116 Betula pubescens
116.1 Données d’occurrences GBIF
Collecte des données du GBIF :
<<gbif download metadata>>
Status: SUCCEEDED
DOI: 10.15468/dl.an8qhu
Format: SIMPLE_CSV
Download key: 0252470-230224095556074
Created: 2023-05-20T15:45:22.458+00:00
Modified: 2023-05-20T15:50:17.794+00:00
Download link: https://api.gbif.org/v1/occurrence/download/request/0252470-230224095556074.zip
Total records: 279028
Conversion en objets géographiques (format Simple feature de sf) et
exploration rapide des données (classe du jeu de données et premières lignes du
tableau) :
Simple feature collection with 279028 features and 50 fields
Attribute-geometry relationship: 50 constant, 0 aggregate, 0 identity
Geometry type: POINT
Dimension: XY
Bounding box: xmin: -124.034915 ymin: -37.3833 xmax: 144.575 ymax: 71.98728
Geodetic CRS: WGS 84
# A tibble: 279,028 × 51
gbifID datasetKey occurrenceID kingdom phylum class order family genus species infraspecificEpithet
* <int64> <chr> <chr> <chr> <chr> <chr> <chr> <chr> <chr> <chr> <chr>
1 2e9 835613da-… 7549C4B6-A8… Plantae Trach… Magn… Faga… Betul… Betu… Betula… ""
2 2e9 835613da-… 6A709B27-E7… Plantae Trach… Magn… Faga… Betul… Betu… Betula… ""
3 2e9 835613da-… 8C66504A-AB… Plantae Trach… Magn… Faga… Betul… Betu… Betula… ""
4 2e9 835613da-… E9311E7F-2C… Plantae Trach… Magn… Faga… Betul… Betu… Betula… ""
5 2e9 835613da-… F2573F55-97… Plantae Trach… Magn… Faga… Betul… Betu… Betula… ""
6 2e9 835613da-… 9903975C-F0… Plantae Trach… Magn… Faga… Betul… Betu… Betula… ""
7 2e9 835613da-… BF0426E6-FB… Plantae Trach… Magn… Faga… Betul… Betu… Betula… ""
8 2e9 835613da-… 63B8D868-67… Plantae Trach… Magn… Faga… Betul… Betu… Betula… ""
9 2e9 835613da-… EC218B99-16… Plantae Trach… Magn… Faga… Betul… Betu… Betula… ""
10 2e9 835613da-… 4F99A563-26… Plantae Trach… Magn… Faga… Betul… Betu… Betula… ""
# ℹ 279,018 more rows
# ℹ 40 more variables: taxonRank <chr>, scientificName <chr>, verbatimScientificName <chr>,
# verbatimScientificNameAuthorship <chr>, countryCode <chr>, locality <chr>, stateProvince <chr>,
# occurrenceStatus <chr>, individualCount <int>, publishingOrgKey <chr>, decimalLatitude <dbl>,
# decimalLongitude <dbl>, coordinateUncertaintyInMeters <dbl>, coordinatePrecision <dbl>,
# elevation <dbl>, elevationAccuracy <dbl>, depth <dbl>, depthAccuracy <dbl>, eventDate <dttm>,
# day <int>, month <int>, year <int>, taxonKey <int>, speciesKey <int>, basisOfRecord <chr>, …
Il y a 279 028 occurrences dans le jeu de données. On les affiche sur la carte du monde :
Figure 116.1: Occurrences de Betula pubescens dans le monde.
116.1.1 Données par région
On évalue la proportion d’occurrences dans chaque région, en utilisant les 3 masques créés précédemment. Si on a au moins 50 % des occurrences dans une région, on peut continuer en travaillant uniquement sur ces données. Sinon, on vérifie qu’au moins 67 % des données tombent dans l’ensemble des régions, et on prend la région la plus représentée. Au final, s’il s’agit d’une espèce endémique d’Europe, on n’a pas besoin de manipulation supplémentaire.
[1] 0.9908073742
[1] 0.0001110999613
[1] 0.003268489184
Figure 116.2: Occurrence de Betula pubescens dans la région d’endémisme.
116.1.2 Licences
On s’intéresse ici au problème particulier des licences :
CC_BY_4_0 CC_BY_NC_4_0 CC0_1_0
192255 38141 46067
[1] 86.20394049
Figure 116.3: Occurrence de Betula pubescens dans la région d’endémisme, selon la licence : CC BY-NC en bleu ; CC0 et CC BY en orange.
Idéalement, on aimerait avoir au moins 50 % de données vraiment libres
d’utilisation (c’est-à-dire sans la clause -NC). On continue en supprimant les
données en CC BY-NC.
[1] 238322
116.1.3 Sous-échantillonnage
Si le jeu de données contient 25 000 occurrences ou plus, on procède au sous-échantillonnage aléatoire pour en conserver un maximum de 25 000.
Simple feature collection with 25000 features and 50 fields
Attribute-geometry relationship: 50 constant, 0 aggregate, 0 identity
Geometry type: POINT
Dimension: XY
Bounding box: xmin: -10.137485 ymin: 40.674401 xmax: 46.94 ymax: 70.9381
Geodetic CRS: WGS 84
# A tibble: 25,000 × 51
gbifID datasetKey occurrenceID kingdom phylum class order family genus species infraspecificEpithet
<int64> <chr> <chr> <chr> <chr> <chr> <chr> <chr> <chr> <chr> <chr>
1 1.e9 b124e1e0-… urn:uuid:c3… Plantae Trach… Magn… Faga… Betul… Betu… Betula… "pubescens"
2 1 e9 75956ee6-… http://cbnb… Plantae Trach… Magn… Faga… Betul… Betu… Betula… ""
3 1 e9 740df67d-… A2EACA0F-C0… Plantae Trach… Magn… Faga… Betul… Betu… Betula… ""
4 2 e9 67fabcac-… 8069063 Plantae Trach… Magn… Faga… Betul… Betu… Betula… ""
5 1.e9 38b4c89f-… urn:lsid:ar… Plantae Trach… Magn… Faga… Betul… Betu… Betula… ""
6 3.e9 fef99f8e-… 13c6e8dd-98… Plantae Trach… Magn… Faga… Betul… Betu… Betula… ""
7 1 e9 740df67d-… 3CCE1560-51… Plantae Trach… Magn… Faga… Betul… Betu… Betula… ""
8 1 e9 75956ee6-… http://cbnm… Plantae Trach… Magn… Faga… Betul… Betu… Betula… ""
9 2 e9 67fabcac-… 15718942 Plantae Trach… Magn… Faga… Betul… Betu… Betula… ""
10 2 e9 67fabcac-… 21965258 Plantae Trach… Magn… Faga… Betul… Betu… Betula… ""
# ℹ 24,990 more rows
# ℹ 40 more variables: taxonRank <chr>, scientificName <chr>, verbatimScientificName <chr>,
# verbatimScientificNameAuthorship <chr>, countryCode <chr>, locality <chr>, stateProvince <chr>,
# occurrenceStatus <chr>, individualCount <int>, publishingOrgKey <chr>, decimalLatitude <dbl>,
# decimalLongitude <dbl>, coordinateUncertaintyInMeters <dbl>, coordinatePrecision <dbl>,
# elevation <dbl>, elevationAccuracy <dbl>, depth <dbl>, depthAccuracy <dbl>, eventDate <dttm>,
# day <int>, month <int>, year <int>, taxonKey <int>, speciesKey <int>, basisOfRecord <chr>, …
116.2 Modélisation de la niche climatique
116.2.1 Préparer les données
Organisation des données d’entrées (occurrences et données environnementales) et des données produites de pseudo-absences :
class : SpatVector
geometry : points
dimensions : 25000, 0 (geometries, attributes)
extent : -10.13748, 46.94, 40.6744, 70.9381 (xmin, xmax, ymin, ymax)
coord. ref. : lon/lat WGS 84 (EPSG:4326)
-=-=-=-=-=-=-=-=-=-=-=-=-=-=-= bepu Data Formating -=-=-=-=-=-=-=-=-=-=-=-=-=-=-=
! Response variable is considered as only presences... Is it really what you want?
! No data has been set aside for modeling evaluation
!!! Some data are located in the same raster cell.
Please set `filter.raster = TRUE` if you want an automatic filtering.
Checking Pseudo-absence selection arguments...
> random pseudo absences selection
> Pseudo absences are selected in explanatory variables
! Some NAs have been automatically removed from your data
!!! Some data are located in the same raster cell.
Please set `filter.raster = TRUE` if you want an automatic filtering.
-=-=-=-=-=-=-=-=-=-=-=-=-=-=-=-=-=-= Done -=-=-=-=-=-=-=-=-=-=-=-=-=-=-=-=-=-=
-=-=-=-=-=-=-=-=-=-=-=-=-=-= BIOMOD.formated.data -=-=-=-=-=-=-=-=-=-=-=-=-=-=
dir.name = Output
sp.name = bepu
24943 presences, 0 true absences and 72851 undefined points in dataset
6 explanatory variables
temp_max_august temp_min temp_wet_quart temp_season
Min. : 0.50 Min. :-22.084 Min. :-9.616 Min. : 0.0
1st Qu.:19.40 1st Qu.:-10.116 1st Qu.: 8.371 1st Qu.: 606.7
Median :22.10 Median : -4.116 Median :12.381 Median : 750.9
Mean :24.03 Mean : -4.873 Mean :11.828 Mean : 762.6
3rd Qu.:27.86 3rd Qu.: 0.436 3rd Qu.:15.758 3rd Qu.: 910.2
Max. :45.91 Max. : 12.400 Max. :25.944 Max. :1380.9
prec_wet_quart prec_season
Min. : 3.0 Min. : 4.496
1st Qu.: 177.0 1st Qu.: 23.503
Median : 215.0 Median : 31.256
Mean : 221.3 Mean : 35.803
3rd Qu.: 251.0 3rd Qu.: 39.414
Max. :1257.0 Max. :122.927
-=-=-=-=-=-=-=-=-=-=-=-=-=-=-=-=-=-=-=-=-=-=-=-=-=-=-=-=-=-=-=-=-=-=-=-=-=-=-=-=
On visualise les pseudo-absences :
Figure 116.5: Les données d’occurrences (en haut à gauche) et les trois jeux de données aléatoires de pseudo-absences.
$data.vect
class : SpatVector
geometry : points
dimensions : 174772, 2 (geometries, attributes)
extent : -10.47917, 46.97917, 29.02083, 70.97917 (xmin, xmax, ymin, ymax)
coord. ref. :
names : resp dataset
type : <num> <chr>
values : 10 Initial dataset
10 Initial dataset
10 Initial dataset
$data.label
9 10
"**Presences**" "Presences (calibration)"
11 12
"Presences (validation)" "Presences (evaluation)"
19 20
"**True Absences**" "True Absences (calibration)"
21 22
"True Absences (validation)" "True Absences (evaluation)"
29 30
"**Pseudo-Absences**" "Pseudo-Absences (calibration)"
31 1
"Pseudo-Absences (validation)" "Background"
$data.plot
Figure 116.6: Les données d’occurrences (en haut à gauche) et les trois jeux de données aléatoires de pseudo-absences.
116.2.2 Modèles individuels de niche
-=-=-=-=-=-=-=-=-=-=-=-=-=-=-= Build Single Models -=-=-=-=-=-=-=-=-=-=-=-=-=-=-=
Checking Models arguments...
Creating suitable Workdir...
! Weights where automatically defined for bepu_PA1 to rise a 0.5 prevalence !
! Weights where automatically defined for bepu_PA2 to rise a 0.5 prevalence !
! Weights where automatically defined for bepu_PA3 to rise a 0.5 prevalence !
-=-=-=-=-=-=-=-=-=-=-=-=-=-= bepu Modeling Summary -=-=-=-=-=-=-=-=-=-=-=-=-=-=
6 environmental variables ( temp_max_august temp_min temp_wet_quart temp_season prec_wet_quart prec_season )
Number of evaluation repetitions : 1
Models selected : GAM MARS MAXNET GBM ANN RF
Total number of model runs: 18
-=-=-=-=-=-=-=-=-=-=-=-=-=-=-=-=-=-=-=-=-=-=-=-=-=-=-=-=-=-=-=-=-=-=-=-=-=-=-=-=
-=-=-=- Run : bepu_PA1
-=-=-=--=-=-=- bepu_PA1_RUN1
-=-=-=- Run : bepu_PA2
-=-=-=--=-=-=- bepu_PA2_RUN1
-=-=-=- Run : bepu_PA3
-=-=-=--=-=-=- bepu_PA3_RUN1
-=-=-=-=-=-=-=-=-=-=-=-=-=-=-=-=-=-= Done -=-=-=-=-=-=-=-=-=-=-=-=-=-=-=-=-=-=
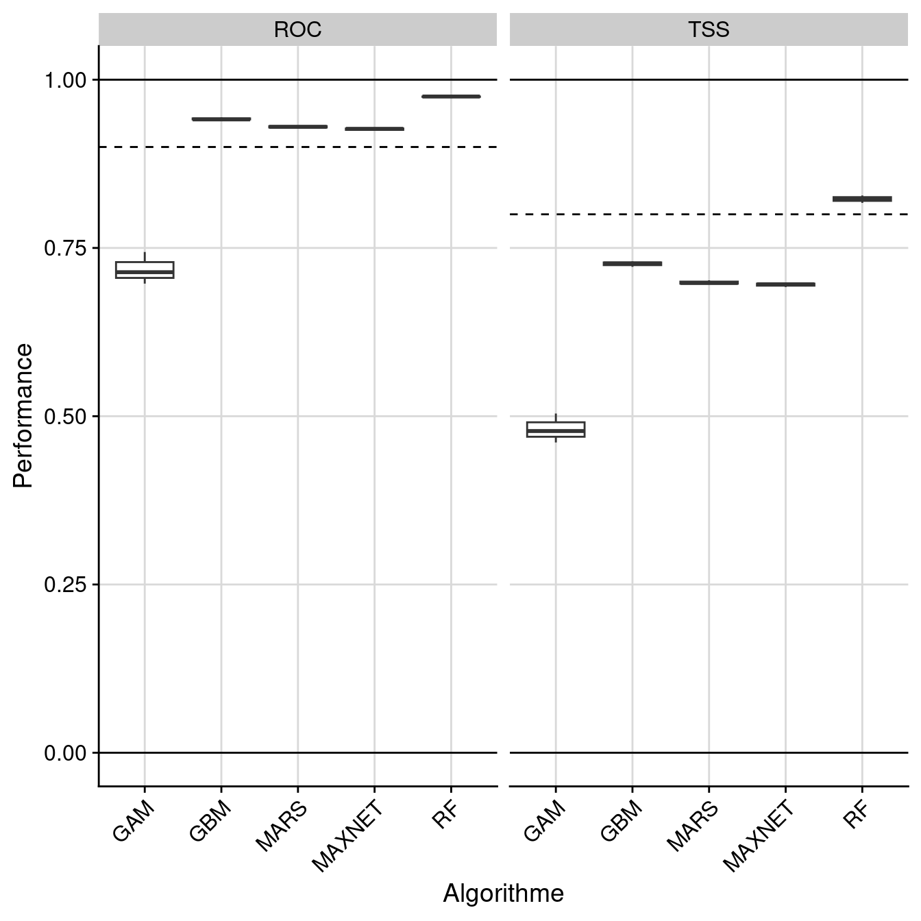
116.2.2.1 Évaluation de la performance
full.name PA run algo metric.eval cutoff sensitivity
1 bepu_PA1_RUN1_GAM PA1 RUN1 GAM TSS 545.0 88.935
2 bepu_PA1_RUN1_GAM PA1 RUN1 GAM ROC 537.5 89.366
3 bepu_PA1_RUN1_MARS PA1 RUN1 MARS TSS 443.0 90.964
4 bepu_PA1_RUN1_MARS PA1 RUN1 MARS ROC 438.5 91.250
5 bepu_PA1_RUN1_MAXNET PA1 RUN1 MAXNET TSS 378.0 90.784
6 bepu_PA1_RUN1_MAXNET PA1 RUN1 MAXNET ROC 378.5 90.648
specificity calibration validation evaluation
1 62.470 0.514 0.504 NA
2 62.090 0.748 0.744 NA
3 79.370 0.704 0.698 NA
4 79.155 0.930 0.930 NA
5 79.230 0.701 0.692 NA
6 79.425 0.926 0.924 NA
Figure 116.7: Évaluation de la performance des modèles individuels : True Skill Statistic & aire sous la courbe de ROC.
116.2.2.2 Importance des variables environnementales
full.name PA run algo expl.var rand var.imp
1 bepu_PA1_RUN1_GAM PA1 RUN1 GAM temp_max_august 1 0.548694
2 bepu_PA1_RUN1_GAM PA1 RUN1 GAM temp_min 1 0.169725
3 bepu_PA1_RUN1_GAM PA1 RUN1 GAM temp_wet_quart 1 0.043442
4 bepu_PA1_RUN1_GAM PA1 RUN1 GAM temp_season 1 0.394406
5 bepu_PA1_RUN1_GAM PA1 RUN1 GAM prec_wet_quart 1 0.017697
6 bepu_PA1_RUN1_GAM PA1 RUN1 GAM prec_season 1 0.195693
Figure 116.8: Pourcentage de variance expliquée pour chaque variable, décomposé par algorithme.
Figure 116.9: Pourcentage de variance expliquée pour chaque variable, décomposé par variable.
116.2.3 Modèles d’ensemble de niche
Seulement modèles avec TSS > 0.8
-=-=-=-=-=-=-=-=-=-=-=-=-= BIOMOD.ensemble.models.out -=-=-=-=-=-=-=-=-=-=-=-=-=
sp.name : bepu
expl.var.names : temp_max_august temp_min temp_wet_quart temp_season
prec_wet_quart prec_season
models computed:
bepu_EMcvByTSS_mergedData_mergedRun_mergedAlgo, bepu_EMwmeanByTSS_mergedData_mergedRun_mergedAlgo
models failed: none
-=-=-=-=-=-=-=-=-=-=-=-=-=-=-=-=-=-=-=-=-=-=-=-=-=-=-=-=-=-=-=-=-=-=-=-=-=-=-=-=
116.2.3.1 Évaluation de la qualité
full.name merged.by.PA merged.by.run
1 bepu_EMwmeanByTSS_mergedData_mergedRun_mergedAlgo mergedData mergedRun
2 bepu_EMwmeanByTSS_mergedData_mergedRun_mergedAlgo mergedData mergedRun
merged.by.algo filtered.by algo metric.eval cutoff sensitivity specificity
1 mergedAlgo TSS EMwmean TSS 626.0 96.263 95.566
2 mergedAlgo TSS EMwmean ROC 628.5 96.203 95.639
calibration validation evaluation
1 0.918 NA NA
2 0.994 NA NA
Figure 116.11: Évaluation de la qualité du modèle d’ensemble : Aire sous la courbe de ROC & True Skill Statistic.
full.name merged.by.PA merged.by.run
1 bepu_EMcvByTSS_mergedData_mergedRun_mergedAlgo mergedData mergedRun
2 bepu_EMcvByTSS_mergedData_mergedRun_mergedAlgo mergedData mergedRun
3 bepu_EMcvByTSS_mergedData_mergedRun_mergedAlgo mergedData mergedRun
4 bepu_EMcvByTSS_mergedData_mergedRun_mergedAlgo mergedData mergedRun
5 bepu_EMcvByTSS_mergedData_mergedRun_mergedAlgo mergedData mergedRun
6 bepu_EMcvByTSS_mergedData_mergedRun_mergedAlgo mergedData mergedRun
merged.by.algo filtered.by algo expl.var rand var.imp
1 mergedAlgo TSS EMcv temp_max_august 1 0.591844
2 mergedAlgo TSS EMcv temp_min 1 0.460156
3 mergedAlgo TSS EMcv temp_wet_quart 1 0.395085
4 mergedAlgo TSS EMcv temp_season 1 0.487110
5 mergedAlgo TSS EMcv prec_wet_quart 1 0.339310
6 mergedAlgo TSS EMcv prec_season 1 0.398324
Par variable :
Figure 116.12: Pourcentage de variance expliquée par variable dans le modèle d’ensemble.
Figure 116.13: Courbes de réponse de chaque variable climatique dans le modèle d’ensemble.
116.3 Projections
116.3.1 Distribution potentielle contemporaine
Contemporaine : Cartographie des observations sur couches climatiques Extraction des conditions climatiques favorables
-=-=-=-=-=-=-=-=-=-=-=-=-=-= BIOMOD.projection.out -=-=-=-=-=-=-=-=-=-=-=-=-=-=
Projection directory : Output/bepu/current
sp.name : bepu
expl.var.names : temp_max_august temp_min temp_wet_quart temp_season
prec_wet_quart prec_season
modeling.id : AllModels ( Output/bepu/bepu.AllModels.models.out )
models.projected :
bepu_PA1_RUN1_GAM, bepu_PA1_RUN1_MARS, bepu_PA1_RUN1_MAXNET, bepu_PA1_RUN1_GBM, bepu_PA1_RUN1_RF, bepu_PA2_RUN1_GAM, bepu_PA2_RUN1_MARS, bepu_PA2_RUN1_MAXNET, bepu_PA2_RUN1_GBM, bepu_PA2_RUN1_RF, bepu_PA3_RUN1_GAM, bepu_PA3_RUN1_MARS, bepu_PA3_RUN1_MAXNET, bepu_PA3_RUN1_GBM, bepu_PA3_RUN1_RF
available binary projection : TSS, ROC
available filtered projection : TSS, ROC
-=-=-=-=-=-=-=-=-=-=-=-=-=-=-=-=-=-=-=-=-=-=-=-=-=-=-=-=-=-=-=-=-=-=-=-=-=-=-=-=
Figure 116.14: Projection de la distribution potentielle contemporaine sur l’Europe, selon les 6 algorithmes et les 3 runs.
Figure 116.15: Projection de la distribution potentielle contemporaine sur l’Europe, selon les 6 algorithmes et les 3 runs.
-=-=-=-=-=-=-=-=-=-=-=-=-=-= BIOMOD.projection.out -=-=-=-=-=-=-=-=-=-=-=-=-=-=
Projection directory : Output/bepu/current
sp.name : bepu
expl.var.names : temp_max_august temp_min temp_wet_quart temp_season
prec_wet_quart prec_season
modeling.id : AllModels ( Output/bepu/bepu.AllModels.ensemble.models.out )
models.projected :
bepu_EMcvByTSS_mergedData_mergedRun_mergedAlgo, bepu_EMwmeanByTSS_mergedData_mergedRun_mergedAlgo
-=-=-=-=-=-=-=-=-=-=-=-=-=-=-=-=-=-=-=-=-=-=-=-=-=-=-=-=-=-=-=-=-=-=-=-=-=-=-=-=
Figure 116.16: A) Projection de la distribution potentielle contemporaine (modèle d’ensemble) ; B) Incertitude associée à la projection.
116.3.2 Interpolation à l’échelle de la métropole
- → conditions climatiques favorables à fine échelle
On projette la niche climatique sur ce raster à fine échelle.
-=-=-=-=-=-=-=-=-=-=-=-=-=-= BIOMOD.projection.out -=-=-=-=-=-=-=-=-=-=-=-=-=-=
Projection directory : Output/bepu/cont_gre
sp.name : bepu
expl.var.names : temp_max_august temp_min temp_wet_quart temp_season
prec_wet_quart prec_season
modeling.id : AllModels ( Output/bepu/bepu.AllModels.models.out )
models.projected :
bepu_PA1_RUN1_GAM, bepu_PA1_RUN1_MARS, bepu_PA1_RUN1_MAXNET, bepu_PA1_RUN1_GBM, bepu_PA1_RUN1_RF, bepu_PA2_RUN1_GAM, bepu_PA2_RUN1_MARS, bepu_PA2_RUN1_MAXNET, bepu_PA2_RUN1_GBM, bepu_PA2_RUN1_RF, bepu_PA3_RUN1_GAM, bepu_PA3_RUN1_MARS, bepu_PA3_RUN1_MAXNET, bepu_PA3_RUN1_GBM, bepu_PA3_RUN1_RF
available binary projection : TSS, ROC
available filtered projection : TSS, ROC
-=-=-=-=-=-=-=-=-=-=-=-=-=-=-=-=-=-=-=-=-=-=-=-=-=-=-=-=-=-=-=-=-=-=-=-=-=-=-=-=
Figure 116.17: Projection de la distribution potentielle contemporaine sur la métropole de Grenoble, selon les 6 algorithmes et les 3 runs.
Figure 116.18: Projection de la distribution potentielle contemporaine sur la métropole de Grenoble, selon les 6 algorithmes et les 3 runs.
-=-=-=-=-=-=-=-=-=-=-=-=-=-= BIOMOD.projection.out -=-=-=-=-=-=-=-=-=-=-=-=-=-=
Projection directory : Output/bepu/cont_gre
sp.name : bepu
expl.var.names : temp_max_august temp_min temp_wet_quart temp_season
prec_wet_quart prec_season
modeling.id : AllModels ( Output/bepu/bepu.AllModels.ensemble.models.out )
models.projected :
bepu_EMcvByTSS_mergedData_mergedRun_mergedAlgo, bepu_EMwmeanByTSS_mergedData_mergedRun_mergedAlgo
-=-=-=-=-=-=-=-=-=-=-=-=-=-=-=-=-=-=-=-=-=-=-=-=-=-=-=-=-=-=-=-=-=-=-=-=-=-=-=-=
Figure 116.19: A) Projection de la distribution potentielle contemporaine (modèle d’ensemble) sur la métropole de Grenoble ; B) Incertitude associée à la projection.
116.3.3 Distributions potentielles futures
Futur : Projection à l’échelle de l’Europe jusqu’à l’horizon 2100
Toutes les fenêtres temporelles × scénarios pour le GCM « IPSL-CM6A-LR »
- SSP1-2.6




Figure 116.20: Projection des distributions potentielles futures jusqu’à l’horizon 2100 sous le scénario SSP1-2.6 (modèle d’ensemble).
On obtient pour la métrique TSS une carte unique de moyenne pondérée sur les algorithmes et sur les jeux de pseudo-absences.
- SSP2-4.5




Figure 116.21: Projection des distributions potentielles futures jusqu’à l’horizon 2100 sous le scénario SSP2-4.5 (modèle d’ensemble).
- SSP3-7.0




Figure 116.22: Projection des distributions potentielles futures jusqu’à l’horizon 2100 sous le scénario SSP3-7.0 (modèle d’ensemble).
- SSP5-8.5




Figure 116.23: Projection des distributions potentielles futures jusqu’à l’horizon 2100 sous le scénario SSP5-8.5 (modèle d’ensemble).
116.4 Inférence à l’échelle de la métropole
- Croisement avec températures de surface 2019 (fournie par la métropole)
- → conditions climatiques favorables à fine échelle
- à peu près 7 pixels × 9 (WorldClim)
116.4.1 Distributions potentielles futures
Même chose que précédemment mais sur les rasters de Grenoble
- SSP1-2.6




Figure 116.24: Projection des distributions potentielles contemporaine et futures jusqu’à l’horizon 2100 sous le scénario SSP5-8.5 (modèle d’ensemble, GCM IPSL).
- SSP2-4.5




Figure 116.25: Projection des distributions potentielles contemporaine et futures jusqu’à l’horizon 2100 sous le scénario SSP5-8.5 (modèle d’ensemble, GCM IPSL).
- SSP3-7.0




Figure 116.26: Projection des distributions potentielles contemporaine et futures jusqu’à l’horizon 2100 sous le scénario SSP5-8.5 (modèle d’ensemble, GCM IPSL).
- SSP5-8.5



Figure 116.27: Projection des distributions potentielles contemporaine et futures jusqu’à l’horizon 2100 sous le scénario SSP5-8.5 (modèle d’ensemble, GCM IPSL).
116.4.2 Évolution temporelle
# A tibble: 17 × 8
min q1 median mean q3 max ssp year
<table[1d]> <table[1d]> <table[1d]> <table[1d]> <table[1d]> <tab> <fct> <dbl>
1 13 80 326 371.738940 636 982 0 2000
2 1 15 85 143.430740 256 663 126 2040
3 2 11 29 94.514363 176 571 126 2060
4 2 10 23 81.730493 143 564 126 2080
5 3 13 29 95.384132 184 551 126 2100
6 1 13 63 134.124724 248 621 245 2040
7 1 8 15 49.798007 75 386 245 2060
8 1 11 17 31.598233 26 342 245 2080
9 1 9 15 19.270546 22 245 245 2100
10 1 11 71 125.982366 229 632 370 2040
11 3 11 19 57.933026 89 412 370 2060
12 2 11 15 18.092709 23 230 370 2080
13 0 5 7 7.825036 10 45 370 2100
14 1 10 50 106.276537 205 623 585 2040
15 2 8 13 32.660867 27 296 585 2060
16 0 5 8 8.881445 12 69 585 2080
17 1 4 5 5.039422 6 35 585 2100
Figure 116.28: Évolution de la favorabilité climatique au cours du XXIème siècle. Le point représente la médiane sur l’étendue de la métropole (i.e. tous les pixels de la carte) ; le trait gras représente 50 % des données intermédiaires (espace inter-quartile) ; le trait fin représente le reste des données du minimum au maximum.