42 Populus nigra
42.1 Données d’occurrences GBIF
Collecte des données du GBIF :
<<gbif download metadata>>
Status: SUCCEEDED
DOI: 10.15468/dl.85yex8
Format: SIMPLE_CSV
Download key: 0232095-230224095556074
Created: 2023-05-11T07:07:20.329+00:00
Modified: 2023-05-11T07:09:03.101+00:00
Download link: https://api.gbif.org/v1/occurrence/download/request/0232095-230224095556074.zip
Total records: 83539
Conversion en objets géographiques (format Simple feature de sf) et
exploration rapide des données (classe du jeu de données et premières lignes du
tableau) :
Simple feature collection with 83539 features and 50 fields
Attribute-geometry relationship: 50 constant, 0 aggregate, 0 identity
Geometry type: POINT
Dimension: XY
Bounding box: xmin: -132.104167 ymin: -51.633081 xmax: 176.837443 ymax: 86.92284
Geodetic CRS: WGS 84
# A tibble: 83,539 × 51
gbifID datasetKey occurrenceID kingdom phylum class order family genus species infraspecificEpithet
* <int64> <chr> <chr> <chr> <chr> <chr> <chr> <chr> <chr> <chr> <chr>
1 3.e9 c4e1739b-… BISON:New Y… Plantae Trach… Magn… Malp… Salic… Popu… Populu… ""
2 3.e9 5f06e39d-… USFS - New … Plantae Trach… Magn… Malp… Salic… Popu… Populu… ""
3 3.e9 c4e1739b-… BISON:New Y… Plantae Trach… Magn… Malp… Salic… Popu… Populu… ""
4 3.e9 5f06e39d-… USFS - New … Plantae Trach… Magn… Malp… Salic… Popu… Populu… ""
5 3.e9 c4e1739b-… BISON:New Y… Plantae Trach… Magn… Malp… Salic… Popu… Populu… ""
6 3.e9 c4e1739b-… BISON:New Y… Plantae Trach… Magn… Malp… Salic… Popu… Populu… ""
7 3.e9 c4e1739b-… BISON:New Y… Plantae Trach… Magn… Malp… Salic… Popu… Populu… ""
8 3.e9 c4e1739b-… BISON:New Y… Plantae Trach… Magn… Malp… Salic… Popu… Populu… ""
9 3.e9 5f06e39d-… USFS - New … Plantae Trach… Magn… Malp… Salic… Popu… Populu… ""
10 3.e9 c4e1739b-… BISON:New Y… Plantae Trach… Magn… Malp… Salic… Popu… Populu… ""
# ℹ 83,529 more rows
# ℹ 40 more variables: taxonRank <chr>, scientificName <chr>, verbatimScientificName <chr>,
# verbatimScientificNameAuthorship <chr>, countryCode <chr>, locality <chr>, stateProvince <chr>,
# occurrenceStatus <chr>, individualCount <int>, publishingOrgKey <chr>, decimalLatitude <dbl>,
# decimalLongitude <dbl>, coordinateUncertaintyInMeters <dbl>, coordinatePrecision <dbl>,
# elevation <dbl>, elevationAccuracy <dbl>, depth <dbl>, depthAccuracy <dbl>, eventDate <dttm>,
# day <int>, month <int>, year <int>, taxonKey <int>, speciesKey <int>, basisOfRecord <chr>, …
Il y a 83 539 occurrences dans le jeu de données. On les affiche sur la carte du monde :
Figure 42.1: Occurrences de Populus nigra dans le monde.
42.1.1 Données par région
On évalue la proportion d’occurrences dans chaque région, en utilisant les 3 masques créés précédemment. Si on a au moins 50 % des occurrences dans une région, on peut continuer en travaillant uniquement sur ces données. Sinon, on vérifie qu’au moins 67 % des données tombent dans l’ensemble des régions, et on prend la région la plus représentée. Au final, s’il s’agit d’une espèce endémique d’Europe, on n’a pas besoin de manipulation supplémentaire.
[1] 0.9688648416
[1] 0.003603107531
[1] 0.002705323262
Figure 42.2: Occurrence de Populus nigra dans la région d’endémisme.
42.1.2 Licences
On s’intéresse ici au problème particulier des licences :
CC_BY_4_0
61723
CC_BY_NC_4_0
8372
CC0_1_0
1247
https://creativecommons.org/licenses/by-nc/4.0/legalcode
7494
https://creativecommons.org/licenses/by/4.0/legalcode
1993
https://creativecommons.org/publicdomain/zero/1.0/legalcode
109
[1] 80.39734117
Figure 42.3: Occurrence de Populus nigra dans la région d’endémisme, selon la licence : CC BY-NC en bleu ; CC0 et CC BY en orange.
Idéalement, on aimerait avoir au moins 50 % de données vraiment libres
d’utilisation (c’est-à-dire sans la clause -NC). On continue en supprimant les
données en CC BY-NC.
[1] 65072
42.1.3 Sous-échantillonnage
Si le jeu de données contient 25 000 occurrences ou plus, on procède au sous-échantillonnage aléatoire pour en conserver un maximum de 25 000.
Simple feature collection with 25000 features and 50 fields
Attribute-geometry relationship: 50 constant, 0 aggregate, 0 identity
Geometry type: POINT
Dimension: XY
Bounding box: xmin: -9.260415 ymin: 31.961506 xmax: 46.84191 ymax: 62.4993
Geodetic CRS: WGS 84
# A tibble: 25,000 × 51
gbifID datasetKey occurrenceID kingdom phylum class order family genus species infraspecificEpithet
<int64> <chr> <chr> <chr> <chr> <chr> <chr> <chr> <chr> <chr> <chr>
1 1 e9 75956ee6-… http://flor… Plantae Trach… Magn… Malp… Salic… Popu… Populu… ""
2 1 e9 75956ee6-… http://cbnm… Plantae Trach… Magn… Malp… Salic… Popu… Populu… ""
3 1 e9 75956ee6-… http://cbnm… Plantae Trach… Magn… Malp… Salic… Popu… Populu… ""
4 1 e9 75956ee6-… http://flor… Plantae Trach… Magn… Malp… Salic… Popu… Populu… ""
5 3.e9 14d5676a-… q-100724157… Plantae Trach… Magn… Malp… Salic… Popu… Populu… ""
6 2 e9 7a3679ef-… o-1007248694 Plantae Trach… Magn… Malp… Salic… Popu… Populu… ""
7 3.e9 14d81697-… 54a960a6-82… Plantae Trach… Magn… Malp… Salic… Popu… Populu… ""
8 3.e9 403cea9f-… afd767eb-4b… Plantae Trach… Magn… Malp… Salic… Popu… Populu… ""
9 2 e9 dd238f50-… 9f95228d-63… Plantae Trach… Magn… Malp… Salic… Popu… Populu… ""
10 1 e9 75956ee6-… http://flor… Plantae Trach… Magn… Malp… Salic… Popu… Populu… ""
# ℹ 24,990 more rows
# ℹ 40 more variables: taxonRank <chr>, scientificName <chr>, verbatimScientificName <chr>,
# verbatimScientificNameAuthorship <chr>, countryCode <chr>, locality <chr>, stateProvince <chr>,
# occurrenceStatus <chr>, individualCount <int>, publishingOrgKey <chr>, decimalLatitude <dbl>,
# decimalLongitude <dbl>, coordinateUncertaintyInMeters <dbl>, coordinatePrecision <dbl>,
# elevation <dbl>, elevationAccuracy <dbl>, depth <dbl>, depthAccuracy <dbl>, eventDate <dttm>,
# day <int>, month <int>, year <int>, taxonKey <int>, speciesKey <int>, basisOfRecord <chr>, …
42.2 Modélisation de la niche climatique
42.2.1 Préparer les données
Organisation des données d’entrées (occurrences et données environnementales) et des données produites de pseudo-absences :
class : SpatVector
geometry : points
dimensions : 25000, 0 (geometries, attributes)
extent : -9.260415, 46.84191, 31.96151, 62.4993 (xmin, xmax, ymin, ymax)
coord. ref. : lon/lat WGS 84 (EPSG:4326)
-=-=-=-=-=-=-=-=-=-=-=-=-=-=-= poni Data Formating -=-=-=-=-=-=-=-=-=-=-=-=-=-=-=
! Response variable is considered as only presences... Is it really what you want?
! No data has been set aside for modeling evaluation
!!! Some data are located in the same raster cell.
Please set `filter.raster = TRUE` if you want an automatic filtering.
Checking Pseudo-absence selection arguments...
> random pseudo absences selection
> Pseudo absences are selected in explanatory variables
! Some NAs have been automatically removed from your data
!!! Some data are located in the same raster cell.
Please set `filter.raster = TRUE` if you want an automatic filtering.
-=-=-=-=-=-=-=-=-=-=-=-=-=-=-=-=-=-= Done -=-=-=-=-=-=-=-=-=-=-=-=-=-=-=-=-=-=
-=-=-=-=-=-=-=-=-=-=-=-=-=-= BIOMOD.formated.data -=-=-=-=-=-=-=-=-=-=-=-=-=-=
dir.name = Output
sp.name = poni
24977 presences, 0 true absences and 72883 undefined points in dataset
6 explanatory variables
temp_max_august temp_min temp_wet_quart temp_season
Min. : 0.224 Min. :-22.000 Min. :-14.857 Min. : 202.1
1st Qu.:20.704 1st Qu.: -8.724 1st Qu.: 9.324 1st Qu.: 621.9
Median :24.716 Median : -2.404 Median : 12.791 Median : 718.4
Mean :25.341 Mean : -3.930 Mean : 12.305 Mean : 754.6
3rd Qu.:28.521 3rd Qu.: 1.140 3rd Qu.: 16.047 3rd Qu.: 896.3
Max. :46.104 Max. : 12.124 Max. : 26.293 Max. :1393.2
prec_wet_quart prec_season
Min. : 3.0 Min. : 4.852
1st Qu.: 178.0 1st Qu.: 22.567
Median : 220.0 Median : 31.160
Mean : 223.6 Mean : 35.333
3rd Qu.: 270.0 3rd Qu.: 39.554
Max. :1261.0 Max. :123.597
-=-=-=-=-=-=-=-=-=-=-=-=-=-=-=-=-=-=-=-=-=-=-=-=-=-=-=-=-=-=-=-=-=-=-=-=-=-=-=-=
On visualise les pseudo-absences :
Figure 42.5: Les données d’occurrences (en haut à gauche) et les trois jeux de données aléatoires de pseudo-absences.
$data.vect
class : SpatVector
geometry : points
dimensions : 174908, 2 (geometries, attributes)
extent : -10.39583, 46.97917, 29.02083, 70.97917 (xmin, xmax, ymin, ymax)
coord. ref. :
names : resp dataset
type : <num> <chr>
values : 10 Initial dataset
10 Initial dataset
10 Initial dataset
$data.label
9 10
"**Presences**" "Presences (calibration)"
11 12
"Presences (validation)" "Presences (evaluation)"
19 20
"**True Absences**" "True Absences (calibration)"
21 22
"True Absences (validation)" "True Absences (evaluation)"
29 30
"**Pseudo-Absences**" "Pseudo-Absences (calibration)"
31 1
"Pseudo-Absences (validation)" "Background"
$data.plot
Figure 42.6: Les données d’occurrences (en haut à gauche) et les trois jeux de données aléatoires de pseudo-absences.
42.2.2 Modèles individuels de niche
-=-=-=-=-=-=-=-=-=-=-=-=-=-=-= Build Single Models -=-=-=-=-=-=-=-=-=-=-=-=-=-=-=
Checking Models arguments...
Creating suitable Workdir...
! Weights where automatically defined for poni_PA1 to rise a 0.5 prevalence !
! Weights where automatically defined for poni_PA2 to rise a 0.5 prevalence !
! Weights where automatically defined for poni_PA3 to rise a 0.5 prevalence !
-=-=-=-=-=-=-=-=-=-=-=-=-=-= poni Modeling Summary -=-=-=-=-=-=-=-=-=-=-=-=-=-=
6 environmental variables ( temp_max_august temp_min temp_wet_quart temp_season prec_wet_quart prec_season )
Number of evaluation repetitions : 1
Models selected : GAM MARS MAXNET GBM ANN RF
Total number of model runs: 18
-=-=-=-=-=-=-=-=-=-=-=-=-=-=-=-=-=-=-=-=-=-=-=-=-=-=-=-=-=-=-=-=-=-=-=-=-=-=-=-=
-=-=-=- Run : poni_PA1
-=-=-=--=-=-=- poni_PA1_RUN1
-=-=-=- Run : poni_PA2
-=-=-=--=-=-=- poni_PA2_RUN1
-=-=-=- Run : poni_PA3
-=-=-=--=-=-=- poni_PA3_RUN1
-=-=-=-=-=-=-=-=-=-=-=-=-=-=-=-=-=-= Done -=-=-=-=-=-=-=-=-=-=-=-=-=-=-=-=-=-=
42.2.2.1 Évaluation de la performance
full.name PA run algo metric.eval cutoff sensitivity
1 poni_PA1_RUN1_GAM PA1 RUN1 GAM TSS 626.0 94.765
2 poni_PA1_RUN1_GAM PA1 RUN1 GAM ROC 634.5 94.525
3 poni_PA1_RUN1_MARS PA1 RUN1 MARS TSS 439.0 95.661
4 poni_PA1_RUN1_MARS PA1 RUN1 MARS ROC 445.5 95.576
5 poni_PA1_RUN1_MAXNET PA1 RUN1 MAXNET TSS 369.0 94.515
6 poni_PA1_RUN1_MAXNET PA1 RUN1 MAXNET ROC 355.5 95.291
specificity calibration validation evaluation
1 68.845 0.636 0.634 NA
2 69.145 0.818 0.822 NA
3 85.985 0.816 0.824 NA
4 86.100 0.962 0.962 NA
5 88.530 0.830 0.831 NA
6 87.810 0.960 0.961 NA
Figure 42.7: Évaluation de la performance des modèles individuels : True Skill Statistic & aire sous la courbe de ROC.
42.2.2.2 Importance des variables environnementales
full.name PA run algo expl.var rand var.imp
1 poni_PA1_RUN1_GAM PA1 RUN1 GAM temp_max_august 1 0.632697
2 poni_PA1_RUN1_GAM PA1 RUN1 GAM temp_min 1 0.157845
3 poni_PA1_RUN1_GAM PA1 RUN1 GAM temp_wet_quart 1 0.016815
4 poni_PA1_RUN1_GAM PA1 RUN1 GAM temp_season 1 0.890299
5 poni_PA1_RUN1_GAM PA1 RUN1 GAM prec_wet_quart 1 0.017094
6 poni_PA1_RUN1_GAM PA1 RUN1 GAM prec_season 1 0.020860
Figure 42.8: Pourcentage de variance expliquée pour chaque variable, décomposé par algorithme.
Figure 42.9: Pourcentage de variance expliquée pour chaque variable, décomposé par variable.
42.2.3 Modèles d’ensemble de niche
Seulement modèles avec TSS > 0.8
-=-=-=-=-=-=-=-=-=-=-=-=-= BIOMOD.ensemble.models.out -=-=-=-=-=-=-=-=-=-=-=-=-=
sp.name : poni
expl.var.names : temp_max_august temp_min temp_wet_quart temp_season
prec_wet_quart prec_season
models computed:
poni_EMcvByTSS_mergedData_mergedRun_mergedAlgo, poni_EMwmeanByTSS_mergedData_mergedRun_mergedAlgo
models failed: none
-=-=-=-=-=-=-=-=-=-=-=-=-=-=-=-=-=-=-=-=-=-=-=-=-=-=-=-=-=-=-=-=-=-=-=-=-=-=-=-=
42.2.3.1 Évaluation de la qualité
full.name merged.by.PA merged.by.run
1 poni_EMwmeanByTSS_mergedData_mergedRun_mergedAlgo mergedData mergedRun
2 poni_EMwmeanByTSS_mergedData_mergedRun_mergedAlgo mergedData mergedRun
merged.by.algo filtered.by algo metric.eval cutoff sensitivity specificity
1 mergedAlgo TSS EMwmean TSS 591.0 94.359 93.177
2 mergedAlgo TSS EMwmean ROC 598.5 94.183 93.453
calibration validation evaluation
1 0.875 NA NA
2 0.988 NA NA
Figure 42.11: Évaluation de la qualité du modèle d’ensemble : Aire sous la courbe de ROC & True Skill Statistic.
full.name merged.by.PA merged.by.run
1 poni_EMcvByTSS_mergedData_mergedRun_mergedAlgo mergedData mergedRun
2 poni_EMcvByTSS_mergedData_mergedRun_mergedAlgo mergedData mergedRun
3 poni_EMcvByTSS_mergedData_mergedRun_mergedAlgo mergedData mergedRun
4 poni_EMcvByTSS_mergedData_mergedRun_mergedAlgo mergedData mergedRun
5 poni_EMcvByTSS_mergedData_mergedRun_mergedAlgo mergedData mergedRun
6 poni_EMcvByTSS_mergedData_mergedRun_mergedAlgo mergedData mergedRun
merged.by.algo filtered.by algo expl.var rand var.imp
1 mergedAlgo TSS EMcv temp_max_august 1 0.274966
2 mergedAlgo TSS EMcv temp_min 1 0.103969
3 mergedAlgo TSS EMcv temp_wet_quart 1 0.051353
4 mergedAlgo TSS EMcv temp_season 1 0.469772
5 mergedAlgo TSS EMcv prec_wet_quart 1 0.208769
6 mergedAlgo TSS EMcv prec_season 1 0.257852
Par variable :
Figure 42.12: Pourcentage de variance expliquée par variable dans le modèle d’ensemble.
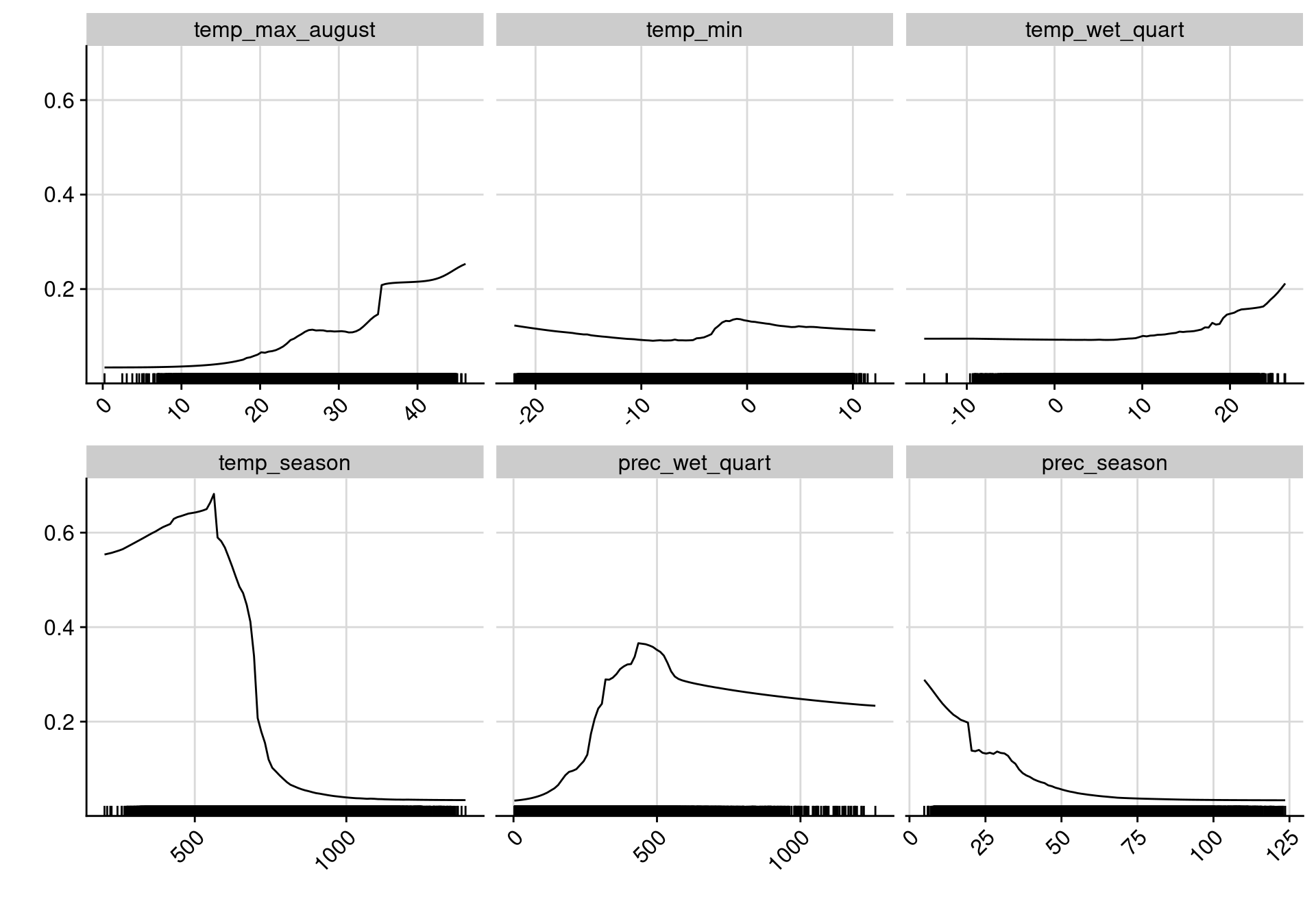
Figure 42.13: Courbes de réponse de chaque variable climatique dans le modèle d’ensemble.
42.3 Projections
42.3.1 Distribution potentielle contemporaine
Contemporaine : Cartographie des observations sur couches climatiques Extraction des conditions climatiques favorables
-=-=-=-=-=-=-=-=-=-=-=-=-=-= BIOMOD.projection.out -=-=-=-=-=-=-=-=-=-=-=-=-=-=
Projection directory : Output/poni/current
sp.name : poni
expl.var.names : temp_max_august temp_min temp_wet_quart temp_season
prec_wet_quart prec_season
modeling.id : AllModels ( Output/poni/poni.AllModels.models.out )
models.projected :
poni_PA1_RUN1_GAM, poni_PA1_RUN1_MARS, poni_PA1_RUN1_MAXNET, poni_PA1_RUN1_GBM, poni_PA1_RUN1_ANN, poni_PA1_RUN1_RF, poni_PA2_RUN1_GAM, poni_PA2_RUN1_MARS, poni_PA2_RUN1_MAXNET, poni_PA2_RUN1_GBM, poni_PA2_RUN1_ANN, poni_PA2_RUN1_RF, poni_PA3_RUN1_GAM, poni_PA3_RUN1_MARS, poni_PA3_RUN1_MAXNET, poni_PA3_RUN1_GBM, poni_PA3_RUN1_ANN, poni_PA3_RUN1_RF
available binary projection : TSS, ROC
available filtered projection : TSS, ROC
-=-=-=-=-=-=-=-=-=-=-=-=-=-=-=-=-=-=-=-=-=-=-=-=-=-=-=-=-=-=-=-=-=-=-=-=-=-=-=-=
Figure 42.14: Projection de la distribution potentielle contemporaine sur l’Europe, selon les 6 algorithmes et les 3 runs.
Figure 42.15: Projection de la distribution potentielle contemporaine sur l’Europe, selon les 6 algorithmes et les 3 runs.
-=-=-=-=-=-=-=-=-=-=-=-=-=-= BIOMOD.projection.out -=-=-=-=-=-=-=-=-=-=-=-=-=-=
Projection directory : Output/poni/current
sp.name : poni
expl.var.names : temp_max_august temp_min temp_wet_quart temp_season
prec_wet_quart prec_season
modeling.id : AllModels ( Output/poni/poni.AllModels.ensemble.models.out )
models.projected :
poni_EMcvByTSS_mergedData_mergedRun_mergedAlgo, poni_EMwmeanByTSS_mergedData_mergedRun_mergedAlgo
-=-=-=-=-=-=-=-=-=-=-=-=-=-=-=-=-=-=-=-=-=-=-=-=-=-=-=-=-=-=-=-=-=-=-=-=-=-=-=-=
Figure 42.16: A) Projection de la distribution potentielle contemporaine (modèle d’ensemble) ; B) Incertitude associée à la projection.
42.3.2 Interpolation à l’échelle de la métropole
- → conditions climatiques favorables à fine échelle
On projette la niche climatique sur ce raster à fine échelle.
-=-=-=-=-=-=-=-=-=-=-=-=-=-= BIOMOD.projection.out -=-=-=-=-=-=-=-=-=-=-=-=-=-=
Projection directory : Output/poni/cont_gre
sp.name : poni
expl.var.names : temp_max_august temp_min temp_wet_quart temp_season
prec_wet_quart prec_season
modeling.id : AllModels ( Output/poni/poni.AllModels.models.out )
models.projected :
poni_PA1_RUN1_GAM, poni_PA1_RUN1_MARS, poni_PA1_RUN1_MAXNET, poni_PA1_RUN1_GBM, poni_PA1_RUN1_ANN, poni_PA1_RUN1_RF, poni_PA2_RUN1_GAM, poni_PA2_RUN1_MARS, poni_PA2_RUN1_MAXNET, poni_PA2_RUN1_GBM, poni_PA2_RUN1_ANN, poni_PA2_RUN1_RF, poni_PA3_RUN1_GAM, poni_PA3_RUN1_MARS, poni_PA3_RUN1_MAXNET, poni_PA3_RUN1_GBM, poni_PA3_RUN1_ANN, poni_PA3_RUN1_RF
available binary projection : TSS, ROC
available filtered projection : TSS, ROC
-=-=-=-=-=-=-=-=-=-=-=-=-=-=-=-=-=-=-=-=-=-=-=-=-=-=-=-=-=-=-=-=-=-=-=-=-=-=-=-=
Figure 42.17: Projection de la distribution potentielle contemporaine sur la métropole de Grenoble, selon les 6 algorithmes et les 3 runs.
Figure 42.18: Projection de la distribution potentielle contemporaine sur la métropole de Grenoble, selon les 6 algorithmes et les 3 runs.
-=-=-=-=-=-=-=-=-=-=-=-=-=-= BIOMOD.projection.out -=-=-=-=-=-=-=-=-=-=-=-=-=-=
Projection directory : Output/poni/cont_gre
sp.name : poni
expl.var.names : temp_max_august temp_min temp_wet_quart temp_season
prec_wet_quart prec_season
modeling.id : AllModels ( Output/poni/poni.AllModels.ensemble.models.out )
models.projected :
poni_EMcvByTSS_mergedData_mergedRun_mergedAlgo, poni_EMwmeanByTSS_mergedData_mergedRun_mergedAlgo
-=-=-=-=-=-=-=-=-=-=-=-=-=-=-=-=-=-=-=-=-=-=-=-=-=-=-=-=-=-=-=-=-=-=-=-=-=-=-=-=
Figure 42.19: A) Projection de la distribution potentielle contemporaine (modèle d’ensemble) sur la métropole de Grenoble ; B) Incertitude associée à la projection.
42.3.3 Distributions potentielles futures
Futur : Projection à l’échelle de l’Europe jusqu’à l’horizon 2100
Toutes les fenêtres temporelles × scénarios pour le GCM « IPSL-CM6A-LR »
- SSP1-2.6




Figure 42.20: Projection des distributions potentielles futures jusqu’à l’horizon 2100 sous le scénario SSP1-2.6 (modèle d’ensemble).
On obtient pour la métrique TSS une carte unique de moyenne pondérée sur les algorithmes et sur les jeux de pseudo-absences.
- SSP2-4.5




Figure 42.21: Projection des distributions potentielles futures jusqu’à l’horizon 2100 sous le scénario SSP2-4.5 (modèle d’ensemble).
- SSP3-7.0




Figure 42.22: Projection des distributions potentielles futures jusqu’à l’horizon 2100 sous le scénario SSP3-7.0 (modèle d’ensemble).
- SSP5-8.5




Figure 42.23: Projection des distributions potentielles futures jusqu’à l’horizon 2100 sous le scénario SSP5-8.5 (modèle d’ensemble).
42.4 Inférence à l’échelle de la métropole
- Croisement avec températures de surface 2019 (fournie par la métropole)
- → conditions climatiques favorables à fine échelle
- à peu près 7 pixels × 9 (WorldClim)
42.4.1 Distributions potentielles futures
Même chose que précédemment mais sur les rasters de Grenoble
- SSP1-2.6




Figure 42.24: Projection des distributions potentielles contemporaine et futures jusqu’à l’horizon 2100 sous le scénario SSP5-8.5 (modèle d’ensemble, GCM IPSL).
- SSP2-4.5




Figure 42.25: Projection des distributions potentielles contemporaine et futures jusqu’à l’horizon 2100 sous le scénario SSP5-8.5 (modèle d’ensemble, GCM IPSL).
- SSP3-7.0




Figure 42.26: Projection des distributions potentielles contemporaine et futures jusqu’à l’horizon 2100 sous le scénario SSP5-8.5 (modèle d’ensemble, GCM IPSL).
- SSP5-8.5




Figure 42.27: Projection des distributions potentielles contemporaine et futures jusqu’à l’horizon 2100 sous le scénario SSP5-8.5 (modèle d’ensemble, GCM IPSL).
42.4.2 Évolution temporelle
# A tibble: 17 × 8
min q1 median mean q3 max ssp year
<table[1d]> <table[1d]> <table[1d]> <table[1d]> <table[1d]> <tab> <fct> <dbl>
1 352 708 758 747.7066 808 877 0 2000
2 374 680 741 725.3292 779 872 126 2040
3 398 619 712 696.8527 747 868 126 2060
4 448 675 722 715.1044 768 864 126 2080
5 457 686 717 714.4997 747 859 126 2100
6 396 690 750 732.2733 798 870 245 2040
7 460 605 671 673.9394 734 850 245 2060
8 497 610 691 678.9080 736 846 245 2080
9 457 582 636 634.1334 687 782 245 2100
10 353 611 720 699.6075 766 870 370 2040
11 468 615 690 680.6048 732 855 370 2060
12 396 552 614 610.9689 687 783 370 2080
13 335 410 445 448.7535 482 588 370 2100
14 388 678 730 718.4759 774 869 585 2040
15 466 596 656 655.0640 711 811 585 2060
16 366 439 483 490.9196 550 617 585 2080
17 241 326 359 357.9706 393 450 585 2100
Figure 42.28: Évolution de la favorabilité climatique au cours du XXIème siècle. Le point représente la médiane sur l’étendue de la métropole (i.e. tous les pixels de la carte) ; le trait gras représente 50 % des données intermédiaires (espace inter-quartile) ; le trait fin représente le reste des données du minimum au maximum.