242 Catalpa speciosa
242.1 Données d’occurrences GBIF
Collecte des données du GBIF :
<<gbif download metadata>>
Status: SUCCEEDED
DOI: 10.15468/dl.dvjkgv
Format: SIMPLE_CSV
Download key: 0013533-230828120925497
Created: 2023-09-11T17:59:42.816+00:00
Modified: 2023-09-11T18:00:28.138+00:00
Download link: https://api.gbif.org/v1/occurrence/download/request/0013533-230828120925497.zip
Total records: 2475
Conversion en objets géographiques (format Simple feature de sf) et
exploration rapide des données (classe du jeu de données et premières lignes du
tableau) :
Simple feature collection with 2434 features and 50 fields
Attribute-geometry relationships: constant (50)
Geometry type: POINT
Dimension: XY
Bounding box: xmin: -124.286737 ymin: -40.223793 xmax: 175.58067 ymax: 63.434
Geodetic CRS: WGS 84
# A tibble: 2,434 × 51
gbifID datasetKey occurrenceID kingdom phylum class order family genus species infraspecificEpithet
* <int64> <chr> <chr> <chr> <chr> <chr> <chr> <chr> <chr> <chr> <lgl>
1 3.e9 5f06e39d-… USFS - New … Plantae Trach… Magn… Lami… Bigno… Cata… Catalp… NA
2 3.e9 5f06e39d-… USFS - New … Plantae Trach… Magn… Lami… Bigno… Cata… Catalp… NA
3 3.e9 5f06e39d-… USFS - New … Plantae Trach… Magn… Lami… Bigno… Cata… Catalp… NA
4 3.e9 5f06e39d-… USFS - New … Plantae Trach… Magn… Lami… Bigno… Cata… Catalp… NA
5 3.e9 5f06e39d-… USFS - New … Plantae Trach… Magn… Lami… Bigno… Cata… Catalp… NA
6 3.e9 5f06e39d-… USFS - New … Plantae Trach… Magn… Lami… Bigno… Cata… Catalp… NA
7 3.e9 5f06e39d-… USFS - New … Plantae Trach… Magn… Lami… Bigno… Cata… Catalp… NA
8 3.e9 5f06e39d-… USFS - New … Plantae Trach… Magn… Lami… Bigno… Cata… Catalp… NA
9 3.e9 5f06e39d-… USFS - New … Plantae Trach… Magn… Lami… Bigno… Cata… Catalp… NA
10 3.e9 5f06e39d-… USFS - New … Plantae Trach… Magn… Lami… Bigno… Cata… Catalp… NA
# ℹ 2,424 more rows
# ℹ 40 more variables: taxonRank <chr>, scientificName <chr>, verbatimScientificName <chr>,
# verbatimScientificNameAuthorship <chr>, countryCode <chr>, locality <chr>, stateProvince <chr>,
# occurrenceStatus <chr>, individualCount <int>, publishingOrgKey <chr>, decimalLatitude <dbl>,
# decimalLongitude <dbl>, coordinateUncertaintyInMeters <dbl>, coordinatePrecision <dbl>,
# elevation <dbl>, elevationAccuracy <dbl>, depth <lgl>, depthAccuracy <lgl>, eventDate <dttm>,
# day <int>, month <int>, year <int>, taxonKey <int>, speciesKey <int>, basisOfRecord <chr>, …
Il y a 2 434 occurrences dans le jeu de données. On les affiche sur la carte du monde :
Figure 242.1: Occurrences de Catalpa speciosa dans le monde.
242.1.1 Données par région
On évalue la proportion d’occurrences dans chaque région, en utilisant les 3 masques créés précédemment. Si on a au moins 50 % des occurrences dans une région, on peut continuer en travaillant uniquement sur ces données. Sinon, on vérifie qu’au moins 67 % des données tombent dans l’ensemble des régions, et on prend la région la plus représentée. Au final, s’il s’agit d’une espèce endémique d’Europe, on n’a pas besoin de manipulation supplémentaire.
[1] 0.0160230074
[1] 0.9823336072
[1] 0.0004108463435
Figure 242.2: Occurrence de Catalpa speciosa dans la région d’endémisme.
242.1.2 Licences
On s’intéresse ici au problème particulier des licences :
CC_BY_4_0 CC_BY_NC_4_0 CC0_1_0
305 1781 305
[1] 25.51233793
Figure 242.3: Occurrence de Catalpa speciosa dans la région d’endémisme, selon la licence : CC BY-NC en bleu ; CC0 et CC BY en orange.
Idéalement, on aimerait avoir au moins 50 % de données vraiment libres
d’utilisation (c’est-à-dire sans la clause -NC). On continue en supprimant les
données en CC BY-NC.
[1] 610
242.1.3 Sous-échantillonnage
Si le jeu de données contient 25 000 occurrences ou plus, on procède au sous-échantillonnage aléatoire pour en conserver un maximum de 25 000.
Simple feature collection with 610 features and 50 fields
Attribute-geometry relationships: constant (50)
Geometry type: POINT
Dimension: XY
Bounding box: xmin: -123.281377 ymin: 29.69898 xmax: -71.043314 ymax: 46.6
Geodetic CRS: WGS 84
# A tibble: 610 × 51
gbifID datasetKey occurrenceID kingdom phylum class order family genus species infraspecificEpithet
<int64> <chr> <chr> <chr> <chr> <chr> <chr> <chr> <chr> <chr> <lgl>
1 3.e9 5f06e39d-… USFS - New … Plantae Trach… Magn… Lami… Bigno… Cata… Catalp… NA
2 3.e9 5f06e39d-… USFS - New … Plantae Trach… Magn… Lami… Bigno… Cata… Catalp… NA
3 3.e9 5f06e39d-… USFS - New … Plantae Trach… Magn… Lami… Bigno… Cata… Catalp… NA
4 3.e9 5f06e39d-… USFS - New … Plantae Trach… Magn… Lami… Bigno… Cata… Catalp… NA
5 3.e9 5f06e39d-… USFS - New … Plantae Trach… Magn… Lami… Bigno… Cata… Catalp… NA
6 3.e9 5f06e39d-… USFS - New … Plantae Trach… Magn… Lami… Bigno… Cata… Catalp… NA
7 3.e9 5f06e39d-… USFS - New … Plantae Trach… Magn… Lami… Bigno… Cata… Catalp… NA
8 3.e9 5f06e39d-… USFS - New … Plantae Trach… Magn… Lami… Bigno… Cata… Catalp… NA
9 3.e9 5f06e39d-… USFS - New … Plantae Trach… Magn… Lami… Bigno… Cata… Catalp… NA
10 3.e9 5f06e39d-… USFS - New … Plantae Trach… Magn… Lami… Bigno… Cata… Catalp… NA
# ℹ 600 more rows
# ℹ 40 more variables: taxonRank <chr>, scientificName <chr>, verbatimScientificName <chr>,
# verbatimScientificNameAuthorship <chr>, countryCode <chr>, locality <chr>, stateProvince <chr>,
# occurrenceStatus <chr>, individualCount <int>, publishingOrgKey <chr>, decimalLatitude <dbl>,
# decimalLongitude <dbl>, coordinateUncertaintyInMeters <dbl>, coordinatePrecision <dbl>,
# elevation <dbl>, elevationAccuracy <dbl>, depth <lgl>, depthAccuracy <lgl>, eventDate <dttm>,
# day <int>, month <int>, year <int>, taxonKey <int>, speciesKey <int>, basisOfRecord <chr>, …
242.2 Modélisation de la niche climatique
242.2.1 Préparer les données
Organisation des données d’entrées (occurrences et données environnementales) et des données produites de pseudo-absences :
class : SpatVector
geometry : points
dimensions : 610, 0 (geometries, attributes)
extent : -123.281377, -71.043314, 29.69898, 46.6 (xmin, xmax, ymin, ymax)
coord. ref. : lon/lat WGS 84 (EPSG:4326)
-=-=-=-=-=-=-=-=-=-=-=-=-=-=-=-=-=-=-=-=-= casp Data Formating -=-=-=-=-=-=-=-=-=-=-=-=-=-=-=-=-=-=-=-=-=
! Response variable is considered as only presences... Is it really what you want?
! No data has been set aside for modeling evaluation
!!! Some data are located in the same raster cell.
Please set `filter.raster = TRUE` if you want an automatic filtering.
Checking Pseudo-absence selection arguments...
> random pseudo absences selection
> Pseudo absences are selected in explanatory variables
!!! Some data are located in the same raster cell.
Please set `filter.raster = TRUE` if you want an automatic filtering.
-=-=-=-=-=-=-=-=-=-=-=-=-=-=-=-=-=-=-=-=-=-=-=-= Done -=-=-=-=-=-=-=-=-=-=-=-=-=-=-=-=-=-=-=-=-=-=-=-=
-=-=-=-=-=-=-=-=-=-=-=-=-=-=-=-=-=-=-=-= BIOMOD.formated.data -=-=-=-=-=-=-=-=-=-=-=-=-=-=-=-=-=-=-=-=
dir.name = Output
sp.name = casp
610 presences, 0 true absences and 1828 undefined points in dataset
6 explanatory variables
temp_max_august temp_min temp_wet_quart temp_season prec_wet_quart
Min. :14.10400 Min. :-30.628000 Min. :-9.152667 Min. : 63.03181 Min. : 27.0000
1st Qu.:24.43000 1st Qu.:-14.539000 1st Qu.:11.802167 1st Qu.: 777.79372 1st Qu.: 226.0000
Median :28.15600 Median : -8.100000 Median :17.532666 Median : 907.20886 Median : 299.0000
Mean :27.62951 Mean : -8.336887 Mean :16.057640 Mean : 894.41781 Mean : 310.7982
3rd Qu.:31.44300 3rd Qu.: -2.842000 3rd Qu.:21.912167 3rd Qu.:1053.66183 3rd Qu.: 337.0000
Max. :44.85200 Max. : 20.931999 Max. :32.972000 Max. :1452.63916 Max. :1559.0000
prec_season
Min. : 5.534999
1st Qu.: 17.668276
Median : 32.689560
Mean : 38.945541
3rd Qu.: 55.801466
Max. :130.919312
-=-=-=-=-=-=-=-=-=-=-=-=-=-=-=-=-=-=-=-=-=-=-=-=-=-=-=-=-=-=-=-=-=-=-=-=-=-=-=-=-=-=-=-=-=-=-=-=-=-=-=-=
On visualise les pseudo-absences :
Figure 242.5: Les données d’occurrences (en haut à gauche) et les trois jeux de données aléatoires de pseudo-absences.
$data.vect
class : SpatVector
geometry : points
dimensions : 4270, 2 (geometries, attributes)
extent : -129.6041667, -53.89583333, 13.0625, 54.97916667 (xmin, xmax, ymin, ymax)
coord. ref. :
names : resp dataset
type : <num> <chr>
values : 10 Initial dataset
10 Initial dataset
10 Initial dataset
$data.label
9 10 11
"**Presences**" "Presences (calibration)" "Presences (validation)"
12 19 20
"Presences (evaluation)" "**True Absences**" "True Absences (calibration)"
21 22 29
"True Absences (validation)" "True Absences (evaluation)" "**Pseudo-Absences**"
30 31 1
"Pseudo-Absences (calibration)" "Pseudo-Absences (validation)" "Background"
$data.plot
Figure 242.6: Les données d’occurrences (en haut à gauche) et les trois jeux de données aléatoires de pseudo-absences.
242.2.2 Modèles individuels de niche
-=-=-=-=-=-=-=-=-=-=-=-=-=-=-=-=-=-=-=-=-= Build Single Models -=-=-=-=-=-=-=-=-=-=-=-=-=-=-=-=-=-=-=-=-=
Checking Models arguments...
Creating suitable Workdir...
! Weights where automatically defined for casp_PA1 to rise a 0.5 prevalence !
! Weights where automatically defined for casp_PA2 to rise a 0.5 prevalence !
! Weights where automatically defined for casp_PA3 to rise a 0.5 prevalence !
-=-=-=-=-=-=-=-=-=-=-=-=-=-=-=-=-=-=-=-= casp Modeling Summary -=-=-=-=-=-=-=-=-=-=-=-=-=-=-=-=-=-=-=-=
6 environmental variables ( temp_max_august temp_min temp_wet_quart temp_season prec_wet_quart prec_season )
Number of evaluation repetitions : 1
Models selected : GAM MARS MAXNET GBM ANN RF
Total number of model runs: 18
-=-=-=-=-=-=-=-=-=-=-=-=-=-=-=-=-=-=-=-=-=-=-=-=-=-=-=-=-=-=-=-=-=-=-=-=-=-=-=-=-=-=-=-=-=-=-=-=-=-=-=-=
-=-=-=- Run : casp_PA1
-=-=-=--=-=-=- casp_PA1_RUN1
-=-=-=- Run : casp_PA2
-=-=-=--=-=-=- casp_PA2_RUN1
-=-=-=- Run : casp_PA3
-=-=-=--=-=-=- casp_PA3_RUN1
-=-=-=-=-=-=-=-=-=-=-=-=-=-=-=-=-=-=-=-=-=-=-=-= Done -=-=-=-=-=-=-=-=-=-=-=-=-=-=-=-=-=-=-=-=-=-=-=-=
242.2.2.1 Évaluation de la performance
full.name PA run algo metric.eval cutoff sensitivity specificity calibration
1 casp_PA1_RUN1_GAM PA1 RUN1 GAM TSS 530 97.951 61.680 0.596
2 casp_PA1_RUN1_GAM PA1 RUN1 GAM ROC 541 97.951 61.885 0.740
3 casp_PA1_RUN1_MARS PA1 RUN1 MARS TSS 549 87.090 85.451 0.727
4 casp_PA1_RUN1_MARS PA1 RUN1 MARS ROC 522 87.705 85.041 0.942
5 casp_PA1_RUN1_MAXNET PA1 RUN1 MAXNET TSS 369 92.213 82.582 0.750
6 casp_PA1_RUN1_MAXNET PA1 RUN1 MAXNET ROC 371 92.213 82.787 0.944
validation evaluation
1 0.639 NA
2 0.777 NA
3 0.738 NA
4 0.933 NA
5 0.770 NA
6 0.948 NA
Figure 242.7: Évaluation de la performance des modèles individuels : True Skill Statistic & aire sous la courbe de ROC.
242.2.2.2 Importance des variables environnementales
full.name PA run algo expl.var rand var.imp
1 casp_PA1_RUN1_GAM PA1 RUN1 GAM temp_max_august 1 0.318293
2 casp_PA1_RUN1_GAM PA1 RUN1 GAM temp_min 1 0.559125
3 casp_PA1_RUN1_GAM PA1 RUN1 GAM temp_wet_quart 1 0.001449
4 casp_PA1_RUN1_GAM PA1 RUN1 GAM temp_season 1 0.203262
5 casp_PA1_RUN1_GAM PA1 RUN1 GAM prec_wet_quart 1 0.051781
6 casp_PA1_RUN1_GAM PA1 RUN1 GAM prec_season 1 0.220892
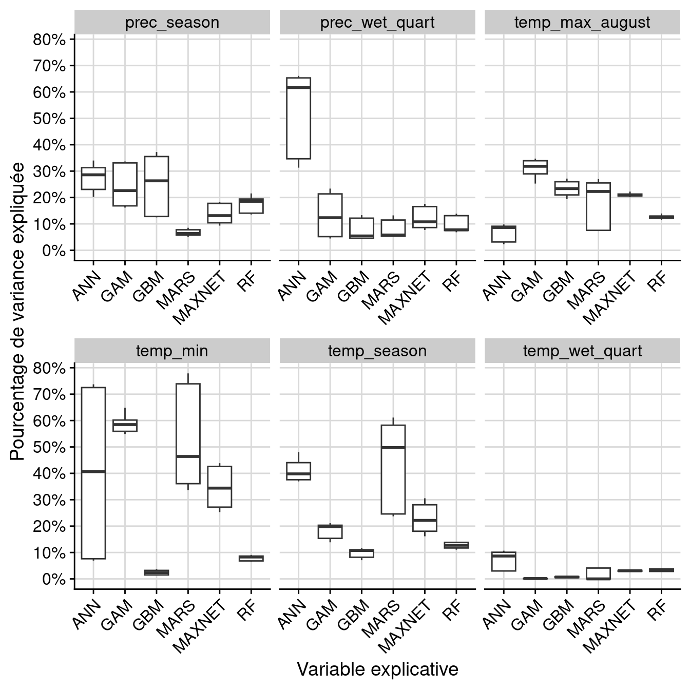
Figure 242.8: Pourcentage de variance expliquée pour chaque variable, décomposé par algorithme.
Figure 242.9: Pourcentage de variance expliquée pour chaque variable, décomposé par variable.
242.2.3 Modèles d’ensemble de niche
Seulement modèles avec TSS > 0.8
-=-=-=-=-=-=-=-=-=-=-=-=-=-=-=-=-=-=-= BIOMOD.ensemble.models.out -=-=-=-=-=-=-=-=-=-=-=-=-=-=-=-=-=-=-=
sp.name : casp
expl.var.names : temp_max_august temp_min temp_wet_quart temp_season prec_wet_quart prec_season
models computed: casp_EMwmeanByTSS_mergedData_mergedRun_mergedAlgo
models failed: casp_EMcvByTSS_mergedData_mergedRun_mergedAlgo
-=-=-=-=-=-=-=-=-=-=-=-=-=-=-=-=-=-=-=-=-=-=-=-=-=-=-=-=-=-=-=-=-=-=-=-=-=-=-=-=-=-=-=-=-=-=-=-=-=-=-=-=
242.2.3.1 Évaluation de la qualité
full.name merged.by.PA merged.by.run merged.by.algo
1 casp_EMwmeanByTSS_mergedData_mergedRun_mergedAlgo mergedData mergedRun mergedAlgo
2 casp_EMwmeanByTSS_mergedData_mergedRun_mergedAlgo mergedData mergedRun mergedAlgo
filtered.by algo metric.eval cutoff sensitivity specificity calibration validation evaluation
1 TSS EMwmean TSS 556 95.902 93.381 0.893 NA NA
2 TSS EMwmean ROC 542 96.066 93.271 0.988 NA NA
Figure 242.11: Évaluation de la qualité du modèle d’ensemble : Aire sous la courbe de ROC & True Skill Statistic.
full.name merged.by.PA merged.by.run merged.by.algo
1 casp_EMwmeanByTSS_mergedData_mergedRun_mergedAlgo mergedData mergedRun mergedAlgo
2 casp_EMwmeanByTSS_mergedData_mergedRun_mergedAlgo mergedData mergedRun mergedAlgo
3 casp_EMwmeanByTSS_mergedData_mergedRun_mergedAlgo mergedData mergedRun mergedAlgo
4 casp_EMwmeanByTSS_mergedData_mergedRun_mergedAlgo mergedData mergedRun mergedAlgo
5 casp_EMwmeanByTSS_mergedData_mergedRun_mergedAlgo mergedData mergedRun mergedAlgo
6 casp_EMwmeanByTSS_mergedData_mergedRun_mergedAlgo mergedData mergedRun mergedAlgo
filtered.by algo expl.var rand var.imp
1 TSS EMwmean temp_max_august 1 0.144958
2 TSS EMwmean temp_min 1 0.095714
3 TSS EMwmean temp_wet_quart 1 0.035671
4 TSS EMwmean temp_season 1 0.117980
5 TSS EMwmean prec_wet_quart 1 0.079957
6 TSS EMwmean prec_season 1 0.196037
Par variable :
Figure 242.12: Pourcentage de variance expliquée par variable dans le modèle d’ensemble.
Figure 242.13: Courbes de réponse de chaque variable climatique dans le modèle d’ensemble.
242.3 Projections
242.3.1 Distribution potentielle contemporaine
Contemporaine : Cartographie des observations sur couches climatiques Extraction des conditions climatiques favorables
-=-=-=-=-=-=-=-=-=-=-=-=-=-=-=-=-=-=-=-= BIOMOD.projection.out -=-=-=-=-=-=-=-=-=-=-=-=-=-=-=-=-=-=-=-=
Projection directory : Output/casp/current
sp.name : casp
expl.var.names : temp_max_august temp_min temp_wet_quart temp_season prec_wet_quart prec_season
modeling.id : AllModels ( Output/casp/casp.AllModels.models.out )
models.projected :
casp_PA1_RUN1_GAM, casp_PA1_RUN1_MARS, casp_PA1_RUN1_MAXNET, casp_PA1_RUN1_GBM, casp_PA1_RUN1_ANN, casp_PA1_RUN1_RF, casp_PA2_RUN1_GAM, casp_PA2_RUN1_MARS, casp_PA2_RUN1_MAXNET, casp_PA2_RUN1_GBM, casp_PA2_RUN1_ANN, casp_PA2_RUN1_RF, casp_PA3_RUN1_GAM, casp_PA3_RUN1_MARS, casp_PA3_RUN1_MAXNET, casp_PA3_RUN1_GBM, casp_PA3_RUN1_ANN, casp_PA3_RUN1_RF
available binary projection : TSS, ROC
available filtered projection : TSS, ROC
-=-=-=-=-=-=-=-=-=-=-=-=-=-=-=-=-=-=-=-=-=-=-=-=-=-=-=-=-=-=-=-=-=-=-=-=-=-=-=-=-=-=-=-=-=-=-=-=-=-=-=-=
Figure 242.14: Projection de la distribution potentielle contemporaine sur l’Europe, selon les 6 algorithmes et les 3 runs.
Figure 242.15: Projection de la distribution potentielle contemporaine sur l’Europe, selon les 6 algorithmes et les 3 runs.
-=-=-=-=-=-=-=-=-=-=-=-=-=-=-=-=-=-=-=-= BIOMOD.projection.out -=-=-=-=-=-=-=-=-=-=-=-=-=-=-=-=-=-=-=-=
Projection directory : Output/casp/current
sp.name : casp
expl.var.names : temp_max_august temp_min temp_wet_quart temp_season prec_wet_quart prec_season
modeling.id : AllModels ( Output/casp/casp.AllModels.ensemble.models.out )
models.projected : casp_EMwmeanByTSS_mergedData_mergedRun_mergedAlgo
-=-=-=-=-=-=-=-=-=-=-=-=-=-=-=-=-=-=-=-=-=-=-=-=-=-=-=-=-=-=-=-=-=-=-=-=-=-=-=-=-=-=-=-=-=-=-=-=-=-=-=-=
Figure 242.16: A) Projection de la distribution potentielle contemporaine (modèle d’ensemble) ; B) Incertitude associée à la projection.
242.3.2 Interpolation à l’échelle de la métropole
- → conditions climatiques favorables à fine échelle
On projette la niche climatique sur ce raster à fine échelle.
-=-=-=-=-=-=-=-=-=-=-=-=-=-=-=-=-=-=-=-= BIOMOD.projection.out -=-=-=-=-=-=-=-=-=-=-=-=-=-=-=-=-=-=-=-=
Projection directory : Output/casp/cont_gre
sp.name : casp
expl.var.names : temp_max_august temp_min temp_wet_quart temp_season prec_wet_quart prec_season
modeling.id : AllModels ( Output/casp/casp.AllModels.models.out )
models.projected :
casp_PA1_RUN1_GAM, casp_PA1_RUN1_MARS, casp_PA1_RUN1_MAXNET, casp_PA1_RUN1_GBM, casp_PA1_RUN1_ANN, casp_PA1_RUN1_RF, casp_PA2_RUN1_GAM, casp_PA2_RUN1_MARS, casp_PA2_RUN1_MAXNET, casp_PA2_RUN1_GBM, casp_PA2_RUN1_ANN, casp_PA2_RUN1_RF, casp_PA3_RUN1_GAM, casp_PA3_RUN1_MARS, casp_PA3_RUN1_MAXNET, casp_PA3_RUN1_GBM, casp_PA3_RUN1_ANN, casp_PA3_RUN1_RF
available binary projection : TSS, ROC
available filtered projection : TSS, ROC
-=-=-=-=-=-=-=-=-=-=-=-=-=-=-=-=-=-=-=-=-=-=-=-=-=-=-=-=-=-=-=-=-=-=-=-=-=-=-=-=-=-=-=-=-=-=-=-=-=-=-=-=
Figure 242.17: Projection de la distribution potentielle contemporaine sur la métropole de Grenoble, selon les 6 algorithmes et les 3 runs.
Figure 242.18: Projection de la distribution potentielle contemporaine sur la métropole de Grenoble, selon les 6 algorithmes et les 3 runs.
-=-=-=-=-=-=-=-=-=-=-=-=-=-=-=-=-=-=-=-= BIOMOD.projection.out -=-=-=-=-=-=-=-=-=-=-=-=-=-=-=-=-=-=-=-=
Projection directory : Output/casp/cont_gre
sp.name : casp
expl.var.names : temp_max_august temp_min temp_wet_quart temp_season prec_wet_quart prec_season
modeling.id : AllModels ( Output/casp/casp.AllModels.ensemble.models.out )
models.projected : casp_EMwmeanByTSS_mergedData_mergedRun_mergedAlgo
-=-=-=-=-=-=-=-=-=-=-=-=-=-=-=-=-=-=-=-=-=-=-=-=-=-=-=-=-=-=-=-=-=-=-=-=-=-=-=-=-=-=-=-=-=-=-=-=-=-=-=-=
Figure 242.19: A) Projection de la distribution potentielle contemporaine (modèle d’ensemble) sur la métropole de Grenoble ; B) Incertitude associée à la projection.
242.3.3 Distributions potentielles futures
Futur : Projection à l’échelle de l’Europe jusqu’à l’horizon 2100
Toutes les fenêtres temporelles × scénarios pour le GCM « IPSL-CM6A-LR »
- SSP1-2.6




Figure 242.20: Projection des distributions potentielles futures jusqu’à l’horizon 2100 sous le scénario SSP1-2.6 (modèle d’ensemble).
On obtient pour la métrique TSS une carte unique de moyenne pondérée sur les algorithmes et sur les jeux de pseudo-absences.
- SSP2-4.5




Figure 242.21: Projection des distributions potentielles futures jusqu’à l’horizon 2100 sous le scénario SSP2-4.5 (modèle d’ensemble).
- SSP3-7.0




Figure 242.22: Projection des distributions potentielles futures jusqu’à l’horizon 2100 sous le scénario SSP3-7.0 (modèle d’ensemble).
- SSP5-8.5




Figure 242.23: Projection des distributions potentielles futures jusqu’à l’horizon 2100 sous le scénario SSP5-8.5 (modèle d’ensemble).
242.4 Inférence à l’échelle de la métropole
- Croisement avec températures de surface 2019 (fournie par la métropole)
- → conditions climatiques favorables à fine échelle
- à peu près 7 pixels × 9 (WorldClim)
242.4.1 Distributions potentielles futures
Même chose que précédemment mais sur les rasters de Grenoble
- SSP1-2.6




Figure 242.24: Projection des distributions potentielles contemporaine et futures jusqu’à l’horizon 2100 sous le scénario SSP5-8.5 (modèle d’ensemble, GCM IPSL).
- SSP2-4.5




Figure 242.25: Projection des distributions potentielles contemporaine et futures jusqu’à l’horizon 2100 sous le scénario SSP5-8.5 (modèle d’ensemble, GCM IPSL).
- SSP3-7.0




Figure 242.26: Projection des distributions potentielles contemporaine et futures jusqu’à l’horizon 2100 sous le scénario SSP5-8.5 (modèle d’ensemble, GCM IPSL).
- SSP5-8.5




Figure 242.27: Projection des distributions potentielles contemporaine et futures jusqu’à l’horizon 2100 sous le scénario SSP5-8.5 (modèle d’ensemble, GCM IPSL).
242.4.2 Évolution temporelle
# A tibble: 17 × 8
min q1 median mean q3 max ssp year
<table[1d]> <table[1d]> <table[1d]> <table[1d]> <table[1d]> <table[1d]> <fct> <dbl>
1 146 256 296 350.4211936 472 668 0 2000
2 156 282 404 413.1321281 524 736 126 2040
3 172 344 432 454.4819061 554 762 126 2060
4 132 320 432 451.2588963 554 794 126 2080
5 148 340 442 464.4499161 574 766 126 2100
6 154 282 414 428.3352181 540 754 245 2040
7 132 386 466 492.1621152 608 790 245 2060
8 198 442 514 530.0641919 644 788 245 2080
9 144 464 532 540.8777772 660 790 245 2100
10 172 286 404 414.4774799 524 732 370 2040
11 146 394 460 490.2272738 596 774 370 2060
12 264 488 534 554.0247664 646 782 370 2080
13 222 546 608 598.4333632 648 888 370 2100
14 126 294 412 427.7563687 532 786 585 2040
15 170 432 508 526.7088786 654 800 585 2060
16 214 542 618 603.8441352 676 888 585 2080
17 320 566 604 637.6504173 722 878 585 2100
Figure 242.28: Évolution de la favorabilité climatique au cours du XXIème siècle. Le point représente la médiane sur l’étendue de la métropole (i.e. tous les pixels de la carte) ; le trait gras représente 50 % des données intermédiaires (espace inter-quartile) ; le trait fin représente le reste des données du minimum au maximum.