45 Aria edulis
45.1 Données d’occurrences GBIF
Collecte des données du GBIF :
<<gbif download metadata>>
Status: SUCCEEDED
DOI: 10.15468/dl.9gyh2b
Format: SIMPLE_CSV
Download key: 0232109-230224095556074
Created: 2023-05-11T07:13:45.446+00:00
Modified: 2023-05-11T07:19:02.507+00:00
Download link: https://api.gbif.org/v1/occurrence/download/request/0232109-230224095556074.zip
Total records: 124995
Conversion en objets géographiques (format Simple feature de sf) et
exploration rapide des données (classe du jeu de données et premières lignes du
tableau) :
Simple feature collection with 124995 features and 50 fields
Attribute-geometry relationship: 50 constant, 0 aggregate, 0 identity
Geometry type: POINT
Dimension: XY
Bounding box: xmin: -16.620789 ymin: -41.45 xmax: 147.15 ymax: 68.2139
Geodetic CRS: WGS 84
# A tibble: 124,995 × 51
gbifID datasetKey occurrenceID kingdom phylum class order family genus species infraspecificEpithet
* <int64> <chr> <chr> <chr> <chr> <chr> <chr> <chr> <chr> <chr> <chr>
1 1e9 75956ee6-… http://flor… Plantae Trach… Magn… Rosa… Rosac… Aria Aria e… ""
2 1e9 75956ee6-… http://cbnm… Plantae Trach… Magn… Rosa… Rosac… Aria Aria e… ""
3 1e9 75956ee6-… http://cbnb… Plantae Trach… Magn… Rosa… Rosac… Aria Aria e… ""
4 1e9 75956ee6-… http://pifh… Plantae Trach… Magn… Rosa… Rosac… Aria Aria e… ""
5 1e9 75956ee6-… http://sigo… Plantae Trach… Magn… Rosa… Rosac… Aria Aria e… ""
6 1e9 75956ee6-… http://sigo… Plantae Trach… Magn… Rosa… Rosac… Aria Aria e… ""
7 1e9 75956ee6-… http://sigo… Plantae Trach… Magn… Rosa… Rosac… Aria Aria e… ""
8 1e9 75956ee6-… http://flor… Plantae Trach… Magn… Rosa… Rosac… Aria Aria e… ""
9 1e9 75956ee6-… http://pifh… Plantae Trach… Magn… Rosa… Rosac… Aria Aria e… ""
10 1e9 75956ee6-… http://cbnp… Plantae Trach… Magn… Rosa… Rosac… Aria Aria e… ""
# ℹ 124,985 more rows
# ℹ 40 more variables: taxonRank <chr>, scientificName <chr>, verbatimScientificName <chr>,
# verbatimScientificNameAuthorship <chr>, countryCode <chr>, locality <chr>, stateProvince <chr>,
# occurrenceStatus <chr>, individualCount <int>, publishingOrgKey <chr>, decimalLatitude <dbl>,
# decimalLongitude <dbl>, coordinateUncertaintyInMeters <dbl>, coordinatePrecision <dbl>,
# elevation <dbl>, elevationAccuracy <dbl>, depth <dbl>, depthAccuracy <dbl>, eventDate <dttm>,
# day <int>, month <int>, year <int>, taxonKey <int>, speciesKey <int>, basisOfRecord <chr>, …
Il y a 124 995 occurrences dans le jeu de données. On les affiche sur la carte du monde :
Figure 45.1: Occurrences de Aria edulis dans le monde.
45.1.1 Données par région
On évalue la proportion d’occurrences dans chaque région, en utilisant les 3 masques créés précédemment. Si on a au moins 50 % des occurrences dans une région, on peut continuer en travaillant uniquement sur ces données. Sinon, on vérifie qu’au moins 67 % des données tombent dans l’ensemble des régions, et on prend la région la plus représentée. Au final, s’il s’agit d’une espèce endémique d’Europe, on n’a pas besoin de manipulation supplémentaire.
[1] 0.999975999
[1] 0
[1] 8.000320013e-06
Figure 45.2: Occurrence de Aria edulis dans la région d’endémisme.
45.1.2 Licences
On s’intéresse ici au problème particulier des licences :
CC_BY_4_0 CC_BY_NC_4_0 CC0_1_0
119817 3859 1316
[1] 96.91260241
Figure 45.3: Occurrence de Aria edulis dans la région d’endémisme, selon la licence : CC BY-NC en bleu ; CC0 et CC BY en orange.
Idéalement, on aimerait avoir au moins 50 % de données vraiment libres
d’utilisation (c’est-à-dire sans la clause -NC). On continue en supprimant les
données en CC BY-NC.
[1] 121133
45.1.3 Sous-échantillonnage
Si le jeu de données contient 25 000 occurrences ou plus, on procède au sous-échantillonnage aléatoire pour en conserver un maximum de 25 000.
Simple feature collection with 25000 features and 50 fields
Attribute-geometry relationship: 50 constant, 0 aggregate, 0 identity
Geometry type: POINT
Dimension: XY
Bounding box: xmin: -9.351358 ymin: 34 xmax: 32 ymax: 68.2139
Geodetic CRS: WGS 84
# A tibble: 25,000 × 51
gbifID datasetKey occurrenceID kingdom phylum class order family genus species infraspecificEpithet
<int64> <chr> <chr> <chr> <chr> <chr> <chr> <chr> <chr> <chr> <chr>
1 1 e9 75956ee6-… http://cbnm… Plantae Trach… Magn… Rosa… Rosac… Aria Aria e… ""
2 1 e9 75956ee6-… http://flor… Plantae Trach… Magn… Rosa… Rosac… Aria Aria e… ""
3 3.e9 bc27185d-… 226626a2-1b… Plantae Trach… Magn… Rosa… Rosac… Aria Aria e… ""
4 3.e9 ae771b09-… 182e7e3e-94… Plantae Trach… Magn… Rosa… Rosac… Aria Aria e… ""
5 3.e9 f11a63fa-… f5dbfe19-41… Plantae Trach… Magn… Rosa… Rosac… Aria Aria e… ""
6 3.e9 e5f16d86-… 98c112f3-e2… Plantae Trach… Magn… Rosa… Rosac… Aria Aria e… ""
7 1 e9 75956ee6-… http://flor… Plantae Trach… Magn… Rosa… Rosac… Aria Aria e… ""
8 2 e9 83fdfd3d-… INFOFLORA-T… Plantae Trach… Magn… Rosa… Rosac… Aria Aria e… ""
9 3.e9 f11a63fa-… 1505fd00-b7… Plantae Trach… Magn… Rosa… Rosac… Aria Aria e… ""
10 2 e9 86306e4b-… bf533ad2-c3… Plantae Trach… Magn… Rosa… Rosac… Aria Aria e… ""
# ℹ 24,990 more rows
# ℹ 40 more variables: taxonRank <chr>, scientificName <chr>, verbatimScientificName <chr>,
# verbatimScientificNameAuthorship <chr>, countryCode <chr>, locality <chr>, stateProvince <chr>,
# occurrenceStatus <chr>, individualCount <int>, publishingOrgKey <chr>, decimalLatitude <dbl>,
# decimalLongitude <dbl>, coordinateUncertaintyInMeters <dbl>, coordinatePrecision <dbl>,
# elevation <dbl>, elevationAccuracy <dbl>, depth <dbl>, depthAccuracy <dbl>, eventDate <dttm>,
# day <int>, month <int>, year <int>, taxonKey <int>, speciesKey <int>, basisOfRecord <chr>, …
45.2 Modélisation de la niche climatique
45.2.1 Préparer les données
Organisation des données d’entrées (occurrences et données environnementales) et des données produites de pseudo-absences :
class : SpatVector
geometry : points
dimensions : 25000, 0 (geometries, attributes)
extent : -9.351358, 32, 34, 68.2139 (xmin, xmax, ymin, ymax)
coord. ref. : lon/lat WGS 84 (EPSG:4326)
-=-=-=-=-=-=-=-=-=-=-=-=-=-=-= ared Data Formating -=-=-=-=-=-=-=-=-=-=-=-=-=-=-=
! Response variable is considered as only presences... Is it really what you want?
! No data has been set aside for modeling evaluation
!!! Some data are located in the same raster cell.
Please set `filter.raster = TRUE` if you want an automatic filtering.
Checking Pseudo-absence selection arguments...
> random pseudo absences selection
> Pseudo absences are selected in explanatory variables
! Some NAs have been automatically removed from your data
!!! Some data are located in the same raster cell.
Please set `filter.raster = TRUE` if you want an automatic filtering.
-=-=-=-=-=-=-=-=-=-=-=-=-=-=-=-=-=-= Done -=-=-=-=-=-=-=-=-=-=-=-=-=-=-=-=-=-=
-=-=-=-=-=-=-=-=-=-=-=-=-=-= BIOMOD.formated.data -=-=-=-=-=-=-=-=-=-=-=-=-=-=
dir.name = Output
sp.name = ared
24999 presences, 0 true absences and 72872 undefined points in dataset
6 explanatory variables
temp_max_august temp_min temp_wet_quart temp_season
Min. : 0.50 Min. :-22.048 Min. :-11.803 Min. : 0.0
1st Qu.:20.28 1st Qu.: -8.692 1st Qu.: 7.959 1st Qu.: 617.6
Median :23.42 Median : -3.360 Median : 12.091 Median : 713.1
Mean :24.76 Mean : -4.375 Mean : 11.547 Mean : 753.4
3rd Qu.:27.97 3rd Qu.: 0.152 3rd Qu.: 15.762 3rd Qu.: 895.0
Max. :46.10 Max. : 12.036 Max. : 24.973 Max. :1393.2
prec_wet_quart prec_season
Min. : 3.0 Min. : 4.779
1st Qu.: 181.0 1st Qu.: 21.113
Median : 224.0 Median : 30.270
Mean : 233.8 Mean : 34.476
3rd Qu.: 292.0 3rd Qu.: 39.024
Max. :1264.0 Max. :123.760
-=-=-=-=-=-=-=-=-=-=-=-=-=-=-=-=-=-=-=-=-=-=-=-=-=-=-=-=-=-=-=-=-=-=-=-=-=-=-=-=
On visualise les pseudo-absences :
Figure 45.5: Les données d’occurrences (en haut à gauche) et les trois jeux de données aléatoires de pseudo-absences.
$data.vect
class : SpatVector
geometry : points
dimensions : 174996, 2 (geometries, attributes)
extent : -10.47917, 46.97917, 29.02083, 70.97917 (xmin, xmax, ymin, ymax)
coord. ref. :
names : resp dataset
type : <num> <chr>
values : 10 Initial dataset
10 Initial dataset
10 Initial dataset
$data.label
9 10
"**Presences**" "Presences (calibration)"
11 12
"Presences (validation)" "Presences (evaluation)"
19 20
"**True Absences**" "True Absences (calibration)"
21 22
"True Absences (validation)" "True Absences (evaluation)"
29 30
"**Pseudo-Absences**" "Pseudo-Absences (calibration)"
31 1
"Pseudo-Absences (validation)" "Background"
$data.plot
Figure 45.6: Les données d’occurrences (en haut à gauche) et les trois jeux de données aléatoires de pseudo-absences.
45.2.2 Modèles individuels de niche
-=-=-=-=-=-=-=-=-=-=-=-=-=-=-= Build Single Models -=-=-=-=-=-=-=-=-=-=-=-=-=-=-=
Checking Models arguments...
Creating suitable Workdir...
! Weights where automatically defined for ared_PA1 to rise a 0.5 prevalence !
! Weights where automatically defined for ared_PA2 to rise a 0.5 prevalence !
! Weights where automatically defined for ared_PA3 to rise a 0.5 prevalence !
-=-=-=-=-=-=-=-=-=-=-=-=-=-= ared Modeling Summary -=-=-=-=-=-=-=-=-=-=-=-=-=-=
6 environmental variables ( temp_max_august temp_min temp_wet_quart temp_season prec_wet_quart prec_season )
Number of evaluation repetitions : 1
Models selected : GAM MARS MAXNET GBM ANN RF
Total number of model runs: 18
-=-=-=-=-=-=-=-=-=-=-=-=-=-=-=-=-=-=-=-=-=-=-=-=-=-=-=-=-=-=-=-=-=-=-=-=-=-=-=-=
-=-=-=- Run : ared_PA1
-=-=-=--=-=-=- ared_PA1_RUN1
-=-=-=- Run : ared_PA2
-=-=-=--=-=-=- ared_PA2_RUN1
-=-=-=- Run : ared_PA3
-=-=-=--=-=-=- ared_PA3_RUN1
-=-=-=-=-=-=-=-=-=-=-=-=-=-=-=-=-=-= Done -=-=-=-=-=-=-=-=-=-=-=-=-=-=-=-=-=-=
45.2.2.1 Évaluation de la performance
full.name PA run algo metric.eval cutoff sensitivity
1 ared_PA1_RUN1_GAM PA1 RUN1 GAM TSS 758.0 95.52
2 ared_PA1_RUN1_GAM PA1 RUN1 GAM ROC 755.5 95.59
3 ared_PA1_RUN1_MARS PA1 RUN1 MARS TSS 594.0 96.30
4 ared_PA1_RUN1_MARS PA1 RUN1 MARS ROC 594.5 96.30
5 ared_PA1_RUN1_MAXNET PA1 RUN1 MAXNET TSS 364.0 96.40
6 ared_PA1_RUN1_MAXNET PA1 RUN1 MAXNET ROC 370.5 96.24
specificity calibration validation evaluation
1 76.590 0.721 0.721 NA
2 76.575 0.840 0.840 NA
3 92.085 0.884 0.893 NA
4 92.090 0.980 0.981 NA
5 92.440 0.889 0.896 NA
6 92.740 0.980 0.981 NA
Figure 45.7: Évaluation de la performance des modèles individuels : True Skill Statistic & aire sous la courbe de ROC.
45.2.2.2 Importance des variables environnementales
full.name PA run algo expl.var rand var.imp
1 ared_PA1_RUN1_GAM PA1 RUN1 GAM temp_max_august 1 0.448488
2 ared_PA1_RUN1_GAM PA1 RUN1 GAM temp_min 1 0.240962
3 ared_PA1_RUN1_GAM PA1 RUN1 GAM temp_wet_quart 1 0.020406
4 ared_PA1_RUN1_GAM PA1 RUN1 GAM temp_season 1 0.878521
5 ared_PA1_RUN1_GAM PA1 RUN1 GAM prec_wet_quart 1 0.069317
6 ared_PA1_RUN1_GAM PA1 RUN1 GAM prec_season 1 0.085599
Figure 45.8: Pourcentage de variance expliquée pour chaque variable, décomposé par algorithme.
Figure 45.9: Pourcentage de variance expliquée pour chaque variable, décomposé par variable.
45.2.3 Modèles d’ensemble de niche
Seulement modèles avec TSS > 0.8
-=-=-=-=-=-=-=-=-=-=-=-=-= BIOMOD.ensemble.models.out -=-=-=-=-=-=-=-=-=-=-=-=-=
sp.name : ared
expl.var.names : temp_max_august temp_min temp_wet_quart temp_season
prec_wet_quart prec_season
models computed:
ared_EMcvByTSS_mergedData_mergedRun_mergedAlgo, ared_EMwmeanByTSS_mergedData_mergedRun_mergedAlgo
models failed: none
-=-=-=-=-=-=-=-=-=-=-=-=-=-=-=-=-=-=-=-=-=-=-=-=-=-=-=-=-=-=-=-=-=-=-=-=-=-=-=-=
45.2.3.1 Évaluation de la qualité
full.name merged.by.PA merged.by.run
1 ared_EMwmeanByTSS_mergedData_mergedRun_mergedAlgo mergedData mergedRun
2 ared_EMwmeanByTSS_mergedData_mergedRun_mergedAlgo mergedData mergedRun
merged.by.algo filtered.by algo metric.eval cutoff sensitivity specificity
1 mergedAlgo TSS EMwmean TSS 631.0 95.968 97.352
2 mergedAlgo TSS EMwmean ROC 639.5 95.852 97.489
calibration validation evaluation
1 0.933 NA NA
2 0.996 NA NA
Figure 45.11: Évaluation de la qualité du modèle d’ensemble : Aire sous la courbe de ROC & True Skill Statistic.
full.name merged.by.PA merged.by.run
1 ared_EMcvByTSS_mergedData_mergedRun_mergedAlgo mergedData mergedRun
2 ared_EMcvByTSS_mergedData_mergedRun_mergedAlgo mergedData mergedRun
3 ared_EMcvByTSS_mergedData_mergedRun_mergedAlgo mergedData mergedRun
4 ared_EMcvByTSS_mergedData_mergedRun_mergedAlgo mergedData mergedRun
5 ared_EMcvByTSS_mergedData_mergedRun_mergedAlgo mergedData mergedRun
6 ared_EMcvByTSS_mergedData_mergedRun_mergedAlgo mergedData mergedRun
merged.by.algo filtered.by algo expl.var rand var.imp
1 mergedAlgo TSS EMcv temp_max_august 1 0.088900
2 mergedAlgo TSS EMcv temp_min 1 0.099102
3 mergedAlgo TSS EMcv temp_wet_quart 1 0.019498
4 mergedAlgo TSS EMcv temp_season 1 0.519960
5 mergedAlgo TSS EMcv prec_wet_quart 1 0.107783
6 mergedAlgo TSS EMcv prec_season 1 0.125428
Par variable :
Figure 45.12: Pourcentage de variance expliquée par variable dans le modèle d’ensemble.
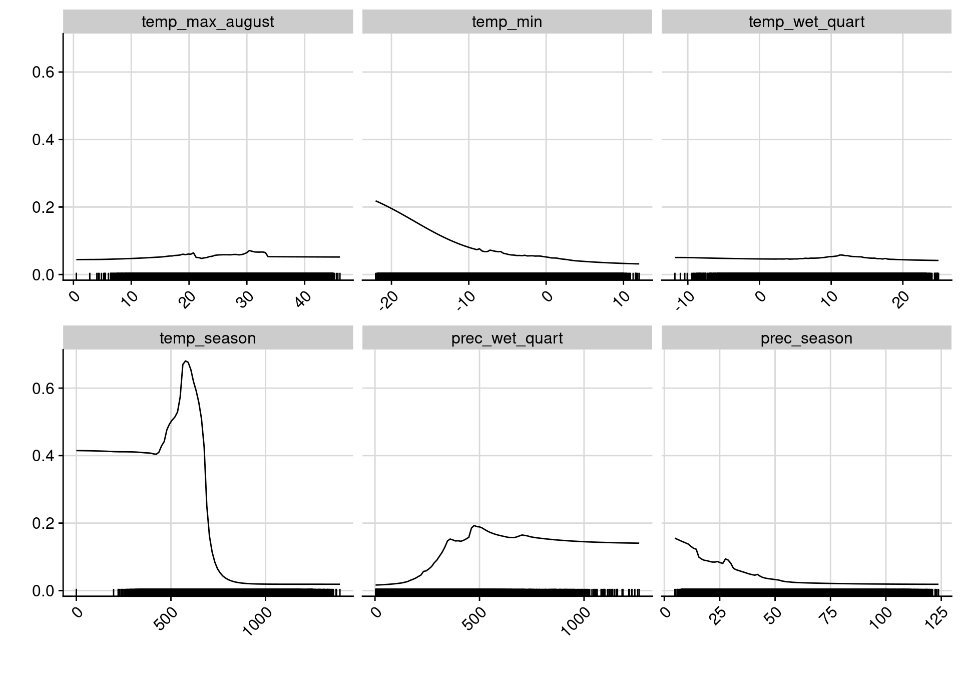
Figure 45.13: Courbes de réponse de chaque variable climatique dans le modèle d’ensemble.
45.3 Projections
45.3.1 Distribution potentielle contemporaine
Contemporaine : Cartographie des observations sur couches climatiques Extraction des conditions climatiques favorables
-=-=-=-=-=-=-=-=-=-=-=-=-=-= BIOMOD.projection.out -=-=-=-=-=-=-=-=-=-=-=-=-=-=
Projection directory : Output/ared/current
sp.name : ared
expl.var.names : temp_max_august temp_min temp_wet_quart temp_season
prec_wet_quart prec_season
modeling.id : AllModels ( Output/ared/ared.AllModels.models.out )
models.projected :
ared_PA1_RUN1_GAM, ared_PA1_RUN1_MARS, ared_PA1_RUN1_MAXNET, ared_PA1_RUN1_GBM, ared_PA1_RUN1_RF, ared_PA2_RUN1_GAM, ared_PA2_RUN1_MARS, ared_PA2_RUN1_MAXNET, ared_PA2_RUN1_GBM, ared_PA2_RUN1_RF, ared_PA3_RUN1_GAM, ared_PA3_RUN1_MARS, ared_PA3_RUN1_MAXNET, ared_PA3_RUN1_GBM, ared_PA3_RUN1_RF
available binary projection : TSS, ROC
available filtered projection : TSS, ROC
-=-=-=-=-=-=-=-=-=-=-=-=-=-=-=-=-=-=-=-=-=-=-=-=-=-=-=-=-=-=-=-=-=-=-=-=-=-=-=-=
Figure 45.14: Projection de la distribution potentielle contemporaine sur l’Europe, selon les 6 algorithmes et les 3 runs.
Figure 45.15: Projection de la distribution potentielle contemporaine sur l’Europe, selon les 6 algorithmes et les 3 runs.
-=-=-=-=-=-=-=-=-=-=-=-=-=-= BIOMOD.projection.out -=-=-=-=-=-=-=-=-=-=-=-=-=-=
Projection directory : Output/ared/current
sp.name : ared
expl.var.names : temp_max_august temp_min temp_wet_quart temp_season
prec_wet_quart prec_season
modeling.id : AllModels ( Output/ared/ared.AllModels.ensemble.models.out )
models.projected :
ared_EMcvByTSS_mergedData_mergedRun_mergedAlgo, ared_EMwmeanByTSS_mergedData_mergedRun_mergedAlgo
-=-=-=-=-=-=-=-=-=-=-=-=-=-=-=-=-=-=-=-=-=-=-=-=-=-=-=-=-=-=-=-=-=-=-=-=-=-=-=-=
Figure 45.16: A) Projection de la distribution potentielle contemporaine (modèle d’ensemble) ; B) Incertitude associée à la projection.
45.3.2 Interpolation à l’échelle de la métropole
- → conditions climatiques favorables à fine échelle
On projette la niche climatique sur ce raster à fine échelle.
-=-=-=-=-=-=-=-=-=-=-=-=-=-= BIOMOD.projection.out -=-=-=-=-=-=-=-=-=-=-=-=-=-=
Projection directory : Output/ared/cont_gre
sp.name : ared
expl.var.names : temp_max_august temp_min temp_wet_quart temp_season
prec_wet_quart prec_season
modeling.id : AllModels ( Output/ared/ared.AllModels.models.out )
models.projected :
ared_PA1_RUN1_GAM, ared_PA1_RUN1_MARS, ared_PA1_RUN1_MAXNET, ared_PA1_RUN1_GBM, ared_PA1_RUN1_RF, ared_PA2_RUN1_GAM, ared_PA2_RUN1_MARS, ared_PA2_RUN1_MAXNET, ared_PA2_RUN1_GBM, ared_PA2_RUN1_RF, ared_PA3_RUN1_GAM, ared_PA3_RUN1_MARS, ared_PA3_RUN1_MAXNET, ared_PA3_RUN1_GBM, ared_PA3_RUN1_RF
available binary projection : TSS, ROC
available filtered projection : TSS, ROC
-=-=-=-=-=-=-=-=-=-=-=-=-=-=-=-=-=-=-=-=-=-=-=-=-=-=-=-=-=-=-=-=-=-=-=-=-=-=-=-=
Figure 45.17: Projection de la distribution potentielle contemporaine sur la métropole de Grenoble, selon les 6 algorithmes et les 3 runs.
Figure 45.18: Projection de la distribution potentielle contemporaine sur la métropole de Grenoble, selon les 6 algorithmes et les 3 runs.
-=-=-=-=-=-=-=-=-=-=-=-=-=-= BIOMOD.projection.out -=-=-=-=-=-=-=-=-=-=-=-=-=-=
Projection directory : Output/ared/cont_gre
sp.name : ared
expl.var.names : temp_max_august temp_min temp_wet_quart temp_season
prec_wet_quart prec_season
modeling.id : AllModels ( Output/ared/ared.AllModels.ensemble.models.out )
models.projected :
ared_EMcvByTSS_mergedData_mergedRun_mergedAlgo, ared_EMwmeanByTSS_mergedData_mergedRun_mergedAlgo
-=-=-=-=-=-=-=-=-=-=-=-=-=-=-=-=-=-=-=-=-=-=-=-=-=-=-=-=-=-=-=-=-=-=-=-=-=-=-=-=
Figure 45.19: A) Projection de la distribution potentielle contemporaine (modèle d’ensemble) sur la métropole de Grenoble ; B) Incertitude associée à la projection.
45.3.3 Distributions potentielles futures
Futur : Projection à l’échelle de l’Europe jusqu’à l’horizon 2100
Toutes les fenêtres temporelles × scénarios pour le GCM « IPSL-CM6A-LR »
- SSP1-2.6




Figure 45.20: Projection des distributions potentielles futures jusqu’à l’horizon 2100 sous le scénario SSP1-2.6 (modèle d’ensemble).
On obtient pour la métrique TSS une carte unique de moyenne pondérée sur les algorithmes et sur les jeux de pseudo-absences.
- SSP2-4.5




Figure 45.21: Projection des distributions potentielles futures jusqu’à l’horizon 2100 sous le scénario SSP2-4.5 (modèle d’ensemble).
- SSP3-7.0




Figure 45.22: Projection des distributions potentielles futures jusqu’à l’horizon 2100 sous le scénario SSP3-7.0 (modèle d’ensemble).
- SSP5-8.5




Figure 45.23: Projection des distributions potentielles futures jusqu’à l’horizon 2100 sous le scénario SSP5-8.5 (modèle d’ensemble).
45.4 Inférence à l’échelle de la métropole
- Croisement avec températures de surface 2019 (fournie par la métropole)
- → conditions climatiques favorables à fine échelle
- à peu près 7 pixels × 9 (WorldClim)
45.4.1 Distributions potentielles futures
Même chose que précédemment mais sur les rasters de Grenoble
- SSP1-2.6




Figure 45.24: Projection des distributions potentielles contemporaine et futures jusqu’à l’horizon 2100 sous le scénario SSP5-8.5 (modèle d’ensemble, GCM IPSL).
- SSP2-4.5




Figure 45.25: Projection des distributions potentielles contemporaine et futures jusqu’à l’horizon 2100 sous le scénario SSP5-8.5 (modèle d’ensemble, GCM IPSL).
- SSP3-7.0




Figure 45.26: Projection des distributions potentielles contemporaine et futures jusqu’à l’horizon 2100 sous le scénario SSP5-8.5 (modèle d’ensemble, GCM IPSL).
- SSP5-8.5




Figure 45.27: Projection des distributions potentielles contemporaine et futures jusqu’à l’horizon 2100 sous le scénario SSP5-8.5 (modèle d’ensemble, GCM IPSL).
45.4.2 Évolution temporelle
# A tibble: 17 × 8
min q1 median mean q3 max ssp year
<table[1d]> <table[1d]> <table[1d]> <table[1d]> <table[1d]> <tab> <fct> <dbl>
1 198 646 763 724.04566 839 883 0 2000
2 89 260 552 516.29179 772 863 126 2040
3 80 172 393 423.67067 687 847 126 2060
4 83 197 404 443.15349 715 850 126 2080
5 91 231 445 460.35414 695 837 126 2100
6 89 250 526 512.40089 780 872 245 2040
7 76 135 280 350.28413 547 805 245 2060
8 69 116 255 320.76793 502 795 245 2080
9 62 91 157 235.56778 367 686 245 2100
10 86 223 512 468.62537 704 841 370 2040
11 74 139 322 358.91076 559 812 370 2060
12 58 80 126 209.25338 343 659 370 2080
13 35 46 56 65.99970 73 217 370 2100
14 86 226 478 477.46702 737 856 585 2040
15 64 102 195 284.60845 457 765 585 2060
16 37 53 64 83.84361 96 267 585 2080
17 25 31 37 37.98481 44 66 585 2100
Figure 45.28: Évolution de la favorabilité climatique au cours du XXIème siècle. Le point représente la médiane sur l’étendue de la métropole (i.e. tous les pixels de la carte) ; le trait gras représente 50 % des données intermédiaires (espace inter-quartile) ; le trait fin représente le reste des données du minimum au maximum.