18 Koelreuteria paniculata
18.1 Données d’occurrences GBIF
Collecte des données du GBIF :
<<gbif download metadata>>
Status: SUCCEEDED
DOI: 10.15468/dl.2t8asb
Format: SIMPLE_CSV
Download key: 0230932-230224095556074
Created: 2023-05-10T20:50:55.808+00:00
Modified: 2023-05-10T20:51:48.602+00:00
Download link: https://api.gbif.org/v1/occurrence/download/request/0230932-230224095556074.zip
Total records: 7026
Conversion en objets géographiques (format Simple feature de sf) et
exploration rapide des données (classe du jeu de données et premières lignes du
tableau) :
Simple feature collection with 2725 features and 50 fields
Attribute-geometry relationship: 50 constant, 0 aggregate, 0 identity
Geometry type: POINT
Dimension: XY
Bounding box: xmin: -123.233333 ymin: -43.646505 xmax: 176.893858 ymax: 63.434
Geodetic CRS: WGS 84
# A tibble: 2,725 × 51
gbifID datasetKey occurrenceID kingdom phylum class order family genus species infraspecificEpithet
* <int64> <chr> <chr> <chr> <chr> <chr> <chr> <chr> <chr> <chr> <chr>
1 3.e9 d1e9202b-… NYCstreetTr… Plantae Trach… Magn… Sapi… Sapin… Koel… Koelre… ""
2 3.e9 d1e9202b-… NYCstreetTr… Plantae Trach… Magn… Sapi… Sapin… Koel… Koelre… ""
3 3.e9 d1e9202b-… NYCstreetTr… Plantae Trach… Magn… Sapi… Sapin… Koel… Koelre… ""
4 3.e9 c4e1739b-… BISON:New Y… Plantae Trach… Magn… Sapi… Sapin… Koel… Koelre… ""
5 3.e9 d1e9202b-… NYCstreetTr… Plantae Trach… Magn… Sapi… Sapin… Koel… Koelre… ""
6 3.e9 d1e9202b-… NYCstreetTr… Plantae Trach… Magn… Sapi… Sapin… Koel… Koelre… ""
7 3.e9 d1e9202b-… NYCstreetTr… Plantae Trach… Magn… Sapi… Sapin… Koel… Koelre… ""
8 3.e9 d1e9202b-… NYCstreetTr… Plantae Trach… Magn… Sapi… Sapin… Koel… Koelre… ""
9 3.e9 d1e9202b-… NYCstreetTr… Plantae Trach… Magn… Sapi… Sapin… Koel… Koelre… ""
10 3.e9 d1e9202b-… NYCstreetTr… Plantae Trach… Magn… Sapi… Sapin… Koel… Koelre… ""
# ℹ 2,715 more rows
# ℹ 40 more variables: taxonRank <chr>, scientificName <chr>, verbatimScientificName <chr>,
# verbatimScientificNameAuthorship <chr>, countryCode <chr>, locality <chr>, stateProvince <chr>,
# occurrenceStatus <chr>, individualCount <int>, publishingOrgKey <chr>, decimalLatitude <dbl>,
# decimalLongitude <dbl>, coordinateUncertaintyInMeters <dbl>, coordinatePrecision <dbl>,
# elevation <dbl>, elevationAccuracy <dbl>, depth <dbl>, depthAccuracy <dbl>, eventDate <dttm>,
# day <int>, month <int>, year <int>, taxonKey <int>, speciesKey <int>, basisOfRecord <chr>, …
Il y a 2 725 occurrences dans le jeu de données. On les affiche sur la carte du monde :
Figure 18.1: Occurrences de Koelreuteria paniculata dans le monde.
18.1.1 Données par région
On évalue la proportion d’occurrences dans chaque région, en utilisant les 3 masques créés précédemment. Si on a au moins 50 % des occurrences dans une région, on peut continuer en travaillant uniquement sur ces données. Sinon, on vérifie qu’au moins 67 % des données tombent dans l’ensemble des régions, et on prend la région la plus représentée. Au final, s’il s’agit d’une espèce endémique d’Europe, on n’a pas besoin de manipulation supplémentaire.
[1] 0.6770642202
[1] 0.2689908257
[1] 0.04513761468
Figure 18.2: Occurrence de Koelreuteria paniculata dans la région d’endémisme.
18.1.2 Licences
On s’intéresse ici au problème particulier des licences :
CC_BY_4_0
1450
CC_BY_NC_4_0
310
CC0_1_0
56
https://creativecommons.org/licenses/by-nc/4.0/legalcode
9
https://creativecommons.org/licenses/by/4.0/legalcode
19
https://creativecommons.org/publicdomain/zero/1.0/legalcode
1
[1] 82.7100271
Figure 18.3: Occurrence de Koelreuteria paniculata dans la région d’endémisme, selon la licence : CC BY-NC en bleu ; CC0 et CC BY en orange.
Idéalement, on aimerait avoir au moins 50 % de données vraiment libres
d’utilisation (c’est-à-dire sans la clause -NC). On continue en supprimant les
données en CC BY-NC.
[1] 1526
18.1.3 Sous-échantillonnage
Si le jeu de données contient 25 000 occurrences ou plus, on procède au sous-échantillonnage aléatoire pour en conserver un maximum de 25 000.
Simple feature collection with 1526 features and 50 fields
Attribute-geometry relationship: 50 constant, 0 aggregate, 0 identity
Geometry type: POINT
Dimension: XY
Bounding box: xmin: -8.65 ymin: 37.87 xmax: 44.809135 ymax: 63.434
Geodetic CRS: WGS 84
# A tibble: 1,526 × 51
gbifID datasetKey occurrenceID kingdom phylum class order family genus species infraspecificEpithet
<int64> <chr> <chr> <chr> <chr> <chr> <chr> <chr> <chr> <chr> <chr>
1 9e8 6ac3f774-… "" Plantae Trach… Magn… Sapi… Sapin… Koel… Koelre… ""
2 9e8 6ac3f774-… "" Plantae Trach… Magn… Sapi… Sapin… Koel… Koelre… ""
3 9e8 6ac3f774-… "" Plantae Trach… Magn… Sapi… Sapin… Koel… Koelre… ""
4 9e8 6ac3f774-… "" Plantae Trach… Magn… Sapi… Sapin… Koel… Koelre… ""
5 9e8 6ac3f774-… "" Plantae Trach… Magn… Sapi… Sapin… Koel… Koelre… ""
6 4e9 3046db3b-… "NMB9999001… Plantae Trach… Magn… Sapi… Sapin… Koel… Koelre… ""
7 4e9 50c9509d-… "https://ww… Plantae Trach… Magn… Sapi… Sapin… Koel… Koelre… ""
8 4e9 017f23ba-… "8857c13c-9… Plantae Trach… Magn… Sapi… Sapin… Koel… Koelre… ""
9 4e9 017f23ba-… "837ce5a5-3… Plantae Trach… Magn… Sapi… Sapin… Koel… Koelre… ""
10 4e9 017f23ba-… "72239e41-d… Plantae Trach… Magn… Sapi… Sapin… Koel… Koelre… ""
# ℹ 1,516 more rows
# ℹ 40 more variables: taxonRank <chr>, scientificName <chr>, verbatimScientificName <chr>,
# verbatimScientificNameAuthorship <chr>, countryCode <chr>, locality <chr>, stateProvince <chr>,
# occurrenceStatus <chr>, individualCount <int>, publishingOrgKey <chr>, decimalLatitude <dbl>,
# decimalLongitude <dbl>, coordinateUncertaintyInMeters <dbl>, coordinatePrecision <dbl>,
# elevation <dbl>, elevationAccuracy <dbl>, depth <dbl>, depthAccuracy <dbl>, eventDate <dttm>,
# day <int>, month <int>, year <int>, taxonKey <int>, speciesKey <int>, basisOfRecord <chr>, …
18.2 Modélisation de la niche climatique
18.2.1 Préparer les données
Organisation des données d’entrées (occurrences et données environnementales) et des données produites de pseudo-absences :
class : SpatVector
geometry : points
dimensions : 1526, 0 (geometries, attributes)
extent : -8.65, 44.80913, 37.87, 63.434 (xmin, xmax, ymin, ymax)
coord. ref. : lon/lat WGS 84 (EPSG:4326)
-=-=-=-=-=-=-=-=-=-=-=-=-=-=-= kopa Data Formating -=-=-=-=-=-=-=-=-=-=-=-=-=-=-=
! Response variable is considered as only presences... Is it really what you want?
! No data has been set aside for modeling evaluation
!!! Some data are located in the same raster cell.
Please set `filter.raster = TRUE` if you want an automatic filtering.
Checking Pseudo-absence selection arguments...
> random pseudo absences selection
> Pseudo absences are selected in explanatory variables
!!! Some data are located in the same raster cell.
Please set `filter.raster = TRUE` if you want an automatic filtering.
-=-=-=-=-=-=-=-=-=-=-=-=-=-=-=-=-=-= Done -=-=-=-=-=-=-=-=-=-=-=-=-=-=-=-=-=-=
-=-=-=-=-=-=-=-=-=-=-=-=-=-= BIOMOD.formated.data -=-=-=-=-=-=-=-=-=-=-=-=-=-=
dir.name = Output
sp.name = kopa
1526 presences, 0 true absences and 4563 undefined points in dataset
6 explanatory variables
temp_max_august temp_min temp_wet_quart temp_season
Min. : 4.00 Min. :-21.564 Min. :-12.25 Min. : 295.4
1st Qu.:21.08 1st Qu.: -8.364 1st Qu.: 10.28 1st Qu.: 661.3
Median :25.14 Median : -3.120 Median : 14.21 Median : 773.3
Mean :25.69 Mean : -4.060 Mean : 13.36 Mean : 779.0
3rd Qu.:29.01 3rd Qu.: 0.884 3rd Qu.: 17.26 3rd Qu.: 897.4
Max. :44.94 Max. : 9.900 Max. : 23.70 Max. :1362.7
prec_wet_quart prec_season
Min. : 6.0 Min. : 8.301
1st Qu.: 176.0 1st Qu.: 23.468
Median : 218.0 Median : 31.807
Mean : 220.8 Mean : 36.749
3rd Qu.: 257.0 3rd Qu.: 42.794
Max. :1248.0 Max. :121.092
-=-=-=-=-=-=-=-=-=-=-=-=-=-=-=-=-=-=-=-=-=-=-=-=-=-=-=-=-=-=-=-=-=-=-=-=-=-=-=-=
On visualise les pseudo-absences :
Figure 18.5: Les données d’occurrences (en haut à gauche) et les trois jeux de données aléatoires de pseudo-absences.
$data.vect
class : SpatVector
geometry : points
dimensions : 10682, 2 (geometries, attributes)
extent : -10.27083, 46.97917, 29.02083, 70.9375 (xmin, xmax, ymin, ymax)
coord. ref. :
names : resp dataset
type : <num> <chr>
values : 10 Initial dataset
10 Initial dataset
10 Initial dataset
$data.label
9 10
"**Presences**" "Presences (calibration)"
11 12
"Presences (validation)" "Presences (evaluation)"
19 20
"**True Absences**" "True Absences (calibration)"
21 22
"True Absences (validation)" "True Absences (evaluation)"
29 30
"**Pseudo-Absences**" "Pseudo-Absences (calibration)"
31 1
"Pseudo-Absences (validation)" "Background"
$data.plot
Figure 18.6: Les données d’occurrences (en haut à gauche) et les trois jeux de données aléatoires de pseudo-absences.
18.2.2 Modèles individuels de niche
-=-=-=-=-=-=-=-=-=-=-=-=-=-=-= Build Single Models -=-=-=-=-=-=-=-=-=-=-=-=-=-=-=
Checking Models arguments...
Creating suitable Workdir...
! Weights where automatically defined for kopa_PA1 to rise a 0.5 prevalence !
! Weights where automatically defined for kopa_PA2 to rise a 0.5 prevalence !
! Weights where automatically defined for kopa_PA3 to rise a 0.5 prevalence !
-=-=-=-=-=-=-=-=-=-=-=-=-=-= kopa Modeling Summary -=-=-=-=-=-=-=-=-=-=-=-=-=-=
6 environmental variables ( temp_max_august temp_min temp_wet_quart temp_season prec_wet_quart prec_season )
Number of evaluation repetitions : 1
Models selected : GAM MARS MAXNET GBM ANN RF
Total number of model runs: 18
-=-=-=-=-=-=-=-=-=-=-=-=-=-=-=-=-=-=-=-=-=-=-=-=-=-=-=-=-=-=-=-=-=-=-=-=-=-=-=-=
-=-=-=- Run : kopa_PA1
-=-=-=--=-=-=- kopa_PA1_RUN1
-=-=-=- Run : kopa_PA2
-=-=-=--=-=-=- kopa_PA2_RUN1
-=-=-=- Run : kopa_PA3
-=-=-=--=-=-=- kopa_PA3_RUN1
-=-=-=-=-=-=-=-=-=-=-=-=-=-=-=-=-=-= Done -=-=-=-=-=-=-=-=-=-=-=-=-=-=-=-=-=-=
18.2.2.1 Évaluation de la performance
full.name PA run algo metric.eval cutoff sensitivity
1 kopa_PA1_RUN1_GAM PA1 RUN1 GAM TSS 687.0 93.202
2 kopa_PA1_RUN1_GAM PA1 RUN1 GAM ROC 687.5 93.120
3 kopa_PA1_RUN1_MARS PA1 RUN1 MARS TSS 585.0 90.581
4 kopa_PA1_RUN1_MARS PA1 RUN1 MARS ROC 589.5 90.500
5 kopa_PA1_RUN1_MAXNET PA1 RUN1 MAXNET TSS 381.0 92.957
6 kopa_PA1_RUN1_MAXNET PA1 RUN1 MAXNET ROC 390.0 92.219
specificity calibration validation evaluation
1 61.425 0.547 0.554 NA
2 61.589 0.727 0.713 NA
3 86.486 0.771 0.803 NA
4 86.732 0.945 0.950 NA
5 84.111 0.771 0.807 NA
6 85.012 0.953 0.958 NA
Figure 18.7: Évaluation de la performance des modèles individuels : True Skill Statistic & aire sous la courbe de ROC.
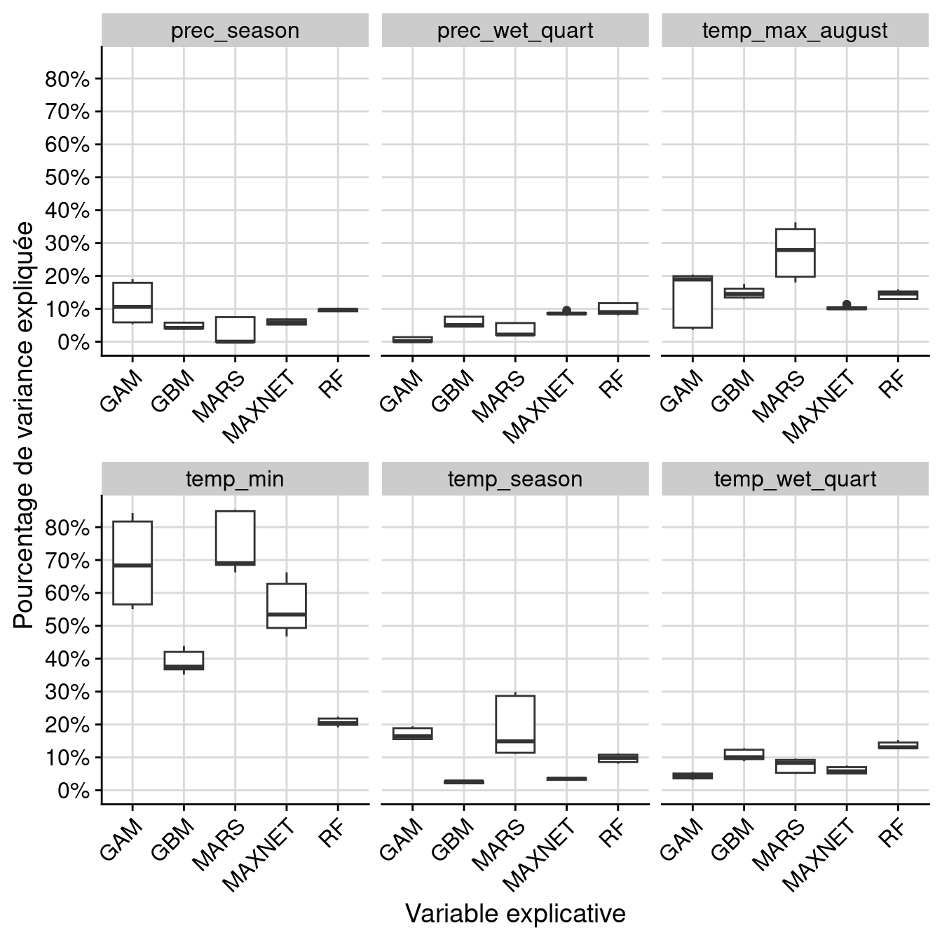
18.2.2.2 Importance des variables environnementales
full.name PA run algo expl.var rand var.imp
1 kopa_PA1_RUN1_GAM PA1 RUN1 GAM temp_max_august 1 0.186578
2 kopa_PA1_RUN1_GAM PA1 RUN1 GAM temp_min 1 0.565206
3 kopa_PA1_RUN1_GAM PA1 RUN1 GAM temp_wet_quart 1 0.055462
4 kopa_PA1_RUN1_GAM PA1 RUN1 GAM temp_season 1 0.164731
5 kopa_PA1_RUN1_GAM PA1 RUN1 GAM prec_wet_quart 1 0.001425
6 kopa_PA1_RUN1_GAM PA1 RUN1 GAM prec_season 1 0.111187
Figure 18.8: Pourcentage de variance expliquée pour chaque variable, décomposé par algorithme.
Figure 18.9: Pourcentage de variance expliquée pour chaque variable, décomposé par variable.
18.2.3 Modèles d’ensemble de niche
Seulement modèles avec TSS > 0.8
-=-=-=-=-=-=-=-=-=-=-=-=-= BIOMOD.ensemble.models.out -=-=-=-=-=-=-=-=-=-=-=-=-=
sp.name : kopa
expl.var.names : temp_max_august temp_min temp_wet_quart temp_season
prec_wet_quart prec_season
models computed:
kopa_EMcvByTSS_mergedData_mergedRun_mergedAlgo, kopa_EMwmeanByTSS_mergedData_mergedRun_mergedAlgo
models failed: none
-=-=-=-=-=-=-=-=-=-=-=-=-=-=-=-=-=-=-=-=-=-=-=-=-=-=-=-=-=-=-=-=-=-=-=-=-=-=-=-=
18.2.3.1 Évaluation de la qualité
full.name merged.by.PA merged.by.run
1 kopa_EMwmeanByTSS_mergedData_mergedRun_mergedAlgo mergedData mergedRun
2 kopa_EMwmeanByTSS_mergedData_mergedRun_mergedAlgo mergedData mergedRun
merged.by.algo filtered.by algo metric.eval cutoff sensitivity specificity
1 mergedAlgo TSS EMwmean TSS 434.0 97.313 89.524
2 mergedAlgo TSS EMwmean ROC 441.5 96.986 90.007
calibration validation evaluation
1 0.869 NA NA
2 0.986 NA NA
Figure 18.11: Évaluation de la qualité du modèle d’ensemble : Aire sous la courbe de ROC & True Skill Statistic.
full.name merged.by.PA merged.by.run
1 kopa_EMcvByTSS_mergedData_mergedRun_mergedAlgo mergedData mergedRun
2 kopa_EMcvByTSS_mergedData_mergedRun_mergedAlgo mergedData mergedRun
3 kopa_EMcvByTSS_mergedData_mergedRun_mergedAlgo mergedData mergedRun
4 kopa_EMcvByTSS_mergedData_mergedRun_mergedAlgo mergedData mergedRun
5 kopa_EMcvByTSS_mergedData_mergedRun_mergedAlgo mergedData mergedRun
6 kopa_EMcvByTSS_mergedData_mergedRun_mergedAlgo mergedData mergedRun
merged.by.algo filtered.by algo expl.var rand var.imp
1 mergedAlgo TSS EMcv temp_max_august 1 0.218080
2 mergedAlgo TSS EMcv temp_min 1 0.455976
3 mergedAlgo TSS EMcv temp_wet_quart 1 0.101354
4 mergedAlgo TSS EMcv temp_season 1 0.089515
5 mergedAlgo TSS EMcv prec_wet_quart 1 0.153391
6 mergedAlgo TSS EMcv prec_season 1 0.139647
Par variable :
Figure 18.12: Pourcentage de variance expliquée par variable dans le modèle d’ensemble.
Figure 18.13: Courbes de réponse de chaque variable climatique dans le modèle d’ensemble.
18.3 Projections
18.3.1 Distribution potentielle contemporaine
Contemporaine : Cartographie des observations sur couches climatiques Extraction des conditions climatiques favorables
-=-=-=-=-=-=-=-=-=-=-=-=-=-= BIOMOD.projection.out -=-=-=-=-=-=-=-=-=-=-=-=-=-=
Projection directory : Output/kopa/current
sp.name : kopa
expl.var.names : temp_max_august temp_min temp_wet_quart temp_season
prec_wet_quart prec_season
modeling.id : AllModels ( Output/kopa/kopa.AllModels.models.out )
models.projected :
kopa_PA1_RUN1_GAM, kopa_PA1_RUN1_MARS, kopa_PA1_RUN1_MAXNET, kopa_PA1_RUN1_GBM, kopa_PA1_RUN1_RF, kopa_PA2_RUN1_GAM, kopa_PA2_RUN1_MARS, kopa_PA2_RUN1_MAXNET, kopa_PA2_RUN1_GBM, kopa_PA2_RUN1_RF, kopa_PA3_RUN1_GAM, kopa_PA3_RUN1_MARS, kopa_PA3_RUN1_MAXNET, kopa_PA3_RUN1_GBM, kopa_PA3_RUN1_RF
available binary projection : TSS, ROC
available filtered projection : TSS, ROC
-=-=-=-=-=-=-=-=-=-=-=-=-=-=-=-=-=-=-=-=-=-=-=-=-=-=-=-=-=-=-=-=-=-=-=-=-=-=-=-=
Figure 18.14: Projection de la distribution potentielle contemporaine sur l’Europe, selon les 6 algorithmes et les 3 runs.
Figure 18.15: Projection de la distribution potentielle contemporaine sur l’Europe, selon les 6 algorithmes et les 3 runs.
-=-=-=-=-=-=-=-=-=-=-=-=-=-= BIOMOD.projection.out -=-=-=-=-=-=-=-=-=-=-=-=-=-=
Projection directory : Output/kopa/current
sp.name : kopa
expl.var.names : temp_max_august temp_min temp_wet_quart temp_season
prec_wet_quart prec_season
modeling.id : AllModels ( Output/kopa/kopa.AllModels.ensemble.models.out )
models.projected :
kopa_EMcvByTSS_mergedData_mergedRun_mergedAlgo, kopa_EMwmeanByTSS_mergedData_mergedRun_mergedAlgo
-=-=-=-=-=-=-=-=-=-=-=-=-=-=-=-=-=-=-=-=-=-=-=-=-=-=-=-=-=-=-=-=-=-=-=-=-=-=-=-=
Figure 18.16: A) Projection de la distribution potentielle contemporaine (modèle d’ensemble) ; B) Incertitude associée à la projection.
18.3.2 Interpolation à l’échelle de la métropole
- → conditions climatiques favorables à fine échelle
On projette la niche climatique sur ce raster à fine échelle.
-=-=-=-=-=-=-=-=-=-=-=-=-=-= BIOMOD.projection.out -=-=-=-=-=-=-=-=-=-=-=-=-=-=
Projection directory : Output/kopa/cont_gre
sp.name : kopa
expl.var.names : temp_max_august temp_min temp_wet_quart temp_season
prec_wet_quart prec_season
modeling.id : AllModels ( Output/kopa/kopa.AllModels.models.out )
models.projected :
kopa_PA1_RUN1_GAM, kopa_PA1_RUN1_MARS, kopa_PA1_RUN1_MAXNET, kopa_PA1_RUN1_GBM, kopa_PA1_RUN1_RF, kopa_PA2_RUN1_GAM, kopa_PA2_RUN1_MARS, kopa_PA2_RUN1_MAXNET, kopa_PA2_RUN1_GBM, kopa_PA2_RUN1_RF, kopa_PA3_RUN1_GAM, kopa_PA3_RUN1_MARS, kopa_PA3_RUN1_MAXNET, kopa_PA3_RUN1_GBM, kopa_PA3_RUN1_RF
available binary projection : TSS, ROC
available filtered projection : TSS, ROC
-=-=-=-=-=-=-=-=-=-=-=-=-=-=-=-=-=-=-=-=-=-=-=-=-=-=-=-=-=-=-=-=-=-=-=-=-=-=-=-=
Figure 18.17: Projection de la distribution potentielle contemporaine sur la métropole de Grenoble, selon les 6 algorithmes et les 3 runs.
Figure 18.18: Projection de la distribution potentielle contemporaine sur la métropole de Grenoble, selon les 6 algorithmes et les 3 runs.
-=-=-=-=-=-=-=-=-=-=-=-=-=-= BIOMOD.projection.out -=-=-=-=-=-=-=-=-=-=-=-=-=-=
Projection directory : Output/kopa/cont_gre
sp.name : kopa
expl.var.names : temp_max_august temp_min temp_wet_quart temp_season
prec_wet_quart prec_season
modeling.id : AllModels ( Output/kopa/kopa.AllModels.ensemble.models.out )
models.projected :
kopa_EMcvByTSS_mergedData_mergedRun_mergedAlgo, kopa_EMwmeanByTSS_mergedData_mergedRun_mergedAlgo
-=-=-=-=-=-=-=-=-=-=-=-=-=-=-=-=-=-=-=-=-=-=-=-=-=-=-=-=-=-=-=-=-=-=-=-=-=-=-=-=
Figure 18.19: A) Projection de la distribution potentielle contemporaine (modèle d’ensemble) sur la métropole de Grenoble ; B) Incertitude associée à la projection.
18.3.3 Distributions potentielles futures
Futur : Projection à l’échelle de l’Europe jusqu’à l’horizon 2100
Toutes les fenêtres temporelles × scénarios pour le GCM « IPSL-CM6A-LR »
- SSP1-2.6




Figure 18.20: Projection des distributions potentielles futures jusqu’à l’horizon 2100 sous le scénario SSP1-2.6 (modèle d’ensemble).
On obtient pour la métrique TSS une carte unique de moyenne pondérée sur les algorithmes et sur les jeux de pseudo-absences.
- SSP2-4.5




Figure 18.21: Projection des distributions potentielles futures jusqu’à l’horizon 2100 sous le scénario SSP2-4.5 (modèle d’ensemble).
- SSP3-7.0




Figure 18.22: Projection des distributions potentielles futures jusqu’à l’horizon 2100 sous le scénario SSP3-7.0 (modèle d’ensemble).
- SSP5-8.5




Figure 18.23: Projection des distributions potentielles futures jusqu’à l’horizon 2100 sous le scénario SSP5-8.5 (modèle d’ensemble).
18.4 Inférence à l’échelle de la métropole
- Croisement avec températures de surface 2019 (fournie par la métropole)
- → conditions climatiques favorables à fine échelle
- à peu près 7 pixels × 9 (WorldClim)
18.4.1 Distributions potentielles futures
Même chose que précédemment mais sur les rasters de Grenoble
- SSP1-2.6




Figure 18.24: Projection des distributions potentielles contemporaine et futures jusqu’à l’horizon 2100 sous le scénario SSP5-8.5 (modèle d’ensemble, GCM IPSL).
- SSP2-4.5




Figure 18.25: Projection des distributions potentielles contemporaine et futures jusqu’à l’horizon 2100 sous le scénario SSP5-8.5 (modèle d’ensemble, GCM IPSL).
- SSP3-7.0




Figure 18.26: Projection des distributions potentielles contemporaine et futures jusqu’à l’horizon 2100 sous le scénario SSP5-8.5 (modèle d’ensemble, GCM IPSL).
- SSP5-8.5




Figure 18.27: Projection des distributions potentielles contemporaine et futures jusqu’à l’horizon 2100 sous le scénario SSP5-8.5 (modèle d’ensemble, GCM IPSL).
18.4.2 Évolution temporelle
# A tibble: 17 × 8
min q1 median mean q3 max ssp year
<table[1d]> <table[1d]> <table[1d]> <table[1d]> <table[1d]> <tab> <fct> <dbl>
1 107 354 506 505.4244 702 845 0 2000
2 160 412 726 625.4458 807 864 126 2040
3 153 375 723 612.3106 809 859 126 2060
4 164 398 768 644.7360 831 861 126 2080
5 159 368 717 606.2413 805 856 126 2100
6 191 459 744 653.3007 802 861 245 2040
7 156 376 766 631.7791 829 861 245 2060
8 169 376 795 648.3963 831 862 245 2080
9 157 349 737 605.7101 828 859 245 2100
10 160 404 725 620.5164 804 864 370 2040
11 154 368 747 619.3212 815 856 370 2060
12 150 337 740 602.2933 822 856 370 2080
13 168 318 468 524.4416 772 858 370 2100
14 162 413 747 638.8951 825 862 585 2040
15 164 384 786 647.3826 830 858 585 2060
16 143 330 510 573.1607 828 858 585 2080
17 147 292 339 362.5808 402 847 585 2100
Figure 18.28: Évolution de la favorabilité climatique au cours du XXIème siècle. Le point représente la médiane sur l’étendue de la métropole (i.e. tous les pixels de la carte) ; le trait gras représente 50 % des données intermédiaires (espace inter-quartile) ; le trait fin représente le reste des données du minimum au maximum.