199 Crataegus azarolus
199.1 Données d’occurrences GBIF
Collecte des données du GBIF :
<<gbif download metadata>>
Status: SUCCEEDED
DOI: 10.15468/dl.bb8jyb
Format: SIMPLE_CSV
Download key: 0260803-230224095556074
Created: 2023-05-25T10:23:39.099+00:00
Modified: 2023-05-25T10:24:27.477+00:00
Download link: https://api.gbif.org/v1/occurrence/download/request/0260803-230224095556074.zip
Total records: 1795
Conversion en objets géographiques (format Simple feature de sf) et
exploration rapide des données (classe du jeu de données et premières lignes du
tableau) :
Simple feature collection with 1795 features and 50 fields
Attribute-geometry relationship: 50 constant, 0 aggregate, 0 identity
Geometry type: POINT
Dimension: XY
Bounding box: xmin: -8.761952 ymin: -38.2 xmax: 149.102222 ymax: 63.434
Geodetic CRS: WGS 84
# A tibble: 1,795 × 51
gbifID datasetKey occurrenceID kingdom phylum class order family genus species
* <int64> <chr> <chr> <chr> <chr> <chr> <chr> <chr> <chr> <chr>
1 895215683 834a4794-f762-11e… "6774F398-B… Plantae Trach… Magn… Rosa… Rosac… Crat… Cratae…
2 895193976 834a4794-f762-11e… "EC9B08C5-7… Plantae Trach… Magn… Rosa… Rosac… Crat… Cratae…
3 895187673 834a4794-f762-11e… "C5749E85-C… Plantae Trach… Magn… Rosa… Rosac… Crat… Cratae…
4 895187638 834a4794-f762-11e… "7894C23C-A… Plantae Trach… Magn… Rosa… Rosac… Crat… Cratae…
5 48922767 8582b50a-f762-11e… "" Plantae Trach… Magn… Rosa… Rosac… Crat… Cratae…
6 48892791 8582b50a-f762-11e… "" Plantae Trach… Magn… Rosa… Rosac… Crat… Cratae…
7 48882379 8582b50a-f762-11e… "" Plantae Trach… Magn… Rosa… Rosac… Crat… Cratae…
8 48849596 8582b50a-f762-11e… "" Plantae Trach… Magn… Rosa… Rosac… Crat… Cratae…
9 48823181 8582b50a-f762-11e… "" Plantae Trach… Magn… Rosa… Rosac… Crat… Cratae…
10 48798659 8582b50a-f762-11e… "" Plantae Trach… Magn… Rosa… Rosac… Crat… Cratae…
# ℹ 1,785 more rows
# ℹ 41 more variables: infraspecificEpithet <chr>, taxonRank <chr>, scientificName <chr>,
# verbatimScientificName <chr>, verbatimScientificNameAuthorship <chr>,
# countryCode <chr>, locality <chr>, stateProvince <chr>, occurrenceStatus <chr>,
# individualCount <int>, publishingOrgKey <chr>, decimalLatitude <dbl>,
# decimalLongitude <dbl>, coordinateUncertaintyInMeters <dbl>, coordinatePrecision <dbl>,
# elevation <dbl>, elevationAccuracy <dbl>, depth <dbl>, depthAccuracy <dbl>, …
Il y a 1 795 occurrences dans le jeu de données. On les affiche sur la carte du monde :
Figure 199.1: Occurrences de Crataegus azarolus dans le monde.
199.1.1 Données par région
On évalue la proportion d’occurrences dans chaque région, en utilisant les 3 masques créés précédemment. Si on a au moins 50 % des occurrences dans une région, on peut continuer en travaillant uniquement sur ces données. Sinon, on vérifie qu’au moins 67 % des données tombent dans l’ensemble des régions, et on prend la région la plus représentée. Au final, s’il s’agit d’une espèce endémique d’Europe, on n’a pas besoin de manipulation supplémentaire.
[1] 0.9793871866
[1] 0
[1] 0.002228412256
Figure 199.2: Occurrence de Crataegus azarolus dans la région d’endémisme.
199.1.2 Licences
On s’intéresse ici au problème particulier des licences :
CC_BY_4_0 CC_BY_NC_4_0 CC0_1_0
1533 217 8
[1] 87.65642776
Figure 199.3: Occurrence de Crataegus azarolus dans la région d’endémisme, selon la licence : CC BY-NC en bleu ; CC0 et CC BY en orange.
Idéalement, on aimerait avoir au moins 50 % de données vraiment libres
d’utilisation (c’est-à-dire sans la clause -NC). On continue en supprimant les
données en CC BY-NC.
[1] 1541
199.1.3 Sous-échantillonnage
Si le jeu de données contient 25 000 occurrences ou plus, on procède au sous-échantillonnage aléatoire pour en conserver un maximum de 25 000.
Simple feature collection with 1541 features and 50 fields
Attribute-geometry relationship: 50 constant, 0 aggregate, 0 identity
Geometry type: POINT
Dimension: XY
Bounding box: xmin: -8.761952 ymin: 31.412706 xmax: 44.729545 ymax: 63.434
Geodetic CRS: WGS 84
# A tibble: 1,541 × 51
gbifID datasetKey occurrenceID kingdom phylum class order family genus species
<int64> <chr> <chr> <chr> <chr> <chr> <chr> <chr> <chr> <chr>
1 48922767 8582b50a-f762-11e1… "" Plantae Trach… Magn… Rosa… Rosac… Crat… Cratae…
2 48892791 8582b50a-f762-11e1… "" Plantae Trach… Magn… Rosa… Rosac… Crat… Cratae…
3 48882379 8582b50a-f762-11e1… "" Plantae Trach… Magn… Rosa… Rosac… Crat… Cratae…
4 48849596 8582b50a-f762-11e1… "" Plantae Trach… Magn… Rosa… Rosac… Crat… Cratae…
5 48823181 8582b50a-f762-11e1… "" Plantae Trach… Magn… Rosa… Rosac… Crat… Cratae…
6 48798659 8582b50a-f762-11e1… "" Plantae Trach… Magn… Rosa… Rosac… Crat… Cratae…
7 48769213 8582b50a-f762-11e1… "" Plantae Trach… Magn… Rosa… Rosac… Crat… Cratae…
8 48762224 8582b50a-f762-11e1… "" Plantae Trach… Magn… Rosa… Rosac… Crat… Cratae…
9 48712281 8582b50a-f762-11e1… "" Plantae Trach… Magn… Rosa… Rosac… Crat… Cratae…
10 48700971 8582b50a-f762-11e1… "" Plantae Trach… Magn… Rosa… Rosac… Crat… Cratae…
# ℹ 1,531 more rows
# ℹ 41 more variables: infraspecificEpithet <chr>, taxonRank <chr>, scientificName <chr>,
# verbatimScientificName <chr>, verbatimScientificNameAuthorship <chr>,
# countryCode <chr>, locality <chr>, stateProvince <chr>, occurrenceStatus <chr>,
# individualCount <int>, publishingOrgKey <chr>, decimalLatitude <dbl>,
# decimalLongitude <dbl>, coordinateUncertaintyInMeters <dbl>, coordinatePrecision <dbl>,
# elevation <dbl>, elevationAccuracy <dbl>, depth <dbl>, depthAccuracy <dbl>, …
199.2 Modélisation de la niche climatique
199.2.1 Préparer les données
Organisation des données d’entrées (occurrences et données environnementales) et des données produites de pseudo-absences :
class : SpatVector
geometry : points
dimensions : 1541, 0 (geometries, attributes)
extent : -8.761952, 44.72955, 31.41271, 63.434 (xmin, xmax, ymin, ymax)
coord. ref. : lon/lat WGS 84 (EPSG:4326)
-=-=-=-=-=-=-=-=-=-=-=-=-=-=-= craz Data Formating -=-=-=-=-=-=-=-=-=-=-=-=-=-=-=
! Response variable is considered as only presences... Is it really what you want?
! No data has been set aside for modeling evaluation
!!! Some data are located in the same raster cell.
Please set `filter.raster = TRUE` if you want an automatic filtering.
Checking Pseudo-absence selection arguments...
> random pseudo absences selection
> Pseudo absences are selected in explanatory variables
! Some NAs have been automatically removed from your data
!!! Some data are located in the same raster cell.
Please set `filter.raster = TRUE` if you want an automatic filtering.
-=-=-=-=-=-=-=-=-=-=-=-=-=-=-=-=-=-= Done -=-=-=-=-=-=-=-=-=-=-=-=-=-=-=-=-=-=
-=-=-=-=-=-=-=-=-=-=-=-=-=-= BIOMOD.formated.data -=-=-=-=-=-=-=-=-=-=-=-=-=-=
dir.name = Output
sp.name = craz
1540 presences, 0 true absences and 4617 undefined points in dataset
6 explanatory variables
temp_max_august temp_min temp_wet_quart temp_season
Min. : 2.292 Min. :-21.564 Min. :-13.553 Min. : 282.3
1st Qu.:21.124 1st Qu.: -8.450 1st Qu.: 9.915 1st Qu.: 590.4
Median :26.632 Median : -1.104 Median : 12.100 Median : 716.7
Mean :26.022 Mean : -3.020 Mean : 12.244 Mean : 748.4
3rd Qu.:29.028 3rd Qu.: 3.328 3rd Qu.: 15.704 3rd Qu.: 896.1
Max. :44.932 Max. : 11.700 Max. : 23.219 Max. :1342.8
prec_wet_quart prec_season
Min. : 6.0 Min. : 8.117
1st Qu.: 180.0 1st Qu.: 27.217
Median : 210.0 Median : 33.459
Mean : 215.2 Mean : 38.815
3rd Qu.: 243.0 3rd Qu.: 42.787
Max. :1222.0 Max. :119.118
-=-=-=-=-=-=-=-=-=-=-=-=-=-=-=-=-=-=-=-=-=-=-=-=-=-=-=-=-=-=-=-=-=-=-=-=-=-=-=-=
On visualise les pseudo-absences :
Figure 199.5: Les données d’occurrences (en haut à gauche) et les trois jeux de données aléatoires de pseudo-absences.
$data.vect
class : SpatVector
geometry : points
dimensions : 10783, 2 (geometries, attributes)
extent : -10.02083, 46.97917, 29.02083, 70.9375 (xmin, xmax, ymin, ymax)
coord. ref. :
names : resp dataset
type : <num> <chr>
values : 10 Initial dataset
10 Initial dataset
10 Initial dataset
$data.label
9 10
"**Presences**" "Presences (calibration)"
11 12
"Presences (validation)" "Presences (evaluation)"
19 20
"**True Absences**" "True Absences (calibration)"
21 22
"True Absences (validation)" "True Absences (evaluation)"
29 30
"**Pseudo-Absences**" "Pseudo-Absences (calibration)"
31 1
"Pseudo-Absences (validation)" "Background"
$data.plot
Figure 199.6: Les données d’occurrences (en haut à gauche) et les trois jeux de données aléatoires de pseudo-absences.
199.2.2 Modèles individuels de niche
-=-=-=-=-=-=-=-=-=-=-=-=-=-=-= Build Single Models -=-=-=-=-=-=-=-=-=-=-=-=-=-=-=
Checking Models arguments...
Creating suitable Workdir...
! Weights where automatically defined for craz_PA1 to rise a 0.5 prevalence !
! Weights where automatically defined for craz_PA2 to rise a 0.5 prevalence !
! Weights where automatically defined for craz_PA3 to rise a 0.5 prevalence !
-=-=-=-=-=-=-=-=-=-=-=-=-=-= craz Modeling Summary -=-=-=-=-=-=-=-=-=-=-=-=-=-=
6 environmental variables ( temp_max_august temp_min temp_wet_quart temp_season prec_wet_quart prec_season )
Number of evaluation repetitions : 1
Models selected : GAM MARS MAXNET GBM ANN RF
Total number of model runs: 18
-=-=-=-=-=-=-=-=-=-=-=-=-=-=-=-=-=-=-=-=-=-=-=-=-=-=-=-=-=-=-=-=-=-=-=-=-=-=-=-=
-=-=-=- Run : craz_PA1
-=-=-=--=-=-=- craz_PA1_RUN1
-=-=-=- Run : craz_PA2
-=-=-=--=-=-=- craz_PA2_RUN1
-=-=-=- Run : craz_PA3
-=-=-=--=-=-=- craz_PA3_RUN1
-=-=-=-=-=-=-=-=-=-=-=-=-=-=-=-=-=-= Done -=-=-=-=-=-=-=-=-=-=-=-=-=-=-=-=-=-=
199.2.2.1 Évaluation de la performance
full.name PA run algo metric.eval cutoff sensitivity
1 craz_PA1_RUN1_GAM PA1 RUN1 GAM TSS 566.0 96.997
2 craz_PA1_RUN1_GAM PA1 RUN1 GAM ROC 553.5 97.078
3 craz_PA1_RUN1_MARS PA1 RUN1 MARS TSS 421.0 95.292
4 craz_PA1_RUN1_MARS PA1 RUN1 MARS ROC 413.5 95.373
5 craz_PA1_RUN1_MAXNET PA1 RUN1 MAXNET TSS 336.0 95.860
6 craz_PA1_RUN1_MAXNET PA1 RUN1 MAXNET ROC 335.5 95.860
specificity calibration validation evaluation
1 64.071 0.611 0.604 NA
2 63.990 0.818 0.815 NA
3 87.186 0.825 0.828 NA
4 87.105 0.970 0.970 NA
5 86.050 0.817 0.821 NA
6 86.050 0.966 0.970 NA
Figure 199.7: Évaluation de la performance des modèles individuels : True Skill Statistic & aire sous la courbe de ROC.
199.2.2.2 Importance des variables environnementales
full.name PA run algo expl.var rand var.imp
1 craz_PA1_RUN1_GAM PA1 RUN1 GAM temp_max_august 1 0.753184
2 craz_PA1_RUN1_GAM PA1 RUN1 GAM temp_min 1 0.047551
3 craz_PA1_RUN1_GAM PA1 RUN1 GAM temp_wet_quart 1 0.003659
4 craz_PA1_RUN1_GAM PA1 RUN1 GAM temp_season 1 0.713702
5 craz_PA1_RUN1_GAM PA1 RUN1 GAM prec_wet_quart 1 0.005060
6 craz_PA1_RUN1_GAM PA1 RUN1 GAM prec_season 1 0.000485
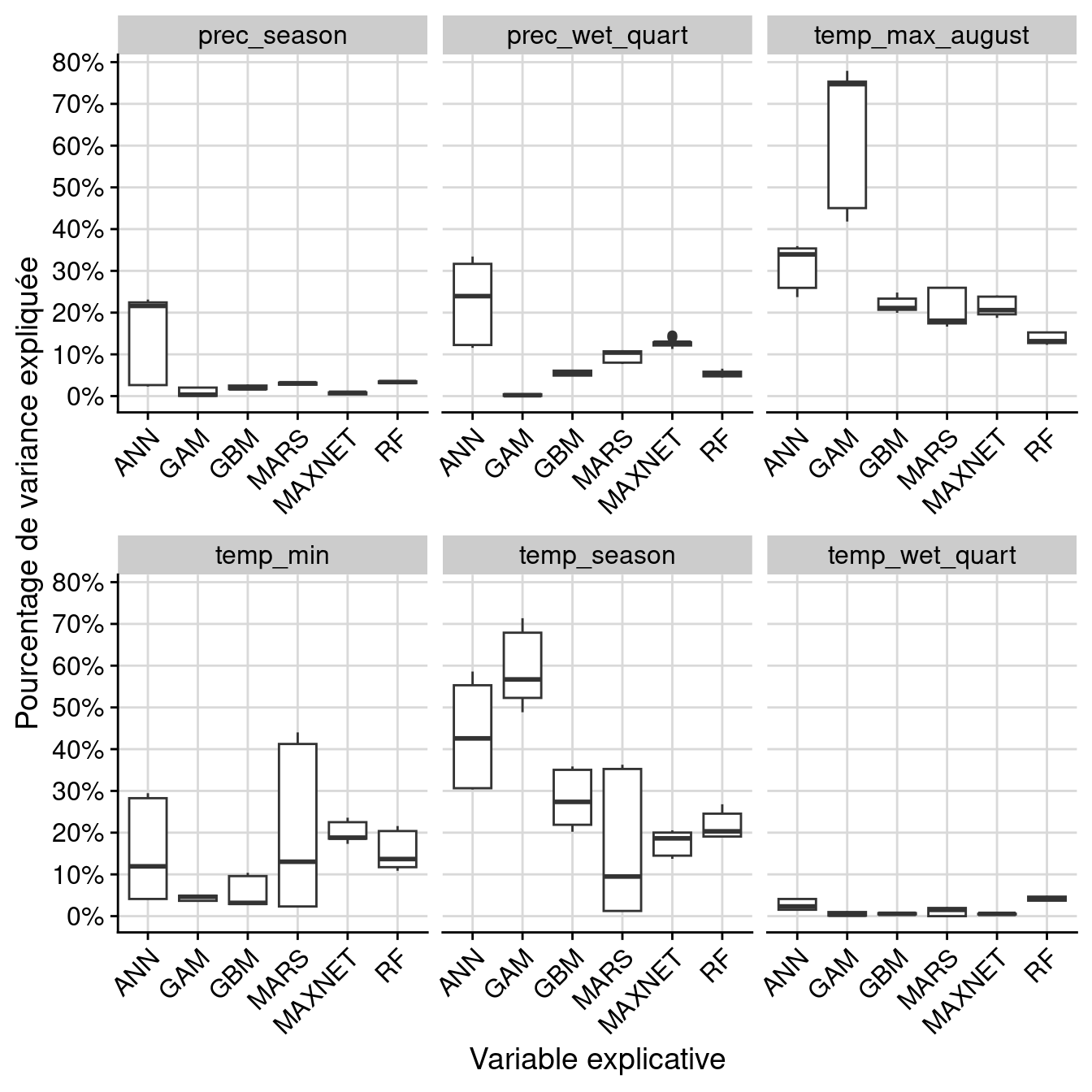
Figure 199.8: Pourcentage de variance expliquée pour chaque variable, décomposé par algorithme.
Figure 199.9: Pourcentage de variance expliquée pour chaque variable, décomposé par variable.
199.2.3 Modèles d’ensemble de niche
Seulement modèles avec TSS > 0.8
-=-=-=-=-=-=-=-=-=-=-=-=-= BIOMOD.ensemble.models.out -=-=-=-=-=-=-=-=-=-=-=-=-=
sp.name : craz
expl.var.names : temp_max_august temp_min temp_wet_quart temp_season
prec_wet_quart prec_season
models computed:
craz_EMcvByTSS_mergedData_mergedRun_mergedAlgo, craz_EMwmeanByTSS_mergedData_mergedRun_mergedAlgo
models failed: none
-=-=-=-=-=-=-=-=-=-=-=-=-=-=-=-=-=-=-=-=-=-=-=-=-=-=-=-=-=-=-=-=-=-=-=-=-=-=-=-=
199.2.3.1 Évaluation de la qualité
full.name merged.by.PA merged.by.run
1 craz_EMwmeanByTSS_mergedData_mergedRun_mergedAlgo mergedData mergedRun
2 craz_EMwmeanByTSS_mergedData_mergedRun_mergedAlgo mergedData mergedRun
merged.by.algo filtered.by algo metric.eval cutoff sensitivity specificity
1 mergedAlgo TSS EMwmean TSS 527.0 93.896 91.466
2 mergedAlgo TSS EMwmean ROC 522.5 94.091 91.336
calibration validation evaluation
1 0.854 NA NA
2 0.983 NA NA
Figure 199.11: Évaluation de la qualité du modèle d’ensemble : Aire sous la courbe de ROC & True Skill Statistic.
full.name merged.by.PA merged.by.run
1 craz_EMcvByTSS_mergedData_mergedRun_mergedAlgo mergedData mergedRun
2 craz_EMcvByTSS_mergedData_mergedRun_mergedAlgo mergedData mergedRun
3 craz_EMcvByTSS_mergedData_mergedRun_mergedAlgo mergedData mergedRun
4 craz_EMcvByTSS_mergedData_mergedRun_mergedAlgo mergedData mergedRun
5 craz_EMcvByTSS_mergedData_mergedRun_mergedAlgo mergedData mergedRun
6 craz_EMcvByTSS_mergedData_mergedRun_mergedAlgo mergedData mergedRun
merged.by.algo filtered.by algo expl.var rand var.imp
1 mergedAlgo TSS EMcv temp_max_august 1 0.239528
2 mergedAlgo TSS EMcv temp_min 1 0.187521
3 mergedAlgo TSS EMcv temp_wet_quart 1 0.056232
4 mergedAlgo TSS EMcv temp_season 1 0.326043
5 mergedAlgo TSS EMcv prec_wet_quart 1 0.203525
6 mergedAlgo TSS EMcv prec_season 1 0.106124
Par variable :
Figure 199.12: Pourcentage de variance expliquée par variable dans le modèle d’ensemble.
Figure 199.13: Courbes de réponse de chaque variable climatique dans le modèle d’ensemble.
199.3 Projections
199.3.1 Distribution potentielle contemporaine
Contemporaine : Cartographie des observations sur couches climatiques Extraction des conditions climatiques favorables
-=-=-=-=-=-=-=-=-=-=-=-=-=-= BIOMOD.projection.out -=-=-=-=-=-=-=-=-=-=-=-=-=-=
Projection directory : Output/craz/current
sp.name : craz
expl.var.names : temp_max_august temp_min temp_wet_quart temp_season
prec_wet_quart prec_season
modeling.id : AllModels ( Output/craz/craz.AllModels.models.out )
models.projected :
craz_PA1_RUN1_GAM, craz_PA1_RUN1_MARS, craz_PA1_RUN1_MAXNET, craz_PA1_RUN1_GBM, craz_PA1_RUN1_ANN, craz_PA1_RUN1_RF, craz_PA2_RUN1_GAM, craz_PA2_RUN1_MARS, craz_PA2_RUN1_MAXNET, craz_PA2_RUN1_GBM, craz_PA2_RUN1_ANN, craz_PA2_RUN1_RF, craz_PA3_RUN1_GAM, craz_PA3_RUN1_MARS, craz_PA3_RUN1_MAXNET, craz_PA3_RUN1_GBM, craz_PA3_RUN1_ANN, craz_PA3_RUN1_RF
available binary projection : TSS, ROC
available filtered projection : TSS, ROC
-=-=-=-=-=-=-=-=-=-=-=-=-=-=-=-=-=-=-=-=-=-=-=-=-=-=-=-=-=-=-=-=-=-=-=-=-=-=-=-=
Figure 199.14: Projection de la distribution potentielle contemporaine sur l’Europe, selon les 6 algorithmes et les 3 runs.
Figure 199.15: Projection de la distribution potentielle contemporaine sur l’Europe, selon les 6 algorithmes et les 3 runs.
-=-=-=-=-=-=-=-=-=-=-=-=-=-= BIOMOD.projection.out -=-=-=-=-=-=-=-=-=-=-=-=-=-=
Projection directory : Output/craz/current
sp.name : craz
expl.var.names : temp_max_august temp_min temp_wet_quart temp_season
prec_wet_quart prec_season
modeling.id : AllModels ( Output/craz/craz.AllModels.ensemble.models.out )
models.projected :
craz_EMcvByTSS_mergedData_mergedRun_mergedAlgo, craz_EMwmeanByTSS_mergedData_mergedRun_mergedAlgo
-=-=-=-=-=-=-=-=-=-=-=-=-=-=-=-=-=-=-=-=-=-=-=-=-=-=-=-=-=-=-=-=-=-=-=-=-=-=-=-=
Figure 199.16: A) Projection de la distribution potentielle contemporaine (modèle d’ensemble) ; B) Incertitude associée à la projection.
199.3.2 Interpolation à l’échelle de la métropole
- → conditions climatiques favorables à fine échelle
On projette la niche climatique sur ce raster à fine échelle.
-=-=-=-=-=-=-=-=-=-=-=-=-=-= BIOMOD.projection.out -=-=-=-=-=-=-=-=-=-=-=-=-=-=
Projection directory : Output/craz/cont_gre
sp.name : craz
expl.var.names : temp_max_august temp_min temp_wet_quart temp_season
prec_wet_quart prec_season
modeling.id : AllModels ( Output/craz/craz.AllModels.models.out )
models.projected :
craz_PA1_RUN1_GAM, craz_PA1_RUN1_MARS, craz_PA1_RUN1_MAXNET, craz_PA1_RUN1_GBM, craz_PA1_RUN1_ANN, craz_PA1_RUN1_RF, craz_PA2_RUN1_GAM, craz_PA2_RUN1_MARS, craz_PA2_RUN1_MAXNET, craz_PA2_RUN1_GBM, craz_PA2_RUN1_ANN, craz_PA2_RUN1_RF, craz_PA3_RUN1_GAM, craz_PA3_RUN1_MARS, craz_PA3_RUN1_MAXNET, craz_PA3_RUN1_GBM, craz_PA3_RUN1_ANN, craz_PA3_RUN1_RF
available binary projection : TSS, ROC
available filtered projection : TSS, ROC
-=-=-=-=-=-=-=-=-=-=-=-=-=-=-=-=-=-=-=-=-=-=-=-=-=-=-=-=-=-=-=-=-=-=-=-=-=-=-=-=
Figure 199.17: Projection de la distribution potentielle contemporaine sur la métropole de Grenoble, selon les 6 algorithmes et les 3 runs.
Figure 199.18: Projection de la distribution potentielle contemporaine sur la métropole de Grenoble, selon les 6 algorithmes et les 3 runs.
-=-=-=-=-=-=-=-=-=-=-=-=-=-= BIOMOD.projection.out -=-=-=-=-=-=-=-=-=-=-=-=-=-=
Projection directory : Output/craz/cont_gre
sp.name : craz
expl.var.names : temp_max_august temp_min temp_wet_quart temp_season
prec_wet_quart prec_season
modeling.id : AllModels ( Output/craz/craz.AllModels.ensemble.models.out )
models.projected :
craz_EMcvByTSS_mergedData_mergedRun_mergedAlgo, craz_EMwmeanByTSS_mergedData_mergedRun_mergedAlgo
-=-=-=-=-=-=-=-=-=-=-=-=-=-=-=-=-=-=-=-=-=-=-=-=-=-=-=-=-=-=-=-=-=-=-=-=-=-=-=-=
Figure 199.19: A) Projection de la distribution potentielle contemporaine (modèle d’ensemble) sur la métropole de Grenoble ; B) Incertitude associée à la projection.
199.3.3 Distributions potentielles futures
Futur : Projection à l’échelle de l’Europe jusqu’à l’horizon 2100
Toutes les fenêtres temporelles × scénarios pour le GCM « IPSL-CM6A-LR »
- SSP1-2.6




Figure 199.20: Projection des distributions potentielles futures jusqu’à l’horizon 2100 sous le scénario SSP1-2.6 (modèle d’ensemble).
On obtient pour la métrique TSS une carte unique de moyenne pondérée sur les algorithmes et sur les jeux de pseudo-absences.
- SSP2-4.5




Figure 199.21: Projection des distributions potentielles futures jusqu’à l’horizon 2100 sous le scénario SSP2-4.5 (modèle d’ensemble).
- SSP3-7.0




Figure 199.22: Projection des distributions potentielles futures jusqu’à l’horizon 2100 sous le scénario SSP3-7.0 (modèle d’ensemble).
- SSP5-8.5




Figure 199.23: Projection des distributions potentielles futures jusqu’à l’horizon 2100 sous le scénario SSP5-8.5 (modèle d’ensemble).
199.4 Inférence à l’échelle de la métropole
- Croisement avec températures de surface 2019 (fournie par la métropole)
- → conditions climatiques favorables à fine échelle
- à peu près 7 pixels × 9 (WorldClim)
199.4.1 Distributions potentielles futures
Même chose que précédemment mais sur les rasters de Grenoble
- SSP1-2.6




Figure 199.24: Projection des distributions potentielles contemporaine et futures jusqu’à l’horizon 2100 sous le scénario SSP5-8.5 (modèle d’ensemble, GCM IPSL).
- SSP2-4.5




Figure 199.25: Projection des distributions potentielles contemporaine et futures jusqu’à l’horizon 2100 sous le scénario SSP5-8.5 (modèle d’ensemble, GCM IPSL).
- SSP3-7.0




Figure 199.26: Projection des distributions potentielles contemporaine et futures jusqu’à l’horizon 2100 sous le scénario SSP5-8.5 (modèle d’ensemble, GCM IPSL).
- SSP5-8.5




Figure 199.27: Projection des distributions potentielles contemporaine et futures jusqu’à l’horizon 2100 sous le scénario SSP5-8.5 (modèle d’ensemble, GCM IPSL).
199.4.2 Évolution temporelle
# A tibble: 17 × 8
min q1 median mean q3 max ssp year
<table[1d]> <table[1d]> <table[1d]> <table[1d]> <table[1d]> <tab> <fct> <dbl>
1 84 160 289 375.3314 629 783 0 2000
2 114 433 619 569.5795 708 798 126 2040
3 149 543 639 616.1840 723 800 126 2060
4 183 574 656 636.2464 739 799 126 2080
5 188 555 645 623.8116 727 795 126 2100
6 156 502 631 599.3248 718 797 245 2040
7 188 578 655 643.8639 738 795 245 2060
8 280 627 709 685.7699 755 792 245 2080
9 352 620 696 676.4460 742 789 245 2100
10 113 419 603 555.1818 690 789 370 2040
11 209 589 659 648.3962 738 789 370 2060
12 392 618 704 676.9025 741 786 370 2080
13 397 529 605 587.0234 653 745 370 2100
14 135 482 630 593.3190 719 799 585 2040
15 245 612 683 668.8611 743 790 585 2060
16 400 557 630 617.1575 690 754 585 2080
17 288 357 474 457.9677 550 668 585 2100
Figure 199.28: Évolution de la favorabilité climatique au cours du XXIème siècle. Le point représente la médiane sur l’étendue de la métropole (i.e. tous les pixels de la carte) ; le trait gras représente 50 % des données intermédiaires (espace inter-quartile) ; le trait fin représente le reste des données du minimum au maximum.