Occurrences de Betula pendula dans le monde.
58.1.1 Données par région
On évalue la proportion d’occurrences dans chaque région, en utilisant les 3 masques créés précédemment. Si on a au moins 50 % des occurrences dans une région, on peut continuer en travaillant uniquement sur ces données. Sinon, on vérifie qu’au moins 67 % des données tombent dans l’ensemble des régions, et on prend la région la plus représentée. Au final, s’il s’agit d’une espèce endémique d’Europe, on n’a pas besoin de manipulation supplémentaire.
[1] 0.9746162176
[1] 0.001523859922
[1] 0.01143139935
Figure 58.2: Occurrence de Betula pendula dans la région d’endémisme.
58.1.2 Licences
On s’intéresse ici au problème particulier des licences :
CC_BY_4_0 CC_BY_NC_4_0 CC0_1_0
280504 59925 57384
[1] 84.93638971
Figure 58.3: Occurrence de Betula pendula dans la région d’endémisme, selon la licence : CC BY-NC en bleu ; CC0 et CC BY en orange.
Idéalement, on aimerait avoir au moins 50 % de données vraiment libres
d’utilisation (c’est-à-dire sans la clause -NC). On continue en supprimant les
données en CC BY-NC.
[1] 337888
58.1.3 Sous-échantillonnage
Si le jeu de données contient 25 000 occurrences ou plus, on procède au sous-échantillonnage aléatoire pour en conserver un maximum de 25 000.
Simple feature collection with 25000 features and 50 fields
Attribute-geometry relationship: 50 constant, 0 aggregate, 0 identity
Geometry type: POINT
Dimension: XY
Bounding box: xmin: -9.481755 ymin: 37.17 xmax: 46.526 ymax: 69.584557
Geodetic CRS: WGS 84
# A tibble: 25,000 × 51
gbifID datasetKey occurrenceID kingdom phylum class order family genus species infraspecificEpithet
<int64> <chr> <chr> <chr> <chr> <chr> <chr> <chr> <chr> <chr> <chr>
1 3.e9 84b18cce-… "" Plantae Trach… Magn… Faga… Betul… Betu… Betula… ""
2 3.e9 c55cf28c-… "595444" Plantae Trach… Magn… Faga… Betul… Betu… Betula… ""
3 1.e8 857aa892-… "" Plantae Trach… Magn… Faga… Betul… Betu… Betula… ""
4 2 e9 67fabcac-… "7992017" Plantae Trach… Magn… Faga… Betul… Betu… Betula… ""
5 4 e9 c7d94ec0-… "c7c1581f-e… Plantae Trach… Magn… Faga… Betul… Betu… Betula… ""
6 8 e8 271c444f-… "INBO:FLORA… Plantae Trach… Magn… Faga… Betul… Betu… Betula… ""
7 3.e9 8cec13a3-… "7485c644-c… Plantae Trach… Magn… Faga… Betul… Betu… Betula… ""
8 1.e9 f2e389da-… "http://tun… Plantae Trach… Magn… Faga… Betul… Betu… Betula… ""
9 3.e9 dd238f50-… "66994634-8… Plantae Trach… Magn… Faga… Betul… Betu… Betula… ""
10 7 e6 857aa892-… "" Plantae Trach… Magn… Faga… Betul… Betu… Betula… ""
# ℹ 24,990 more rows
# ℹ 40 more variables: taxonRank <chr>, scientificName <chr>, verbatimScientificName <chr>,
# verbatimScientificNameAuthorship <chr>, countryCode <chr>, locality <chr>, stateProvince <chr>,
# occurrenceStatus <chr>, individualCount <int>, publishingOrgKey <chr>, decimalLatitude <dbl>,
# decimalLongitude <dbl>, coordinateUncertaintyInMeters <dbl>, coordinatePrecision <dbl>,
# elevation <dbl>, elevationAccuracy <dbl>, depth <dbl>, depthAccuracy <dbl>, eventDate <dttm>,
# day <int>, month <int>, year <int>, taxonKey <int>, speciesKey <int>, basisOfRecord <chr>, …
58.2 Modélisation de la niche climatique
58.2.1 Préparer les données
Organisation des données d’entrées (occurrences et données environnementales) et des données produites de pseudo-absences :
class : SpatVector
geometry : points
dimensions : 25000, 0 (geometries, attributes)
extent : -9.481755, 46.526, 37.17, 69.58456 (xmin, xmax, ymin, ymax)
coord. ref. : lon/lat WGS 84 (EPSG:4326)
-=-=-=-=-=-=-=-=-=-=-=-=-=-=-=-=-=-=-=-=-= bepe Data Formating -=-=-=-=-=-=-=-=-=-=-=-=-=-=-=-=-=-=-=-=-=
! Response variable is considered as only presences... Is it really what you want?
! No data has been set aside for modeling evaluation
!!! Some data are located in the same raster cell.
Please set `filter.raster = TRUE` if you want an automatic filtering.
Checking Pseudo-absence selection arguments...
> random pseudo absences selection
> Pseudo absences are selected in explanatory variables
! Some NAs have been automatically removed from your data
!!! Some data are located in the same raster cell.
Please set `filter.raster = TRUE` if you want an automatic filtering.
-=-=-=-=-=-=-=-=-=-=-=-=-=-=-=-=-=-=-=-=-=-=-=-= Done -=-=-=-=-=-=-=-=-=-=-=-=-=-=-=-=-=-=-=-=-=-=-=-=
-=-=-=-=-=-=-=-=-=-=-=-=-=-=-=-=-=-=-=-= BIOMOD.formated.data -=-=-=-=-=-=-=-=-=-=-=-=-=-=-=-=-=-=-=-=
dir.name = Output
sp.name = bepe
24958 presences, 0 true absences and 72915 undefined points in dataset
6 explanatory variables
temp_max_august temp_min temp_wet_quart temp_season prec_wet_quart
Min. : 2.56400 Min. :-22.016001 Min. :-12.078000 Min. : 218.6477 Min. : 3.0000
1st Qu.:19.99600 1st Qu.: -9.432000 1st Qu.: 8.376667 1st Qu.: 611.1687 1st Qu.: 176.0000
Median :23.00400 Median : -3.728000 Median : 12.887334 Median : 738.4327 Median : 215.0000
Mean :24.53289 Mean : -4.502611 Mean : 12.109874 Mean : 759.6013 Mean : 217.4517
3rd Qu.:27.88000 3rd Qu.: 0.692000 3rd Qu.: 16.068666 3rd Qu.: 903.5914 3rd Qu.: 249.0000
Max. :45.12800 Max. : 11.808000 Max. : 24.860666 Max. :1393.8783 Max. :1240.0000
prec_season
Min. : 4.629845
1st Qu.: 21.558020
Median : 30.692575
Mean : 34.869070
3rd Qu.: 39.294724
Max. :123.759880
-=-=-=-=-=-=-=-=-=-=-=-=-=-=-=-=-=-=-=-=-=-=-=-=-=-=-=-=-=-=-=-=-=-=-=-=-=-=-=-=-=-=-=-=-=-=-=-=-=-=-=-=
On visualise les pseudo-absences :
Figure 58.5: Les données d’occurrences (en haut à gauche) et les trois jeux de données aléatoires de pseudo-absences.
$data.vect
class : SpatVector
geometry : points
dimensions : 174832, 2 (geometries, attributes)
extent : -10.60416667, 46.97916667, 29.02083333, 70.97916667 (xmin, xmax, ymin, ymax)
coord. ref. :
names : resp dataset
type : <num> <chr>
values : 10 Initial dataset
10 Initial dataset
10 Initial dataset
$data.label
9 10 11
"**Presences**" "Presences (calibration)" "Presences (validation)"
12 19 20
"Presences (evaluation)" "**True Absences**" "True Absences (calibration)"
21 22 29
"True Absences (validation)" "True Absences (evaluation)" "**Pseudo-Absences**"
30 31 1
"Pseudo-Absences (calibration)" "Pseudo-Absences (validation)" "Background"
$data.plot
Figure 58.6: Les données d’occurrences (en haut à gauche) et les trois jeux de données aléatoires de pseudo-absences.
58.2.2 Modèles individuels de niche
-=-=-=-=-=-=-=-=-=-=-=-=-=-=-= Build Single Models -=-=-=-=-=-=-=-=-=-=-=-=-=-=-=
Checking Models arguments...
Creating suitable Workdir...
! Weights where automatically defined for bepe_PA1 to rise a 0.5 prevalence !
! Weights where automatically defined for bepe_PA2 to rise a 0.5 prevalence !
! Weights where automatically defined for bepe_PA3 to rise a 0.5 prevalence !
-=-=-=-=-=-=-=-=-=-=-=-=-=-= bepe Modeling Summary -=-=-=-=-=-=-=-=-=-=-=-=-=-=
6 environmental variables ( temp_max_august temp_min temp_wet_quart temp_season prec_wet_quart prec_season )
Number of evaluation repetitions : 1
Models selected : GAM MARS MAXNET GBM ANN RF
Total number of model runs: 18
-=-=-=-=-=-=-=-=-=-=-=-=-=-=-=-=-=-=-=-=-=-=-=-=-=-=-=-=-=-=-=-=-=-=-=-=-=-=-=-=
-=-=-=- Run : bepe_PA1
-=-=-=--=-=-=- bepe_PA1_RUN1
-=-=-=- Run : bepe_PA2
-=-=-=--=-=-=- bepe_PA2_RUN1
-=-=-=- Run : bepe_PA3
-=-=-=--=-=-=- bepe_PA3_RUN1
-=-=-=-=-=-=-=-=-=-=-=-=-=-=-=-=-=-= Done -=-=-=-=-=-=-=-=-=-=-=-=-=-=-=-=-=-=
58.2.2.1 Évaluation de la performance
full.name PA run algo metric.eval cutoff sensitivity
1 bepe_PA1_RUN1_GAM PA1 RUN1 GAM TSS 596.0 89.232
2 bepe_PA1_RUN1_GAM PA1 RUN1 GAM ROC 637.5 87.569
3 bepe_PA1_RUN1_MARS PA1 RUN1 MARS TSS 517.0 90.619
4 bepe_PA1_RUN1_MARS PA1 RUN1 MARS ROC 521.5 90.499
5 bepe_PA1_RUN1_MAXNET PA1 RUN1 MAXNET TSS 378.0 90.754
6 bepe_PA1_RUN1_MAXNET PA1 RUN1 MAXNET ROC 388.5 89.943
specificity calibration validation evaluation
1 72.430 0.617 0.632 NA
2 74.180 0.845 0.845 NA
3 84.580 0.752 0.765 NA
4 84.725 0.933 0.937 NA
5 84.105 0.749 0.763 NA
6 84.995 0.932 0.936 NA
Figure 58.7: Évaluation de la performance des modèles individuels : True Skill Statistic & aire sous la courbe de ROC.
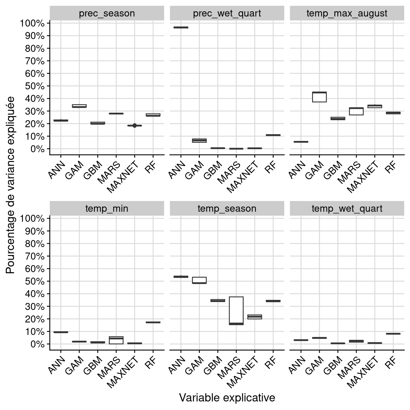
58.2.2.2 Importance des variables environnementales
full.name PA run algo expl.var rand var.imp
1 bepe_PA1_RUN1_GAM PA1 RUN1 GAM temp_max_august 1 0.372398
2 bepe_PA1_RUN1_GAM PA1 RUN1 GAM temp_min 1 0.018705
3 bepe_PA1_RUN1_GAM PA1 RUN1 GAM temp_wet_quart 1 0.044180
4 bepe_PA1_RUN1_GAM PA1 RUN1 GAM temp_season 1 0.482405
5 bepe_PA1_RUN1_GAM PA1 RUN1 GAM prec_wet_quart 1 0.065661
6 bepe_PA1_RUN1_GAM PA1 RUN1 GAM prec_season 1 0.354812
Figure 58.8: Pourcentage de variance expliquée pour chaque variable, décomposé par algorithme.
Figure 58.9: Pourcentage de variance expliquée pour chaque variable, décomposé par variable.
58.2.3 Modèles d’ensemble de niche
Seulement modèles avec TSS > 0.8
-=-=-=-=-=-=-=-=-=-=-=-=-= BIOMOD.ensemble.models.out -=-=-=-=-=-=-=-=-=-=-=-=-=
sp.name : bepe
expl.var.names : temp_max_august temp_min temp_wet_quart temp_season
prec_wet_quart prec_season
models computed:
bepe_EMcvByTSS_mergedData_mergedRun_mergedAlgo, bepe_EMwmeanByTSS_mergedData_mergedRun_mergedAlgo
models failed: none
-=-=-=-=-=-=-=-=-=-=-=-=-=-=-=-=-=-=-=-=-=-=-=-=-=-=-=-=-=-=-=-=-=-=-=-=-=-=-=-=
58.2.3.1 Évaluation de la qualité
full.name merged.by.PA merged.by.run
1 bepe_EMwmeanByTSS_mergedData_mergedRun_mergedAlgo mergedData mergedRun
2 bepe_EMwmeanByTSS_mergedData_mergedRun_mergedAlgo mergedData mergedRun
merged.by.algo filtered.by algo metric.eval cutoff sensitivity specificity
1 mergedAlgo TSS EMwmean TSS 636.0 96.570 95.142
2 mergedAlgo TSS EMwmean ROC 632.5 96.654 95.078
calibration validation evaluation
1 0.917 NA NA
2 0.994 NA NA
Figure 58.11: Évaluation de la qualité du modèle d’ensemble : Aire sous la courbe de ROC & True Skill Statistic.
full.name merged.by.PA merged.by.run
1 bepe_EMcvByTSS_mergedData_mergedRun_mergedAlgo mergedData mergedRun
2 bepe_EMcvByTSS_mergedData_mergedRun_mergedAlgo mergedData mergedRun
3 bepe_EMcvByTSS_mergedData_mergedRun_mergedAlgo mergedData mergedRun
4 bepe_EMcvByTSS_mergedData_mergedRun_mergedAlgo mergedData mergedRun
5 bepe_EMcvByTSS_mergedData_mergedRun_mergedAlgo mergedData mergedRun
6 bepe_EMcvByTSS_mergedData_mergedRun_mergedAlgo mergedData mergedRun
merged.by.algo filtered.by algo expl.var rand var.imp
1 mergedAlgo TSS EMcv temp_max_august 1 0.604382
2 mergedAlgo TSS EMcv temp_min 1 0.495201
3 mergedAlgo TSS EMcv temp_wet_quart 1 0.411289
4 mergedAlgo TSS EMcv temp_season 1 0.510339
5 mergedAlgo TSS EMcv prec_wet_quart 1 0.403832
6 mergedAlgo TSS EMcv prec_season 1 0.494933
Par variable :
Figure 58.12: Pourcentage de variance expliquée par variable dans le modèle d’ensemble.
Figure 58.13: Courbes de réponse de chaque variable climatique dans le modèle d’ensemble.
58.3 Projections
58.3.1 Distribution potentielle contemporaine
Contemporaine : Cartographie des observations sur couches climatiques Extraction des conditions climatiques favorables
-=-=-=-=-=-=-=-=-=-=-=-=-=-= BIOMOD.projection.out -=-=-=-=-=-=-=-=-=-=-=-=-=-=
Projection directory : Output/bepe/current
sp.name : bepe
expl.var.names : temp_max_august temp_min temp_wet_quart temp_season
prec_wet_quart prec_season
modeling.id : AllModels ( Output/bepe/bepe.AllModels.models.out )
models.projected :
bepe_PA1_RUN1_GAM, bepe_PA1_RUN1_MARS, bepe_PA1_RUN1_MAXNET, bepe_PA1_RUN1_GBM, bepe_PA1_RUN1_ANN, bepe_PA1_RUN1_RF, bepe_PA2_RUN1_GAM, bepe_PA2_RUN1_MARS, bepe_PA2_RUN1_MAXNET, bepe_PA2_RUN1_GBM, bepe_PA2_RUN1_RF, bepe_PA3_RUN1_GAM, bepe_PA3_RUN1_MARS, bepe_PA3_RUN1_MAXNET, bepe_PA3_RUN1_GBM, bepe_PA3_RUN1_RF
available binary projection : TSS, ROC
available filtered projection : TSS, ROC
-=-=-=-=-=-=-=-=-=-=-=-=-=-=-=-=-=-=-=-=-=-=-=-=-=-=-=-=-=-=-=-=-=-=-=-=-=-=-=-=
Figure 58.14: Projection de la distribution potentielle contemporaine sur l’Europe, selon les 6 algorithmes et les 3 runs.
Figure 58.15: Projection de la distribution potentielle contemporaine sur l’Europe, selon les 6 algorithmes et les 3 runs.
-=-=-=-=-=-=-=-=-=-=-=-=-=-= BIOMOD.projection.out -=-=-=-=-=-=-=-=-=-=-=-=-=-=
Projection directory : Output/bepe/current
sp.name : bepe
expl.var.names : temp_max_august temp_min temp_wet_quart temp_season
prec_wet_quart prec_season
modeling.id : AllModels ( Output/bepe/bepe.AllModels.ensemble.models.out )
models.projected :
bepe_EMcvByTSS_mergedData_mergedRun_mergedAlgo, bepe_EMwmeanByTSS_mergedData_mergedRun_mergedAlgo
-=-=-=-=-=-=-=-=-=-=-=-=-=-=-=-=-=-=-=-=-=-=-=-=-=-=-=-=-=-=-=-=-=-=-=-=-=-=-=-=
Figure 58.16: A) Projection de la distribution potentielle contemporaine (modèle d’ensemble) ; B) Incertitude associée à la projection.
58.3.2 Interpolation à l’échelle de la métropole
- → conditions climatiques favorables à fine échelle
On projette la niche climatique sur ce raster à fine échelle.
-=-=-=-=-=-=-=-=-=-=-=-=-=-= BIOMOD.projection.out -=-=-=-=-=-=-=-=-=-=-=-=-=-=
Projection directory : Output/bepe/cont_gre
sp.name : bepe
expl.var.names : temp_max_august temp_min temp_wet_quart temp_season
prec_wet_quart prec_season
modeling.id : AllModels ( Output/bepe/bepe.AllModels.models.out )
models.projected :
bepe_PA1_RUN1_GAM, bepe_PA1_RUN1_MARS, bepe_PA1_RUN1_MAXNET, bepe_PA1_RUN1_GBM, bepe_PA1_RUN1_ANN, bepe_PA1_RUN1_RF, bepe_PA2_RUN1_GAM, bepe_PA2_RUN1_MARS, bepe_PA2_RUN1_MAXNET, bepe_PA2_RUN1_GBM, bepe_PA2_RUN1_RF, bepe_PA3_RUN1_GAM, bepe_PA3_RUN1_MARS, bepe_PA3_RUN1_MAXNET, bepe_PA3_RUN1_GBM, bepe_PA3_RUN1_RF
available binary projection : TSS, ROC
available filtered projection : TSS, ROC
-=-=-=-=-=-=-=-=-=-=-=-=-=-=-=-=-=-=-=-=-=-=-=-=-=-=-=-=-=-=-=-=-=-=-=-=-=-=-=-=
Figure 58.17: Projection de la distribution potentielle contemporaine sur la métropole de Grenoble, selon les 6 algorithmes et les 3 runs.
Figure 58.18: Projection de la distribution potentielle contemporaine sur la métropole de Grenoble, selon les 6 algorithmes et les 3 runs.
-=-=-=-=-=-=-=-=-=-=-=-=-=-= BIOMOD.projection.out -=-=-=-=-=-=-=-=-=-=-=-=-=-=
Projection directory : Output/bepe/cont_gre
sp.name : bepe
expl.var.names : temp_max_august temp_min temp_wet_quart temp_season
prec_wet_quart prec_season
modeling.id : AllModels ( Output/bepe/bepe.AllModels.ensemble.models.out )
models.projected :
bepe_EMcvByTSS_mergedData_mergedRun_mergedAlgo, bepe_EMwmeanByTSS_mergedData_mergedRun_mergedAlgo
-=-=-=-=-=-=-=-=-=-=-=-=-=-=-=-=-=-=-=-=-=-=-=-=-=-=-=-=-=-=-=-=-=-=-=-=-=-=-=-=
Figure 58.19: A) Projection de la distribution potentielle contemporaine (modèle d’ensemble) sur la métropole de Grenoble ; B) Incertitude associée à la projection.
58.3.3 Distributions potentielles futures
Futur : Projection à l’échelle de l’Europe jusqu’à l’horizon 2100
Toutes les fenêtres temporelles × scénarios pour le GCM « IPSL-CM6A-LR »
- SSP1-2.6




Figure 58.20: Projection des distributions potentielles futures jusqu’à l’horizon 2100 sous le scénario SSP1-2.6 (modèle d’ensemble).
On obtient pour la métrique TSS une carte unique de moyenne pondérée sur les algorithmes et sur les jeux de pseudo-absences.
- SSP2-4.5




Figure 58.21: Projection des distributions potentielles futures jusqu’à l’horizon 2100 sous le scénario SSP2-4.5 (modèle d’ensemble).
- SSP3-7.0




Figure 58.22: Projection des distributions potentielles futures jusqu’à l’horizon 2100 sous le scénario SSP3-7.0 (modèle d’ensemble).
- SSP5-8.5




Figure 58.23: Projection des distributions potentielles futures jusqu’à l’horizon 2100 sous le scénario SSP5-8.5 (modèle d’ensemble).
58.4 Inférence à l’échelle de la métropole
- Croisement avec températures de surface 2019 (fournie par la métropole)
- → conditions climatiques favorables à fine échelle
- à peu près 7 pixels × 9 (WorldClim)
58.4.1 Distributions potentielles futures
Même chose que précédemment mais sur les rasters de Grenoble
- SSP1-2.6




Figure 58.24: Projection des distributions potentielles contemporaine et futures jusqu’à l’horizon 2100 sous le scénario SSP5-8.5 (modèle d’ensemble, GCM IPSL).
- SSP2-4.5




Figure 58.25: Projection des distributions potentielles contemporaine et futures jusqu’à l’horizon 2100 sous le scénario SSP5-8.5 (modèle d’ensemble, GCM IPSL).
- SSP3-7.0




Figure 58.26: Projection des distributions potentielles contemporaine et futures jusqu’à l’horizon 2100 sous le scénario SSP5-8.5 (modèle d’ensemble, GCM IPSL).
- SSP5-8.5




Figure 58.27: Projection des distributions potentielles contemporaine et futures jusqu’à l’horizon 2100 sous le scénario SSP5-8.5 (modèle d’ensemble, GCM IPSL).
58.4.2 Évolution temporelle
# A tibble: 17 × 8
min q1 median mean q3 max ssp year
<table[1d]> <table[1d]> <table[1d]> <table[1d]> <table[1d]> <tab> <fct> <dbl>
1 275 689 792 764.37399 857 996 0 2000
2 55 239 492 467.17805 698 966 126 2040
3 41 136 372 357.67467 555 882 126 2060
4 41 109 329 325.91066 513 837 126 2080
5 85 136 342 345.17339 529 834 126 2100
6 67 190 468 448.86456 684 920 245 2040
7 48 104 250 283.84547 454 812 245 2060
8 64 109 140 222.58932 323 731 245 2080
9 49 124 145 174.49430 194 535 245 2100
10 64 237 486 459.89485 674 929 370 2040
11 58 115 240 283.46349 451 790 370 2060
12 73 121 142 170.89009 204 589 370 2080
13 5 51 61 70.23533 84 207 370 2100
14 46 159 411 391.15679 605 866 585 2040
15 49 112 141 221.70439 339 618 585 2060
16 7 52 65 69.51963 89 235 585 2080
17 20 53 65 63.62973 72 144 585 2100
Figure 58.28: Évolution de la favorabilité climatique au cours du XXIème siècle. Le point représente la médiane sur l’étendue de la métropole (i.e. tous les pixels de la carte) ; le trait gras représente 50 % des données intermédiaires (espace inter-quartile) ; le trait fin représente le reste des données du minimum au maximum.