262 Pistacia lentiscus
262.1 Données d’occurrences GBIF
Collecte des données du GBIF :
<<gbif download metadata>>
Status: SUCCEEDED
DOI: 10.15468/dl.mp3yac
Format: SIMPLE_CSV
Download key: 0016083-230828120925497
Created: 2023-09-14T00:03:22.964+00:00
Modified: 2023-09-14T00:05:02.984+00:00
Download link: https://api.gbif.org/v1/occurrence/download/request/0016083-230828120925497.zip
Total records: 63302
Conversion en objets géographiques (format Simple feature de sf) et
exploration rapide des données (classe du jeu de données et premières lignes du
tableau) :
Simple feature collection with 63302 features and 50 fields
Attribute-geometry relationships: constant (50)
Geometry type: POINT
Dimension: XY
Bounding box: xmin: -112.2255 ymin: -0.661587 xmax: 46.493 ymax: 63.434
Geodetic CRS: WGS 84
# A tibble: 63,302 × 51
gbifID datasetKey occurrenceID kingdom phylum class order family genus
* <int64> <chr> <chr> <chr> <chr> <chr> <chr> <chr> <chr>
1 923056398 6ac3f774-d9fb… "" Plantae Trach… Magn… Sapi… Anaca… Pist…
2 923056058 6ac3f774-d9fb… "" Plantae Trach… Magn… Sapi… Anaca… Pist…
3 923055968 6ac3f774-d9fb… "" Plantae Trach… Magn… Sapi… Anaca… Pist…
4 923055754 6ac3f774-d9fb… "" Plantae Trach… Magn… Sapi… Anaca… Pist…
5 923055702 6ac3f774-d9fb… "" Plantae Trach… Magn… Sapi… Anaca… Pist…
6 923055680 6ac3f774-d9fb… "" Plantae Trach… Magn… Sapi… Anaca… Pist…
7 923055546 6ac3f774-d9fb… "" Plantae Trach… Magn… Sapi… Anaca… Pist…
8 923055207 6ac3f774-d9fb… "" Plantae Trach… Magn… Sapi… Anaca… Pist…
9 923054789 6ac3f774-d9fb… "" Plantae Trach… Magn… Sapi… Anaca… Pist…
10 923054141 6ac3f774-d9fb… "" Plantae Trach… Magn… Sapi… Anaca… Pist…
# ℹ 63,292 more rows
# ℹ 42 more variables: species <chr>, infraspecificEpithet <chr>,
# taxonRank <chr>, scientificName <chr>, verbatimScientificName <chr>,
# verbatimScientificNameAuthorship <chr>, countryCode <chr>, locality <chr>,
# stateProvince <chr>, occurrenceStatus <chr>, individualCount <int>,
# publishingOrgKey <chr>, decimalLatitude <dbl>, decimalLongitude <dbl>,
# coordinateUncertaintyInMeters <dbl>, coordinatePrecision <dbl>, …
Il y a 63 302 occurrences dans le jeu de données. On les affiche sur la carte du monde :
Figure 262.1: Occurrences de Pistacia lentiscus dans le monde.
262.1.1 Données par région
On évalue la proportion d’occurrences dans chaque région, en utilisant les 3 masques créés précédemment. Si on a au moins 50 % des occurrences dans une région, on peut continuer en travaillant uniquement sur ces données. Sinon, on vérifie qu’au moins 67 % des données tombent dans l’ensemble des régions, et on prend la région la plus représentée. Au final, s’il s’agit d’une espèce endémique d’Europe, on n’a pas besoin de manipulation supplémentaire.
[1] 0.9992891
[1] 0.0001421756
[1] 0
Figure 262.2: Occurrence de Pistacia lentiscus dans la région d’endémisme.
262.1.2 Licences
On s’intéresse ici au problème particulier des licences :
CC_BY_4_0 CC_BY_NC_4_0 CC0_1_0
42656 20365 236
[1] 67.80593
Figure 262.3: Occurrence de Pistacia lentiscus dans la région d’endémisme, selon la licence : CC BY-NC en bleu ; CC0 et CC BY en orange.
Idéalement, on aimerait avoir au moins 50 % de données vraiment libres
d’utilisation (c’est-à-dire sans la clause -NC). On continue en supprimant les
données en CC BY-NC.
[1] 42892
262.1.3 Sous-échantillonnage
Si le jeu de données contient 25 000 occurrences ou plus, on procède au sous-échantillonnage aléatoire pour en conserver un maximum de 25 000.
Simple feature collection with 25000 features and 50 fields
Attribute-geometry relationships: constant (50)
Geometry type: POINT
Dimension: XY
Bounding box: xmin: -9.692717 ymin: 31.26954 xmax: 46.493 ymax: 51.08793
Geodetic CRS: WGS 84
# A tibble: 25,000 × 51
gbifID datasetKey occurrenceID kingdom phylum class order family genus
<int64> <chr> <chr> <chr> <chr> <chr> <chr> <chr> <chr>
1 3959316815 14d5676a-2c5… q-102825744… Plantae Trach… Magn… Sapi… Anaca… Pist…
2 2974751832 14d5676a-2c5… q-101433739… Plantae Trach… Magn… Sapi… Anaca… Pist…
3 3848100137 23f9546d-6ad… 28fdde32-28… Plantae Trach… Magn… Sapi… Anaca… Pist…
4 3848065222 23f9546d-6ad… 28b5667e-fa… Plantae Trach… Magn… Sapi… Anaca… Pist…
5 1117417693 75956ee6-1a2… http://flor… Plantae Trach… Magn… Sapi… Anaca… Pist…
6 3952405123 14d5676a-2c5… q-102419492… Plantae Trach… Magn… Sapi… Anaca… Pist…
7 2978196567 14d5676a-2c5… q-102137308… Plantae Trach… Magn… Sapi… Anaca… Pist…
8 3942231854 7226d0e6-149… 16b5cf09-de… Plantae Trach… Magn… Sapi… Anaca… Pist…
9 1117283270 75956ee6-1a2… http://flor… Plantae Trach… Magn… Sapi… Anaca… Pist…
10 3352560327 b5cdf794-8fa… http://cold… Plantae Trach… Magn… Sapi… Anaca… Pist…
# ℹ 24,990 more rows
# ℹ 42 more variables: species <chr>, infraspecificEpithet <chr>,
# taxonRank <chr>, scientificName <chr>, verbatimScientificName <chr>,
# verbatimScientificNameAuthorship <chr>, countryCode <chr>, locality <chr>,
# stateProvince <chr>, occurrenceStatus <chr>, individualCount <int>,
# publishingOrgKey <chr>, decimalLatitude <dbl>, decimalLongitude <dbl>,
# coordinateUncertaintyInMeters <dbl>, coordinatePrecision <dbl>, …
262.2 Modélisation de la niche climatique
262.2.1 Préparer les données
Organisation des données d’entrées (occurrences et données environnementales) et des données produites de pseudo-absences :
class : SpatVector
geometry : points
dimensions : 25000, 0 (geometries, attributes)
extent : -9.692717, 46.493, 31.26954, 51.08793 (xmin, xmax, ymin, ymax)
coord. ref. : lon/lat WGS 84 (EPSG:4326)
-=-=-=-=-=-=-=-=-=-=-=-=-=-=-= pile Data Formating -=-=-=-=-=-=-=-=-=-=-=-=-=-=-=
! Response variable is considered as only presences... Is it really what you want?
! No data has been set aside for modeling evaluation
!!! Some data are located in the same raster cell.
Please set `filter.raster = TRUE` if you want an automatic filtering.
Checking Pseudo-absence selection arguments...
> random pseudo absences selection
> Pseudo absences are selected in explanatory variables
! Some NAs have been automatically removed from your data
!!! Some data are located in the same raster cell.
Please set `filter.raster = TRUE` if you want an automatic filtering.
-=-=-=-=-=-=-=-=-=-=-=-=-=-=-=-=-=-= Done -=-=-=-=-=-=-=-=-=-=-=-=-=-=-=-=-=-=
-=-=-=-=-=-=-=-=-=-=-=-=-=-= BIOMOD.formated.data -=-=-=-=-=-=-=-=-=-=-=-=-=-=
dir.name = Output
sp.name = pile
24192 presences, 0 true absences and 72899 undefined points in dataset
6 explanatory variables
temp_max_august temp_min temp_wet_quart temp_season
Min. : 0.084 Min. :-24.584 Min. :-13.55 Min. : 0.0
1st Qu.:20.912 1st Qu.: -8.752 1st Qu.: 10.44 1st Qu.: 571.1
Median :26.748 Median : -0.660 Median : 13.09 Median : 717.4
Mean :26.091 Mean : -2.653 Mean : 12.70 Mean : 740.7
3rd Qu.:29.644 3rd Qu.: 4.112 3rd Qu.: 15.92 3rd Qu.: 895.5
Max. :45.580 Max. : 12.300 Max. : 25.65 Max. :1386.3
prec_wet_quart prec_season
Min. : 3.0 Min. : 4.688
1st Qu.: 176.0 1st Qu.: 29.052
Median : 217.0 Median : 35.681
Mean : 219.3 Mean : 41.413
3rd Qu.: 261.0 3rd Qu.: 48.588
Max. :1245.0 Max. :123.066
-=-=-=-=-=-=-=-=-=-=-=-=-=-=-=-=-=-=-=-=-=-=-=-=-=-=-=-=-=-=-=-=-=-=-=-=-=-=-=-=
On visualise les pseudo-absences :
Figure 262.5: Les données d’occurrences (en haut à gauche) et les trois jeux de données aléatoires de pseudo-absences.
$data.vect
class : SpatVector
geometry : points
dimensions : 171768, 2 (geometries, attributes)
extent : -10.5625, 46.97917, 29.02083, 70.97917 (xmin, xmax, ymin, ymax)
coord. ref. :
names : resp dataset
type : <num> <chr>
values : 10 Initial dataset
10 Initial dataset
10 Initial dataset
$data.label
9 10
"**Presences**" "Presences (calibration)"
11 12
"Presences (validation)" "Presences (evaluation)"
19 20
"**True Absences**" "True Absences (calibration)"
21 22
"True Absences (validation)" "True Absences (evaluation)"
29 30
"**Pseudo-Absences**" "Pseudo-Absences (calibration)"
31 1
"Pseudo-Absences (validation)" "Background"
$data.plot
Figure 262.6: Les données d’occurrences (en haut à gauche) et les trois jeux de données aléatoires de pseudo-absences.
262.2.2 Modèles individuels de niche
-=-=-=-=-=-=-=-=-=-=-=-=-=-=-= Build Single Models -=-=-=-=-=-=-=-=-=-=-=-=-=-=-=
Checking Models arguments...
Creating suitable Workdir...
! Weights where automatically defined for pile_PA1 to rise a 0.5 prevalence !
! Weights where automatically defined for pile_PA2 to rise a 0.5 prevalence !
! Weights where automatically defined for pile_PA3 to rise a 0.5 prevalence !
-=-=-=-=-=-=-=-=-=-=-=-=-=-= pile Modeling Summary -=-=-=-=-=-=-=-=-=-=-=-=-=-=
6 environmental variables ( temp_max_august temp_min temp_wet_quart temp_season prec_wet_quart prec_season )
Number of evaluation repetitions : 1
Models selected : GAM MARS MAXNET GBM ANN RF
Total number of model runs: 18
-=-=-=-=-=-=-=-=-=-=-=-=-=-=-=-=-=-=-=-=-=-=-=-=-=-=-=-=-=-=-=-=-=-=-=-=-=-=-=-=
-=-=-=- Run : pile_PA1
-=-=-=--=-=-=- pile_PA1_RUN1
-=-=-=- Run : pile_PA2
-=-=-=--=-=-=- pile_PA2_RUN1
-=-=-=- Run : pile_PA3
-=-=-=--=-=-=- pile_PA3_RUN1
-=-=-=-=-=-=-=-=-=-=-=-=-=-=-=-=-=-= Done -=-=-=-=-=-=-=-=-=-=-=-=-=-=-=-=-=-=
262.2.2.1 Évaluation de la performance
full.name PA run algo metric.eval cutoff sensitivity
1 pile_PA1_RUN1_GAM PA1 RUN1 GAM TSS 980.0 98.285
2 pile_PA1_RUN1_GAM PA1 RUN1 GAM ROC 973.5 98.450
3 pile_PA1_RUN1_MARS PA1 RUN1 MARS TSS 524.0 96.843
4 pile_PA1_RUN1_MARS PA1 RUN1 MARS ROC 475.5 97.272
5 pile_PA1_RUN1_MAXNET PA1 RUN1 MAXNET TSS 330.0 97.282
6 pile_PA1_RUN1_MAXNET PA1 RUN1 MAXNET ROC 329.5 97.282
specificity calibration validation evaluation
1 72.650 0.710 0.706 NA
2 72.560 0.849 0.844 NA
3 94.585 0.914 0.922 NA
4 94.170 0.990 0.991 NA
5 93.990 0.912 0.918 NA
6 93.990 0.990 0.990 NA
Figure 262.7: Évaluation de la performance des modèles individuels : True Skill Statistic & aire sous la courbe de ROC.
262.2.2.2 Importance des variables environnementales
full.name PA run algo expl.var rand var.imp
1 pile_PA1_RUN1_GAM PA1 RUN1 GAM temp_max_august 1 0.311815
2 pile_PA1_RUN1_GAM PA1 RUN1 GAM temp_min 1 0.267467
3 pile_PA1_RUN1_GAM PA1 RUN1 GAM temp_wet_quart 1 0.024905
4 pile_PA1_RUN1_GAM PA1 RUN1 GAM temp_season 1 0.168168
5 pile_PA1_RUN1_GAM PA1 RUN1 GAM prec_wet_quart 1 0.003757
6 pile_PA1_RUN1_GAM PA1 RUN1 GAM prec_season 1 0.049393
Figure 262.8: Pourcentage de variance expliquée pour chaque variable, décomposé par algorithme.
Figure 262.9: Pourcentage de variance expliquée pour chaque variable, décomposé par variable.
262.2.3 Modèles d’ensemble de niche
Seulement modèles avec TSS > 0.8
-=-=-=-=-=-=-=-=-=-=-=-=-= BIOMOD.ensemble.models.out -=-=-=-=-=-=-=-=-=-=-=-=-=
sp.name : pile
expl.var.names : temp_max_august temp_min temp_wet_quart temp_season
prec_wet_quart prec_season
models computed:
pile_EMcvByTSS_mergedData_mergedRun_mergedAlgo, pile_EMwmeanByTSS_mergedData_mergedRun_mergedAlgo
models failed: none
-=-=-=-=-=-=-=-=-=-=-=-=-=-=-=-=-=-=-=-=-=-=-=-=-=-=-=-=-=-=-=-=-=-=-=-=-=-=-=-=
262.2.3.1 Évaluation de la qualité
full.name merged.by.PA merged.by.run
1 pile_EMwmeanByTSS_mergedData_mergedRun_mergedAlgo mergedData mergedRun
2 pile_EMwmeanByTSS_mergedData_mergedRun_mergedAlgo mergedData mergedRun
merged.by.algo filtered.by algo metric.eval cutoff sensitivity specificity
1 mergedAlgo TSS EMwmean TSS 485.0 97.966 95.997
2 mergedAlgo TSS EMwmean ROC 487.5 97.954 96.018
calibration validation evaluation
1 0.940 NA NA
2 0.997 NA NA
Figure 262.11: Évaluation de la qualité du modèle d’ensemble : Aire sous la courbe de ROC & True Skill Statistic.
full.name merged.by.PA merged.by.run
1 pile_EMcvByTSS_mergedData_mergedRun_mergedAlgo mergedData mergedRun
2 pile_EMcvByTSS_mergedData_mergedRun_mergedAlgo mergedData mergedRun
3 pile_EMcvByTSS_mergedData_mergedRun_mergedAlgo mergedData mergedRun
4 pile_EMcvByTSS_mergedData_mergedRun_mergedAlgo mergedData mergedRun
5 pile_EMcvByTSS_mergedData_mergedRun_mergedAlgo mergedData mergedRun
6 pile_EMcvByTSS_mergedData_mergedRun_mergedAlgo mergedData mergedRun
merged.by.algo filtered.by algo expl.var rand var.imp
1 mergedAlgo TSS EMcv temp_max_august 1 0.205798
2 mergedAlgo TSS EMcv temp_min 1 0.448798
3 mergedAlgo TSS EMcv temp_wet_quart 1 0.077223
4 mergedAlgo TSS EMcv temp_season 1 0.128435
5 mergedAlgo TSS EMcv prec_wet_quart 1 0.189259
6 mergedAlgo TSS EMcv prec_season 1 0.085959
Par variable :
Figure 262.12: Pourcentage de variance expliquée par variable dans le modèle d’ensemble.
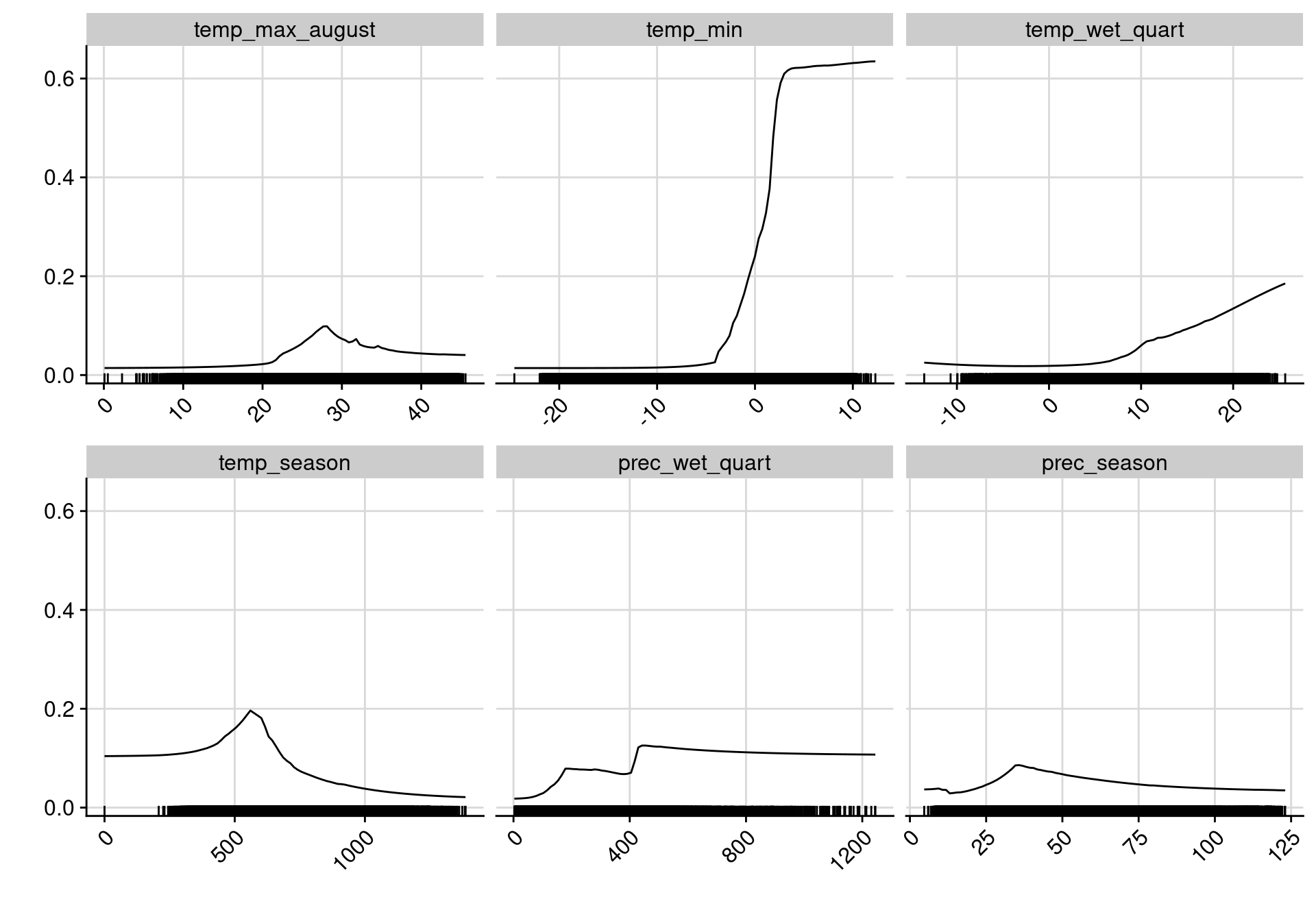
Figure 262.13: Courbes de réponse de chaque variable climatique dans le modèle d’ensemble.
262.3 Projections
262.3.1 Distribution potentielle contemporaine
Contemporaine : Cartographie des observations sur couches climatiques Extraction des conditions climatiques favorables
-=-=-=-=-=-=-=-=-=-=-=-=-=-= BIOMOD.projection.out -=-=-=-=-=-=-=-=-=-=-=-=-=-=
Projection directory : Output/pile/current
sp.name : pile
expl.var.names : temp_max_august temp_min temp_wet_quart temp_season
prec_wet_quart prec_season
modeling.id : AllModels ( Output/pile/pile.AllModels.models.out )
models.projected :
pile_PA1_RUN1_GAM, pile_PA1_RUN1_MARS, pile_PA1_RUN1_MAXNET, pile_PA1_RUN1_GBM, pile_PA1_RUN1_RF, pile_PA2_RUN1_GAM, pile_PA2_RUN1_MARS, pile_PA2_RUN1_MAXNET, pile_PA2_RUN1_GBM, pile_PA2_RUN1_ANN, pile_PA2_RUN1_RF, pile_PA3_RUN1_GAM, pile_PA3_RUN1_MARS, pile_PA3_RUN1_MAXNET, pile_PA3_RUN1_GBM, pile_PA3_RUN1_RF
available binary projection : TSS, ROC
available filtered projection : TSS, ROC
-=-=-=-=-=-=-=-=-=-=-=-=-=-=-=-=-=-=-=-=-=-=-=-=-=-=-=-=-=-=-=-=-=-=-=-=-=-=-=-=
Figure 262.14: Projection de la distribution potentielle contemporaine sur l’Europe, selon les 6 algorithmes et les 3 runs.
Figure 262.15: Projection de la distribution potentielle contemporaine sur l’Europe, selon les 6 algorithmes et les 3 runs.
-=-=-=-=-=-=-=-=-=-=-=-=-=-= BIOMOD.projection.out -=-=-=-=-=-=-=-=-=-=-=-=-=-=
Projection directory : Output/pile/current
sp.name : pile
expl.var.names : temp_max_august temp_min temp_wet_quart temp_season
prec_wet_quart prec_season
modeling.id : AllModels ( Output/pile/pile.AllModels.ensemble.models.out )
models.projected :
pile_EMcvByTSS_mergedData_mergedRun_mergedAlgo, pile_EMwmeanByTSS_mergedData_mergedRun_mergedAlgo
-=-=-=-=-=-=-=-=-=-=-=-=-=-=-=-=-=-=-=-=-=-=-=-=-=-=-=-=-=-=-=-=-=-=-=-=-=-=-=-=
Figure 262.16: A) Projection de la distribution potentielle contemporaine (modèle d’ensemble) ; B) Incertitude associée à la projection.
262.3.2 Interpolation à l’échelle de la métropole
- → conditions climatiques favorables à fine échelle
On projette la niche climatique sur ce raster à fine échelle.
-=-=-=-=-=-=-=-=-=-=-=-=-=-= BIOMOD.projection.out -=-=-=-=-=-=-=-=-=-=-=-=-=-=
Projection directory : Output/pile/cont_gre
sp.name : pile
expl.var.names : temp_max_august temp_min temp_wet_quart temp_season
prec_wet_quart prec_season
modeling.id : AllModels ( Output/pile/pile.AllModels.models.out )
models.projected :
pile_PA1_RUN1_GAM, pile_PA1_RUN1_MARS, pile_PA1_RUN1_MAXNET, pile_PA1_RUN1_GBM, pile_PA1_RUN1_RF, pile_PA2_RUN1_GAM, pile_PA2_RUN1_MARS, pile_PA2_RUN1_MAXNET, pile_PA2_RUN1_GBM, pile_PA2_RUN1_ANN, pile_PA2_RUN1_RF, pile_PA3_RUN1_GAM, pile_PA3_RUN1_MARS, pile_PA3_RUN1_MAXNET, pile_PA3_RUN1_GBM, pile_PA3_RUN1_RF
available binary projection : TSS, ROC
available filtered projection : TSS, ROC
-=-=-=-=-=-=-=-=-=-=-=-=-=-=-=-=-=-=-=-=-=-=-=-=-=-=-=-=-=-=-=-=-=-=-=-=-=-=-=-=
Figure 262.17: Projection de la distribution potentielle contemporaine sur la métropole de Grenoble, selon les 6 algorithmes et les 3 runs.
Figure 262.18: Projection de la distribution potentielle contemporaine sur la métropole de Grenoble, selon les 6 algorithmes et les 3 runs.
-=-=-=-=-=-=-=-=-=-=-=-=-=-= BIOMOD.projection.out -=-=-=-=-=-=-=-=-=-=-=-=-=-=
Projection directory : Output/pile/cont_gre
sp.name : pile
expl.var.names : temp_max_august temp_min temp_wet_quart temp_season
prec_wet_quart prec_season
modeling.id : AllModels ( Output/pile/pile.AllModels.ensemble.models.out )
models.projected :
pile_EMcvByTSS_mergedData_mergedRun_mergedAlgo, pile_EMwmeanByTSS_mergedData_mergedRun_mergedAlgo
-=-=-=-=-=-=-=-=-=-=-=-=-=-=-=-=-=-=-=-=-=-=-=-=-=-=-=-=-=-=-=-=-=-=-=-=-=-=-=-=
Figure 262.19: A) Projection de la distribution potentielle contemporaine (modèle d’ensemble) sur la métropole de Grenoble ; B) Incertitude associée à la projection.
262.3.3 Distributions potentielles futures
Futur : Projection à l’échelle de l’Europe jusqu’à l’horizon 2100
Toutes les fenêtres temporelles × scénarios pour le GCM « IPSL-CM6A-LR »
- SSP1-2.6




Figure 262.20: Projection des distributions potentielles futures jusqu’à l’horizon 2100 sous le scénario SSP1-2.6 (modèle d’ensemble).
On obtient pour la métrique TSS une carte unique de moyenne pondérée sur les algorithmes et sur les jeux de pseudo-absences.
- SSP2-4.5




Figure 262.21: Projection des distributions potentielles futures jusqu’à l’horizon 2100 sous le scénario SSP2-4.5 (modèle d’ensemble).
- SSP3-7.0




Figure 262.22: Projection des distributions potentielles futures jusqu’à l’horizon 2100 sous le scénario SSP3-7.0 (modèle d’ensemble).
- SSP5-8.5




Figure 262.23: Projection des distributions potentielles futures jusqu’à l’horizon 2100 sous le scénario SSP5-8.5 (modèle d’ensemble).
262.4 Inférence à l’échelle de la métropole
- Croisement avec températures de surface 2019 (fournie par la métropole)
- → conditions climatiques favorables à fine échelle
- à peu près 7 pixels × 9 (WorldClim)
262.4.1 Distributions potentielles futures
Même chose que précédemment mais sur les rasters de Grenoble
- SSP1-2.6




Figure 262.24: Projection des distributions potentielles contemporaine et futures jusqu’à l’horizon 2100 sous le scénario SSP5-8.5 (modèle d’ensemble, GCM IPSL).
- SSP2-4.5




Figure 262.25: Projection des distributions potentielles contemporaine et futures jusqu’à l’horizon 2100 sous le scénario SSP5-8.5 (modèle d’ensemble, GCM IPSL).
- SSP3-7.0




Figure 262.26: Projection des distributions potentielles contemporaine et futures jusqu’à l’horizon 2100 sous le scénario SSP5-8.5 (modèle d’ensemble, GCM IPSL).
- SSP5-8.5




Figure 262.27: Projection des distributions potentielles contemporaine et futures jusqu’à l’horizon 2100 sous le scénario SSP5-8.5 (modèle d’ensemble, GCM IPSL).
262.4.2 Évolution temporelle
# A tibble: 17 × 8
min q1 median mean q3 max ssp year
<table[1d]> <table[1d]> <table[1d]> <table[1d]> <table[1d]> <tab> <fct> <dbl>
1 15 23 47 59.34668 101 148 0 2000
2 17 115 170 169.86138 237 402 126 2040
3 18 141 224 212.36012 276 485 126 2060
4 19 150 235 223.49612 284 502 126 2080
5 25 155 254 234.27023 298 550 126 2100
6 19 130 193 189.83201 246 390 245 2040
7 21 154 227 223.24324 285 484 245 2060
8 80 224 293 306.67926 381 617 245 2080
9 98 238 318 347.15906 477 640 245 2100
10 17 100 158 151.02737 203 346 370 2040
11 29 187 259 255.16128 321 578 370 2060
12 81 243 334 364.21920 512 653 370 2080
13 153 223 345 363.46057 498 634 370 2100
14 17 126 190 185.40698 249 415 585 2040
15 41 221 293 309.69489 390 619 585 2060
16 136 221 345 364.24035 504 628 585 2080
17 152 202 283 295.55350 367 610 585 2100
Figure 262.28: Évolution de la favorabilité climatique au cours du XXIème siècle. Le point représente la médiane sur l’étendue de la métropole (i.e. tous les pixels de la carte) ; le trait gras représente 50 % des données intermédiaires (espace inter-quartile) ; le trait fin représente le reste des données du minimum au maximum.