129 Cornus mas
129.1 Données d’occurrences GBIF
Collecte des données du GBIF :
<<gbif download metadata>>
Status: SUCCEEDED
DOI: 10.15468/dl.qfwtbn
Format: SIMPLE_CSV
Download key: 0252520-230224095556074
Created: 2023-05-20T16:09:53.566+00:00
Modified: 2023-05-20T16:11:21.938+00:00
Download link: https://api.gbif.org/v1/occurrence/download/request/0252520-230224095556074.zip
Total records: 57221
Conversion en objets géographiques (format Simple feature de sf) et
exploration rapide des données (classe du jeu de données et premières lignes du
tableau) :
Simple feature collection with 53825 features and 50 fields
Attribute-geometry relationship: 50 constant, 0 aggregate, 0 identity
Geometry type: POINT
Dimension: XY
Bounding box: xmin: -123.294151 ymin: -43.644 xmax: 172.466 ymax: 63.434
Geodetic CRS: WGS 84
# A tibble: 53,825 × 51
gbifID datasetKey occurrenceID kingdom phylum class order family genus species infraspecificEpithet
* <int64> <chr> <chr> <chr> <chr> <chr> <chr> <chr> <chr> <chr> <chr>
1 3.e9 5f06e39d-… USFS - New … Plantae Trach… Magn… Corn… Corna… Corn… Cornus… ""
2 3.e9 d1e9202b-… NYCstreetTr… Plantae Trach… Magn… Corn… Corna… Corn… Cornus… ""
3 3.e9 d1e9202b-… NYCstreetTr… Plantae Trach… Magn… Corn… Corna… Corn… Cornus… ""
4 3.e9 d1e9202b-… NYCstreetTr… Plantae Trach… Magn… Corn… Corna… Corn… Cornus… ""
5 3.e9 5f06e39d-… USFS - New … Plantae Trach… Magn… Corn… Corna… Corn… Cornus… ""
6 3.e9 5f06e39d-… USFS - New … Plantae Trach… Magn… Corn… Corna… Corn… Cornus… ""
7 3.e9 5f06e39d-… USFS - New … Plantae Trach… Magn… Corn… Corna… Corn… Cornus… ""
8 3.e9 d1e9202b-… NYCstreetTr… Plantae Trach… Magn… Corn… Corna… Corn… Cornus… ""
9 3.e9 5f06e39d-… USFS - New … Plantae Trach… Magn… Corn… Corna… Corn… Cornus… ""
10 3.e9 5f06e39d-… USFS - New … Plantae Trach… Magn… Corn… Corna… Corn… Cornus… ""
# ℹ 53,815 more rows
# ℹ 40 more variables: taxonRank <chr>, scientificName <chr>, verbatimScientificName <chr>,
# verbatimScientificNameAuthorship <chr>, countryCode <chr>, locality <chr>, stateProvince <chr>,
# occurrenceStatus <chr>, individualCount <int>, publishingOrgKey <chr>, decimalLatitude <dbl>,
# decimalLongitude <dbl>, coordinateUncertaintyInMeters <dbl>, coordinatePrecision <dbl>,
# elevation <dbl>, elevationAccuracy <dbl>, depth <dbl>, depthAccuracy <dbl>, eventDate <dttm>,
# day <int>, month <int>, year <int>, taxonKey <int>, speciesKey <int>, basisOfRecord <chr>, …
Il y a 53 825 occurrences dans le jeu de données. On les affiche sur la carte du monde :
Figure 129.1: Occurrences de Cornus mas dans le monde.
129.1.1 Données par région
On évalue la proportion d’occurrences dans chaque région, en utilisant les 3 masques créés précédemment. Si on a au moins 50 % des occurrences dans une région, on peut continuer en travaillant uniquement sur ces données. Sinon, on vérifie qu’au moins 67 % des données tombent dans l’ensemble des régions, et on prend la région la plus représentée. Au final, s’il s’agit d’une espèce endémique d’Europe, on n’a pas besoin de manipulation supplémentaire.
[1] 0.9907849512
[1] 0.008843474222
[1] 0
Figure 129.2: Occurrence de Cornus mas dans la région d’endémisme.
129.1.2 Licences
On s’intéresse ici au problème particulier des licences :
CC_BY_4_0
49048
CC_BY_NC_4_0
2831
CC0_1_0
1354
https://creativecommons.org/licenses/by-nc/4.0/legalcode
77
https://creativecommons.org/licenses/by/4.0/legalcode
16
https://creativecommons.org/publicdomain/zero/1.0/legalcode
3
[1] 94.54705695
Figure 129.3: Occurrence de Cornus mas dans la région d’endémisme, selon la licence : CC BY-NC en bleu ; CC0 et CC BY en orange.
Idéalement, on aimerait avoir au moins 50 % de données vraiment libres
d’utilisation (c’est-à-dire sans la clause -NC). On continue en supprimant les
données en CC BY-NC.
[1] 50421
129.1.3 Sous-échantillonnage
Si le jeu de données contient 25 000 occurrences ou plus, on procède au sous-échantillonnage aléatoire pour en conserver un maximum de 25 000.
Simple feature collection with 25000 features and 50 fields
Attribute-geometry relationship: 50 constant, 0 aggregate, 0 identity
Geometry type: POINT
Dimension: XY
Bounding box: xmin: -4.938775 ymin: 38.83389 xmax: 46.46389 ymax: 63.434
Geodetic CRS: WGS 84
# A tibble: 25,000 × 51
gbifID datasetKey occurrenceID kingdom phylum class order family genus species infraspecificEpithet
<int64> <chr> <chr> <chr> <chr> <chr> <chr> <chr> <chr> <chr> <chr>
1 1 e9 f97eeccc-… "48650" Plantae Trach… Magn… Corn… Corna… Corn… Cornus… ""
2 9 e6 857aa892-… "" Plantae Trach… Magn… Corn… Corna… Corn… Cornus… ""
3 3.e9 f946666e-… "BDBB97C3-3… Plantae Trach… Magn… Corn… Corna… Corn… Cornus… ""
4 3.e9 dd238f50-… "dcf5f243-8… Plantae Trach… Magn… Corn… Corna… Corn… Cornus… ""
5 3.e9 dd238f50-… "acad036d-e… Plantae Trach… Magn… Corn… Corna… Corn… Cornus… ""
6 1.e9 8ea4250e-… "http://id.… Plantae Trach… Magn… Corn… Corna… Corn… Cornus… ""
7 3.e9 7a3679ef-… "o-10067288… Plantae Trach… Magn… Corn… Corna… Corn… Cornus… ""
8 3.e9 e5f16d86-… "b6c65f66-1… Plantae Trach… Magn… Corn… Corna… Corn… Cornus… ""
9 3.e9 c7d7f268-… "DSS0043900… Plantae Trach… Magn… Corn… Corna… Corn… Cornus… ""
10 1.e9 8ea4250e-… "http://id.… Plantae Trach… Magn… Corn… Corna… Corn… Cornus… ""
# ℹ 24,990 more rows
# ℹ 40 more variables: taxonRank <chr>, scientificName <chr>, verbatimScientificName <chr>,
# verbatimScientificNameAuthorship <chr>, countryCode <chr>, locality <chr>, stateProvince <chr>,
# occurrenceStatus <chr>, individualCount <int>, publishingOrgKey <chr>, decimalLatitude <dbl>,
# decimalLongitude <dbl>, coordinateUncertaintyInMeters <dbl>, coordinatePrecision <dbl>,
# elevation <dbl>, elevationAccuracy <dbl>, depth <dbl>, depthAccuracy <dbl>, eventDate <dttm>,
# day <int>, month <int>, year <int>, taxonKey <int>, speciesKey <int>, basisOfRecord <chr>, …
129.2 Modélisation de la niche climatique
129.2.1 Préparer les données
Organisation des données d’entrées (occurrences et données environnementales) et des données produites de pseudo-absences :
class : SpatVector
geometry : points
dimensions : 25000, 0 (geometries, attributes)
extent : -4.938775, 46.46389, 38.83389, 63.434 (xmin, xmax, ymin, ymax)
coord. ref. : lon/lat WGS 84 (EPSG:4326)
-=-=-=-=-=-=-=-=-=-=-=-=-=-=-= coma Data Formating -=-=-=-=-=-=-=-=-=-=-=-=-=-=-=
! Response variable is considered as only presences... Is it really what you want?
! No data has been set aside for modeling evaluation
!!! Some data are located in the same raster cell.
Please set `filter.raster = TRUE` if you want an automatic filtering.
Checking Pseudo-absence selection arguments...
> random pseudo absences selection
> Pseudo absences are selected in explanatory variables
! Some NAs have been automatically removed from your data
!!! Some data are located in the same raster cell.
Please set `filter.raster = TRUE` if you want an automatic filtering.
-=-=-=-=-=-=-=-=-=-=-=-=-=-=-=-=-=-= Done -=-=-=-=-=-=-=-=-=-=-=-=-=-=-=-=-=-=
-=-=-=-=-=-=-=-=-=-=-=-=-=-= BIOMOD.formated.data -=-=-=-=-=-=-=-=-=-=-=-=-=-=
dir.name = Output
sp.name = coma
24999 presences, 0 true absences and 72885 undefined points in dataset
6 explanatory variables
temp_max_august temp_min temp_wet_quart temp_season
Min. : 0.224 Min. :-22.076 Min. :-14.857 Min. : 0.0
1st Qu.:20.864 1st Qu.: -8.716 1st Qu.: 8.625 1st Qu.: 620.3
Median :23.908 Median : -2.588 Median : 13.050 Median : 727.8
Mean :25.097 Mean : -4.094 Mean : 12.298 Mean : 758.4
3rd Qu.:28.060 3rd Qu.: 0.712 3rd Qu.: 16.382 3rd Qu.: 895.7
Max. :45.744 Max. : 12.196 Max. : 26.185 Max. :1380.9
prec_wet_quart prec_season
Min. : 3.0 Min. : 4.496
1st Qu.: 176.0 1st Qu.: 20.584
Median : 217.0 Median : 30.766
Mean : 219.8 Mean : 34.393
3rd Qu.: 252.0 3rd Qu.: 39.445
Max. :1240.0 Max. :123.521
-=-=-=-=-=-=-=-=-=-=-=-=-=-=-=-=-=-=-=-=-=-=-=-=-=-=-=-=-=-=-=-=-=-=-=-=-=-=-=-=
On visualise les pseudo-absences :
Figure 129.5: Les données d’occurrences (en haut à gauche) et les trois jeux de données aléatoires de pseudo-absences.
$data.vect
class : SpatVector
geometry : points
dimensions : 174996, 2 (geometries, attributes)
extent : -10.39583, 46.97917, 29.02083, 70.97917 (xmin, xmax, ymin, ymax)
coord. ref. :
names : resp dataset
type : <num> <chr>
values : 10 Initial dataset
10 Initial dataset
10 Initial dataset
$data.label
9 10
"**Presences**" "Presences (calibration)"
11 12
"Presences (validation)" "Presences (evaluation)"
19 20
"**True Absences**" "True Absences (calibration)"
21 22
"True Absences (validation)" "True Absences (evaluation)"
29 30
"**Pseudo-Absences**" "Pseudo-Absences (calibration)"
31 1
"Pseudo-Absences (validation)" "Background"
$data.plot
Figure 129.6: Les données d’occurrences (en haut à gauche) et les trois jeux de données aléatoires de pseudo-absences.
129.2.2 Modèles individuels de niche
-=-=-=-=-=-=-=-=-=-=-=-=-=-=-= Build Single Models -=-=-=-=-=-=-=-=-=-=-=-=-=-=-=
Checking Models arguments...
Creating suitable Workdir...
! Weights where automatically defined for coma_PA1 to rise a 0.5 prevalence !
! Weights where automatically defined for coma_PA2 to rise a 0.5 prevalence !
! Weights where automatically defined for coma_PA3 to rise a 0.5 prevalence !
-=-=-=-=-=-=-=-=-=-=-=-=-=-= coma Modeling Summary -=-=-=-=-=-=-=-=-=-=-=-=-=-=
6 environmental variables ( temp_max_august temp_min temp_wet_quart temp_season prec_wet_quart prec_season )
Number of evaluation repetitions : 1
Models selected : GAM MARS MAXNET GBM ANN RF
Total number of model runs: 18
-=-=-=-=-=-=-=-=-=-=-=-=-=-=-=-=-=-=-=-=-=-=-=-=-=-=-=-=-=-=-=-=-=-=-=-=-=-=-=-=
-=-=-=- Run : coma_PA1
-=-=-=--=-=-=- coma_PA1_RUN1
-=-=-=- Run : coma_PA2
-=-=-=--=-=-=- coma_PA2_RUN1
-=-=-=- Run : coma_PA3
-=-=-=--=-=-=- coma_PA3_RUN1
-=-=-=-=-=-=-=-=-=-=-=-=-=-=-=-=-=-= Done -=-=-=-=-=-=-=-=-=-=-=-=-=-=-=-=-=-=
129.2.2.1 Évaluation de la performance
full.name PA run algo metric.eval cutoff sensitivity
1 coma_PA1_RUN1_GAM PA1 RUN1 GAM TSS 636.0 94.955
2 coma_PA1_RUN1_GAM PA1 RUN1 GAM ROC 632.5 95.035
3 coma_PA1_RUN1_MARS PA1 RUN1 MARS TSS 403.0 96.590
4 coma_PA1_RUN1_MARS PA1 RUN1 MARS ROC 403.5 96.585
5 coma_PA1_RUN1_MAXNET PA1 RUN1 MAXNET TSS 367.0 94.305
6 coma_PA1_RUN1_MAXNET PA1 RUN1 MAXNET ROC 369.5 94.145
specificity calibration validation evaluation
1 60.455 0.554 0.550 NA
2 60.425 0.716 0.716 NA
3 86.140 0.827 0.826 NA
4 86.165 0.963 0.964 NA
5 88.220 0.826 0.822 NA
6 88.435 0.964 0.965 NA
Figure 129.7: Évaluation de la performance des modèles individuels : True Skill Statistic & aire sous la courbe de ROC.
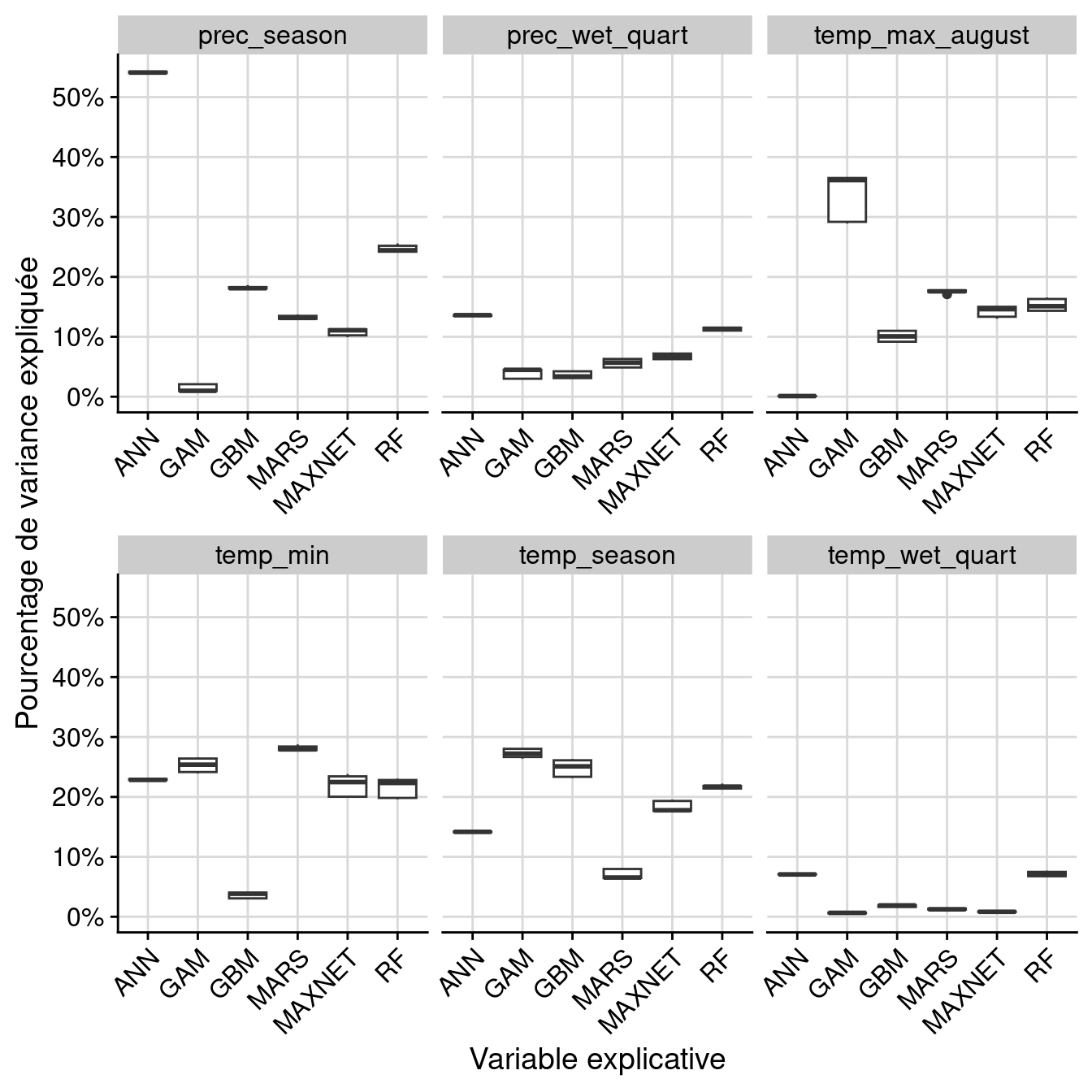
129.2.2.2 Importance des variables environnementales
full.name PA run algo expl.var rand var.imp
1 coma_PA1_RUN1_GAM PA1 RUN1 GAM temp_max_august 1 0.364957
2 coma_PA1_RUN1_GAM PA1 RUN1 GAM temp_min 1 0.240219
3 coma_PA1_RUN1_GAM PA1 RUN1 GAM temp_wet_quart 1 0.006535
4 coma_PA1_RUN1_GAM PA1 RUN1 GAM temp_season 1 0.281042
5 coma_PA1_RUN1_GAM PA1 RUN1 GAM prec_wet_quart 1 0.029147
6 coma_PA1_RUN1_GAM PA1 RUN1 GAM prec_season 1 0.009934
Figure 129.8: Pourcentage de variance expliquée pour chaque variable, décomposé par algorithme.
Figure 129.9: Pourcentage de variance expliquée pour chaque variable, décomposé par variable.
129.2.3 Modèles d’ensemble de niche
Seulement modèles avec TSS > 0.8
-=-=-=-=-=-=-=-=-=-=-=-=-= BIOMOD.ensemble.models.out -=-=-=-=-=-=-=-=-=-=-=-=-=
sp.name : coma
expl.var.names : temp_max_august temp_min temp_wet_quart temp_season
prec_wet_quart prec_season
models computed:
coma_EMcvByTSS_mergedData_mergedRun_mergedAlgo, coma_EMwmeanByTSS_mergedData_mergedRun_mergedAlgo
models failed: none
-=-=-=-=-=-=-=-=-=-=-=-=-=-=-=-=-=-=-=-=-=-=-=-=-=-=-=-=-=-=-=-=-=-=-=-=-=-=-=-=
129.2.3.1 Évaluation de la qualité
full.name merged.by.PA merged.by.run
1 coma_EMwmeanByTSS_mergedData_mergedRun_mergedAlgo mergedData mergedRun
2 coma_EMwmeanByTSS_mergedData_mergedRun_mergedAlgo mergedData mergedRun
merged.by.algo filtered.by algo metric.eval cutoff sensitivity specificity
1 mergedAlgo TSS EMwmean TSS 526.0 95.80 92.152
2 mergedAlgo TSS EMwmean ROC 519.5 95.94 92.026
calibration validation evaluation
1 0.880 NA NA
2 0.987 NA NA
Figure 129.11: Évaluation de la qualité du modèle d’ensemble : Aire sous la courbe de ROC & True Skill Statistic.
full.name merged.by.PA merged.by.run
1 coma_EMcvByTSS_mergedData_mergedRun_mergedAlgo mergedData mergedRun
2 coma_EMcvByTSS_mergedData_mergedRun_mergedAlgo mergedData mergedRun
3 coma_EMcvByTSS_mergedData_mergedRun_mergedAlgo mergedData mergedRun
4 coma_EMcvByTSS_mergedData_mergedRun_mergedAlgo mergedData mergedRun
5 coma_EMcvByTSS_mergedData_mergedRun_mergedAlgo mergedData mergedRun
6 coma_EMcvByTSS_mergedData_mergedRun_mergedAlgo mergedData mergedRun
merged.by.algo filtered.by algo expl.var rand var.imp
1 mergedAlgo TSS EMcv temp_max_august 1 0.170306
2 mergedAlgo TSS EMcv temp_min 1 0.363594
3 mergedAlgo TSS EMcv temp_wet_quart 1 0.032707
4 mergedAlgo TSS EMcv temp_season 1 0.121459
5 mergedAlgo TSS EMcv prec_wet_quart 1 0.075353
6 mergedAlgo TSS EMcv prec_season 1 0.128907
Par variable :
Figure 129.12: Pourcentage de variance expliquée par variable dans le modèle d’ensemble.
Figure 129.13: Courbes de réponse de chaque variable climatique dans le modèle d’ensemble.
129.3 Projections
129.3.1 Distribution potentielle contemporaine
Contemporaine : Cartographie des observations sur couches climatiques Extraction des conditions climatiques favorables
-=-=-=-=-=-=-=-=-=-=-=-=-=-= BIOMOD.projection.out -=-=-=-=-=-=-=-=-=-=-=-=-=-=
Projection directory : Output/coma/current
sp.name : coma
expl.var.names : temp_max_august temp_min temp_wet_quart temp_season
prec_wet_quart prec_season
modeling.id : AllModels ( Output/coma/coma.AllModels.models.out )
models.projected :
coma_PA1_RUN1_GAM, coma_PA1_RUN1_MARS, coma_PA1_RUN1_MAXNET, coma_PA1_RUN1_GBM, coma_PA1_RUN1_RF, coma_PA2_RUN1_GAM, coma_PA2_RUN1_MARS, coma_PA2_RUN1_MAXNET, coma_PA2_RUN1_GBM, coma_PA2_RUN1_RF, coma_PA3_RUN1_GAM, coma_PA3_RUN1_MARS, coma_PA3_RUN1_MAXNET, coma_PA3_RUN1_GBM, coma_PA3_RUN1_ANN, coma_PA3_RUN1_RF
available binary projection : TSS, ROC
available filtered projection : TSS, ROC
-=-=-=-=-=-=-=-=-=-=-=-=-=-=-=-=-=-=-=-=-=-=-=-=-=-=-=-=-=-=-=-=-=-=-=-=-=-=-=-=
Figure 129.14: Projection de la distribution potentielle contemporaine sur l’Europe, selon les 6 algorithmes et les 3 runs.
Figure 129.15: Projection de la distribution potentielle contemporaine sur l’Europe, selon les 6 algorithmes et les 3 runs.
-=-=-=-=-=-=-=-=-=-=-=-=-=-= BIOMOD.projection.out -=-=-=-=-=-=-=-=-=-=-=-=-=-=
Projection directory : Output/coma/current
sp.name : coma
expl.var.names : temp_max_august temp_min temp_wet_quart temp_season
prec_wet_quart prec_season
modeling.id : AllModels ( Output/coma/coma.AllModels.ensemble.models.out )
models.projected :
coma_EMcvByTSS_mergedData_mergedRun_mergedAlgo, coma_EMwmeanByTSS_mergedData_mergedRun_mergedAlgo
-=-=-=-=-=-=-=-=-=-=-=-=-=-=-=-=-=-=-=-=-=-=-=-=-=-=-=-=-=-=-=-=-=-=-=-=-=-=-=-=
Figure 129.16: A) Projection de la distribution potentielle contemporaine (modèle d’ensemble) ; B) Incertitude associée à la projection.
129.3.2 Interpolation à l’échelle de la métropole
- → conditions climatiques favorables à fine échelle
On projette la niche climatique sur ce raster à fine échelle.
-=-=-=-=-=-=-=-=-=-=-=-=-=-= BIOMOD.projection.out -=-=-=-=-=-=-=-=-=-=-=-=-=-=
Projection directory : Output/coma/cont_gre
sp.name : coma
expl.var.names : temp_max_august temp_min temp_wet_quart temp_season
prec_wet_quart prec_season
modeling.id : AllModels ( Output/coma/coma.AllModels.models.out )
models.projected :
coma_PA1_RUN1_GAM, coma_PA1_RUN1_MARS, coma_PA1_RUN1_MAXNET, coma_PA1_RUN1_GBM, coma_PA1_RUN1_RF, coma_PA2_RUN1_GAM, coma_PA2_RUN1_MARS, coma_PA2_RUN1_MAXNET, coma_PA2_RUN1_GBM, coma_PA2_RUN1_RF, coma_PA3_RUN1_GAM, coma_PA3_RUN1_MARS, coma_PA3_RUN1_MAXNET, coma_PA3_RUN1_GBM, coma_PA3_RUN1_ANN, coma_PA3_RUN1_RF
available binary projection : TSS, ROC
available filtered projection : TSS, ROC
-=-=-=-=-=-=-=-=-=-=-=-=-=-=-=-=-=-=-=-=-=-=-=-=-=-=-=-=-=-=-=-=-=-=-=-=-=-=-=-=
Figure 129.17: Projection de la distribution potentielle contemporaine sur la métropole de Grenoble, selon les 6 algorithmes et les 3 runs.
Figure 129.18: Projection de la distribution potentielle contemporaine sur la métropole de Grenoble, selon les 6 algorithmes et les 3 runs.
-=-=-=-=-=-=-=-=-=-=-=-=-=-= BIOMOD.projection.out -=-=-=-=-=-=-=-=-=-=-=-=-=-=
Projection directory : Output/coma/cont_gre
sp.name : coma
expl.var.names : temp_max_august temp_min temp_wet_quart temp_season
prec_wet_quart prec_season
modeling.id : AllModels ( Output/coma/coma.AllModels.ensemble.models.out )
models.projected :
coma_EMcvByTSS_mergedData_mergedRun_mergedAlgo, coma_EMwmeanByTSS_mergedData_mergedRun_mergedAlgo
-=-=-=-=-=-=-=-=-=-=-=-=-=-=-=-=-=-=-=-=-=-=-=-=-=-=-=-=-=-=-=-=-=-=-=-=-=-=-=-=
Figure 129.19: A) Projection de la distribution potentielle contemporaine (modèle d’ensemble) sur la métropole de Grenoble ; B) Incertitude associée à la projection.
129.3.3 Distributions potentielles futures
Futur : Projection à l’échelle de l’Europe jusqu’à l’horizon 2100
Toutes les fenêtres temporelles × scénarios pour le GCM « IPSL-CM6A-LR »
- SSP1-2.6




Figure 129.20: Projection des distributions potentielles futures jusqu’à l’horizon 2100 sous le scénario SSP1-2.6 (modèle d’ensemble).
On obtient pour la métrique TSS une carte unique de moyenne pondérée sur les algorithmes et sur les jeux de pseudo-absences.
- SSP2-4.5




Figure 129.21: Projection des distributions potentielles futures jusqu’à l’horizon 2100 sous le scénario SSP2-4.5 (modèle d’ensemble).
- SSP3-7.0




Figure 129.22: Projection des distributions potentielles futures jusqu’à l’horizon 2100 sous le scénario SSP3-7.0 (modèle d’ensemble).
- SSP5-8.5




Figure 129.23: Projection des distributions potentielles futures jusqu’à l’horizon 2100 sous le scénario SSP5-8.5 (modèle d’ensemble).
129.4 Inférence à l’échelle de la métropole
- Croisement avec températures de surface 2019 (fournie par la métropole)
- → conditions climatiques favorables à fine échelle
- à peu près 7 pixels × 9 (WorldClim)
129.4.1 Distributions potentielles futures
Même chose que précédemment mais sur les rasters de Grenoble
- SSP1-2.6




Figure 129.24: Projection des distributions potentielles contemporaine et futures jusqu’à l’horizon 2100 sous le scénario SSP5-8.5 (modèle d’ensemble, GCM IPSL).
- SSP2-4.5




Figure 129.25: Projection des distributions potentielles contemporaine et futures jusqu’à l’horizon 2100 sous le scénario SSP5-8.5 (modèle d’ensemble, GCM IPSL).
- SSP3-7.0




Figure 129.26: Projection des distributions potentielles contemporaine et futures jusqu’à l’horizon 2100 sous le scénario SSP5-8.5 (modèle d’ensemble, GCM IPSL).
- SSP5-8.5




Figure 129.27: Projection des distributions potentielles contemporaine et futures jusqu’à l’horizon 2100 sous le scénario SSP5-8.5 (modèle d’ensemble, GCM IPSL).
129.4.2 Évolution temporelle
# A tibble: 17 × 8
min q1 median mean q3 max ssp year
<table[1d]> <table[1d]> <table[1d]> <table[1d]> <table[1d]> <tab> <fct> <dbl>
1 304 568 716 679.9607 813 858 0 2000
2 254 569 775 688.3628 823 862 126 2040
3 246 513 741 654.7157 802 857 126 2060
4 253 517 750 664.0074 817 859 126 2080
5 254 535 759 666.9025 804 853 126 2100
6 240 560 791 687.7260 828 861 245 2040
7 258 472 703 630.8226 790 859 245 2060
8 259 435 689 614.6564 786 852 245 2080
9 248 379 618 562.6786 720 843 245 2100
10 233 542 748 669.0153 816 861 370 2040
11 260 479 715 633.7423 785 852 370 2060
12 249 342 576 537.3072 699 846 370 2080
13 146 257 363 358.8263 436 667 370 2100
14 246 541 755 674.8228 819 861 585 2040
15 260 442 689 613.5218 778 851 585 2060
16 151 277 437 420.8806 527 697 585 2080
17 97 195 220 227.6003 263 507 585 2100
Figure 129.28: Évolution de la favorabilité climatique au cours du XXIème siècle. Le point représente la médiane sur l’étendue de la métropole (i.e. tous les pixels de la carte) ; le trait gras représente 50 % des données intermédiaires (espace inter-quartile) ; le trait fin représente le reste des données du minimum au maximum.