297 Quercus coccifera
297.1 Données d’occurrences GBIF
Collecte des données du GBIF :
<<gbif download metadata>>
Status: SUCCEEDED
DOI: 10.15468/dl.apewm9
Format: SIMPLE_CSV
Download key: 0018324-230828120925497
Created: 2023-09-16T09:44:56.534+00:00
Modified: 2023-09-16T09:46:13.161+00:00
Download link: https://api.gbif.org/v1/occurrence/download/request/0018324-230828120925497.zip
Total records: 41147
Conversion en objets géographiques (format Simple feature de sf) et
exploration rapide des données (classe du jeu de données et premières lignes du
tableau) :
Simple feature collection with 41147 features and 50 fields
Attribute-geometry relationships: constant (50)
Geometry type: POINT
Dimension: XY
Bounding box: xmin: -121.7639 ymin: 27.1732 xmax: 99.4265 ymax: 51.01
Geodetic CRS: WGS 84
# A tibble: 41,147 × 51
gbifID datasetKey occurrenceID kingdom phylum class order family genus
* <int64> <chr> <chr> <chr> <chr> <chr> <chr> <chr> <chr>
1 932709036 ebd49d9b-696b… "" Plantae Trach… Magn… Faga… Fagac… Quer…
2 910487259 837acfc2-f762… "HSS:HSS:56… Plantae Trach… Magn… Faga… Fagac… Quer…
3 910487258 837acfc2-f762… "HSS:HSS:56… Plantae Trach… Magn… Faga… Fagac… Quer…
4 910485762 837acfc2-f762… "HSS:HSS:54… Plantae Trach… Magn… Faga… Fagac… Quer…
5 910485727 837acfc2-f762… "HSS:HSS:54… Plantae Trach… Magn… Faga… Fagac… Quer…
6 910485663 837acfc2-f762… "HSS:HSS:54… Plantae Trach… Magn… Faga… Fagac… Quer…
7 910484957 837acfc2-f762… "HSS:HSS:53… Plantae Trach… Magn… Faga… Fagac… Quer…
8 910483611 837acfc2-f762… "HSS:HSS:51… Plantae Trach… Magn… Faga… Fagac… Quer…
9 910483570 837acfc2-f762… "HSS:HSS:51… Plantae Trach… Magn… Faga… Fagac… Quer…
10 910482868 837acfc2-f762… "HSS:HSS:48… Plantae Trach… Magn… Faga… Fagac… Quer…
# ℹ 41,137 more rows
# ℹ 42 more variables: species <chr>, infraspecificEpithet <chr>,
# taxonRank <chr>, scientificName <chr>, verbatimScientificName <chr>,
# verbatimScientificNameAuthorship <chr>, countryCode <chr>, locality <chr>,
# stateProvince <chr>, occurrenceStatus <chr>, individualCount <int>,
# publishingOrgKey <chr>, decimalLatitude <dbl>, decimalLongitude <dbl>,
# coordinateUncertaintyInMeters <dbl>, coordinatePrecision <dbl>, …
Il y a 41 147 occurrences dans le jeu de données. On les affiche sur la carte du monde :
Figure 297.1: Occurrences de Quercus coccifera dans le monde.
297.1.1 Données par région
On évalue la proportion d’occurrences dans chaque région, en utilisant les 3 masques créés précédemment. Si on a au moins 50 % des occurrences dans une région, on peut continuer en travaillant uniquement sur ces données. Sinon, on vérifie qu’au moins 67 % des données tombent dans l’ensemble des régions, et on prend la région la plus représentée. Au final, s’il s’agit d’une espèce endémique d’Europe, on n’a pas besoin de manipulation supplémentaire.
[1] 0.9997813
[1] 0.0001215155
[1] 9.721243e-05
Figure 297.2: Occurrence de Quercus coccifera dans la région d’endémisme.
297.1.2 Licences
On s’intéresse ici au problème particulier des licences :
CC_BY_4_0 CC_BY_NC_4_0 CC0_1_0
18458 22574 106
[1] 45.12616
Figure 297.3: Occurrence de Quercus coccifera dans la région d’endémisme, selon la licence : CC BY-NC en bleu ; CC0 et CC BY en orange.
Idéalement, on aimerait avoir au moins 50 % de données vraiment libres
d’utilisation (c’est-à-dire sans la clause -NC). On continue en supprimant les
données en CC BY-NC.
[1] 18564
297.1.3 Sous-échantillonnage
Si le jeu de données contient 25 000 occurrences ou plus, on procède au sous-échantillonnage aléatoire pour en conserver un maximum de 25 000.
Simple feature collection with 18564 features and 50 fields
Attribute-geometry relationships: constant (50)
Geometry type: POINT
Dimension: XY
Bounding box: xmin: -9.497531 ymin: 30.69295 xmax: 37.184 ymax: 50.97307
Geodetic CRS: WGS 84
# A tibble: 18,564 × 51
gbifID datasetKey occurrenceID kingdom phylum class order family genus
<int64> <chr> <chr> <chr> <chr> <chr> <chr> <chr> <chr>
1 85588459 8582b50a-f762-… "" Plantae Trach… Magn… Faga… Fagac… Quer…
2 85588452 8582b50a-f762-… "" Plantae Trach… Magn… Faga… Fagac… Quer…
3 85587660 8582b50a-f762-… "" Plantae Trach… Magn… Faga… Fagac… Quer…
4 85587632 8582b50a-f762-… "" Plantae Trach… Magn… Faga… Fagac… Quer…
5 85587621 8582b50a-f762-… "" Plantae Trach… Magn… Faga… Fagac… Quer…
6 85587617 8582b50a-f762-… "" Plantae Trach… Magn… Faga… Fagac… Quer…
7 85587052 8582b50a-f762-… "" Plantae Trach… Magn… Faga… Fagac… Quer…
8 85584771 8582b50a-f762-… "" Plantae Trach… Magn… Faga… Fagac… Quer…
9 85584759 8582b50a-f762-… "" Plantae Trach… Magn… Faga… Fagac… Quer…
10 85584722 8582b50a-f762-… "" Plantae Trach… Magn… Faga… Fagac… Quer…
# ℹ 18,554 more rows
# ℹ 42 more variables: species <chr>, infraspecificEpithet <chr>,
# taxonRank <chr>, scientificName <chr>, verbatimScientificName <chr>,
# verbatimScientificNameAuthorship <chr>, countryCode <chr>, locality <chr>,
# stateProvince <chr>, occurrenceStatus <chr>, individualCount <int>,
# publishingOrgKey <chr>, decimalLatitude <dbl>, decimalLongitude <dbl>,
# coordinateUncertaintyInMeters <dbl>, coordinatePrecision <dbl>, …
297.2 Modélisation de la niche climatique
297.2.1 Préparer les données
Organisation des données d’entrées (occurrences et données environnementales) et des données produites de pseudo-absences :
class : SpatVector
geometry : points
dimensions : 18564, 0 (geometries, attributes)
extent : -9.497531, 37.184, 30.69295, 50.97307 (xmin, xmax, ymin, ymax)
coord. ref. : lon/lat WGS 84 (EPSG:4326)
-=-=-=-=-=-=-=-=-=-=-=-=-=-=-= quco Data Formating -=-=-=-=-=-=-=-=-=-=-=-=-=-=-=
! Response variable is considered as only presences... Is it really what you want?
! No data has been set aside for modeling evaluation
!!! Some data are located in the same raster cell.
Please set `filter.raster = TRUE` if you want an automatic filtering.
Checking Pseudo-absence selection arguments...
> random pseudo absences selection
> Pseudo absences are selected in explanatory variables
! Some NAs have been automatically removed from your data
!!! Some data are located in the same raster cell.
Please set `filter.raster = TRUE` if you want an automatic filtering.
-=-=-=-=-=-=-=-=-=-=-=-=-=-=-=-=-=-= Done -=-=-=-=-=-=-=-=-=-=-=-=-=-=-=-=-=-=
-=-=-=-=-=-=-=-=-=-=-=-=-=-= BIOMOD.formated.data -=-=-=-=-=-=-=-=-=-=-=-=-=-=
dir.name = Output
sp.name = quco
18536 presences, 0 true absences and 54567 undefined points in dataset
6 explanatory variables
temp_max_august temp_min temp_wet_quart temp_season
Min. : 3.668 Min. :-21.988 Min. :-9.677 Min. : 211.5
1st Qu.:20.984 1st Qu.: -8.664 1st Qu.:10.236 1st Qu.: 599.1
Median :26.788 Median : -0.596 Median :13.183 Median : 713.8
Mean :26.135 Mean : -3.097 Mean :12.611 Mean : 749.6
3rd Qu.:29.500 3rd Qu.: 2.804 3rd Qu.:15.762 3rd Qu.: 894.6
Max. :45.692 Max. : 12.148 Max. :26.344 Max. :1358.0
prec_wet_quart prec_season
Min. : 3.0 Min. : 4.63
1st Qu.: 180.0 1st Qu.: 28.62
Median : 220.0 Median : 34.21
Mean : 219.2 Mean : 39.92
3rd Qu.: 255.0 3rd Qu.: 43.46
Max. :1228.0 Max. :121.79
-=-=-=-=-=-=-=-=-=-=-=-=-=-=-=-=-=-=-=-=-=-=-=-=-=-=-=-=-=-=-=-=-=-=-=-=-=-=-=-=
On visualise les pseudo-absences :
Figure 297.5: Les données d’occurrences (en haut à gauche) et les trois jeux de données aléatoires de pseudo-absences.
$data.vect
class : SpatVector
geometry : points
dimensions : 129836, 2 (geometries, attributes)
extent : -10.3125, 46.97917, 29.02083, 70.97917 (xmin, xmax, ymin, ymax)
coord. ref. :
names : resp dataset
type : <num> <chr>
values : 10 Initial dataset
10 Initial dataset
10 Initial dataset
$data.label
9 10
"**Presences**" "Presences (calibration)"
11 12
"Presences (validation)" "Presences (evaluation)"
19 20
"**True Absences**" "True Absences (calibration)"
21 22
"True Absences (validation)" "True Absences (evaluation)"
29 30
"**Pseudo-Absences**" "Pseudo-Absences (calibration)"
31 1
"Pseudo-Absences (validation)" "Background"
$data.plot
Figure 297.6: Les données d’occurrences (en haut à gauche) et les trois jeux de données aléatoires de pseudo-absences.
297.2.2 Modèles individuels de niche
-=-=-=-=-=-=-=-=-=-=-=-=-=-=-= Build Single Models -=-=-=-=-=-=-=-=-=-=-=-=-=-=-=
Checking Models arguments...
Creating suitable Workdir...
! Weights where automatically defined for quco_PA1 to rise a 0.5 prevalence !
! Weights where automatically defined for quco_PA2 to rise a 0.5 prevalence !
! Weights where automatically defined for quco_PA3 to rise a 0.5 prevalence !
-=-=-=-=-=-=-=-=-=-=-=-=-=-= quco Modeling Summary -=-=-=-=-=-=-=-=-=-=-=-=-=-=
6 environmental variables ( temp_max_august temp_min temp_wet_quart temp_season prec_wet_quart prec_season )
Number of evaluation repetitions : 1
Models selected : GAM MARS MAXNET GBM ANN RF
Total number of model runs: 18
-=-=-=-=-=-=-=-=-=-=-=-=-=-=-=-=-=-=-=-=-=-=-=-=-=-=-=-=-=-=-=-=-=-=-=-=-=-=-=-=
-=-=-=- Run : quco_PA1
-=-=-=--=-=-=- quco_PA1_RUN1
-=-=-=- Run : quco_PA2
-=-=-=--=-=-=- quco_PA2_RUN1
-=-=-=- Run : quco_PA3
-=-=-=--=-=-=- quco_PA3_RUN1
-=-=-=-=-=-=-=-=-=-=-=-=-=-=-=-=-=-= Done -=-=-=-=-=-=-=-=-=-=-=-=-=-=-=-=-=-=
297.2.2.1 Évaluation de la performance
full.name PA run algo metric.eval cutoff sensitivity
1 quco_PA1_RUN1_GAM PA1 RUN1 GAM TSS 919.0 98.752
2 quco_PA1_RUN1_GAM PA1 RUN1 GAM ROC 914.5 98.773
3 quco_PA1_RUN1_MARS PA1 RUN1 MARS TSS 674.0 94.295
4 quco_PA1_RUN1_MARS PA1 RUN1 MARS ROC 682.5 94.241
5 quco_PA1_RUN1_MAXNET PA1 RUN1 MAXNET TSS 347.0 96.102
6 quco_PA1_RUN1_MAXNET PA1 RUN1 MAXNET ROC 350.5 95.967
specificity calibration validation evaluation
1 69.174 0.679 0.673 NA
2 69.160 0.838 0.834 NA
3 95.239 0.896 0.886 NA
4 95.361 0.988 0.987 NA
5 94.101 0.902 0.889 NA
6 94.283 0.989 0.988 NA
Figure 297.7: Évaluation de la performance des modèles individuels : True Skill Statistic & aire sous la courbe de ROC.
297.2.2.2 Importance des variables environnementales
full.name PA run algo expl.var rand var.imp
1 quco_PA1_RUN1_GAM PA1 RUN1 GAM temp_max_august 1 0.610823
2 quco_PA1_RUN1_GAM PA1 RUN1 GAM temp_min 1 0.025649
3 quco_PA1_RUN1_GAM PA1 RUN1 GAM temp_wet_quart 1 0.010469
4 quco_PA1_RUN1_GAM PA1 RUN1 GAM temp_season 1 0.488450
5 quco_PA1_RUN1_GAM PA1 RUN1 GAM prec_wet_quart 1 0.023291
6 quco_PA1_RUN1_GAM PA1 RUN1 GAM prec_season 1 0.054791
Figure 297.8: Pourcentage de variance expliquée pour chaque variable, décomposé par algorithme.
Figure 297.9: Pourcentage de variance expliquée pour chaque variable, décomposé par variable.
297.2.3 Modèles d’ensemble de niche
Seulement modèles avec TSS > 0.8
-=-=-=-=-=-=-=-=-=-=-=-=-= BIOMOD.ensemble.models.out -=-=-=-=-=-=-=-=-=-=-=-=-=
sp.name : quco
expl.var.names : temp_max_august temp_min temp_wet_quart temp_season
prec_wet_quart prec_season
models computed:
quco_EMcvByTSS_mergedData_mergedRun_mergedAlgo, quco_EMwmeanByTSS_mergedData_mergedRun_mergedAlgo
models failed: none
-=-=-=-=-=-=-=-=-=-=-=-=-=-=-=-=-=-=-=-=-=-=-=-=-=-=-=-=-=-=-=-=-=-=-=-=-=-=-=-=
297.2.3.1 Évaluation de la qualité
full.name merged.by.PA merged.by.run
1 quco_EMwmeanByTSS_mergedData_mergedRun_mergedAlgo mergedData mergedRun
2 quco_EMwmeanByTSS_mergedData_mergedRun_mergedAlgo mergedData mergedRun
merged.by.algo filtered.by algo metric.eval cutoff sensitivity specificity
1 mergedAlgo TSS EMwmean TSS 547.0 96.429 97.748
2 mergedAlgo TSS EMwmean ROC 554.5 96.337 97.876
calibration validation evaluation
1 0.942 NA NA
2 0.997 NA NA
Figure 297.11: Évaluation de la qualité du modèle d’ensemble : Aire sous la courbe de ROC & True Skill Statistic.
full.name merged.by.PA merged.by.run
1 quco_EMcvByTSS_mergedData_mergedRun_mergedAlgo mergedData mergedRun
2 quco_EMcvByTSS_mergedData_mergedRun_mergedAlgo mergedData mergedRun
3 quco_EMcvByTSS_mergedData_mergedRun_mergedAlgo mergedData mergedRun
4 quco_EMcvByTSS_mergedData_mergedRun_mergedAlgo mergedData mergedRun
5 quco_EMcvByTSS_mergedData_mergedRun_mergedAlgo mergedData mergedRun
6 quco_EMcvByTSS_mergedData_mergedRun_mergedAlgo mergedData mergedRun
merged.by.algo filtered.by algo expl.var rand var.imp
1 mergedAlgo TSS EMcv temp_max_august 1 0.193852
2 mergedAlgo TSS EMcv temp_min 1 0.359257
3 mergedAlgo TSS EMcv temp_wet_quart 1 0.023289
4 mergedAlgo TSS EMcv temp_season 1 0.136993
5 mergedAlgo TSS EMcv prec_wet_quart 1 0.111431
6 mergedAlgo TSS EMcv prec_season 1 0.051233
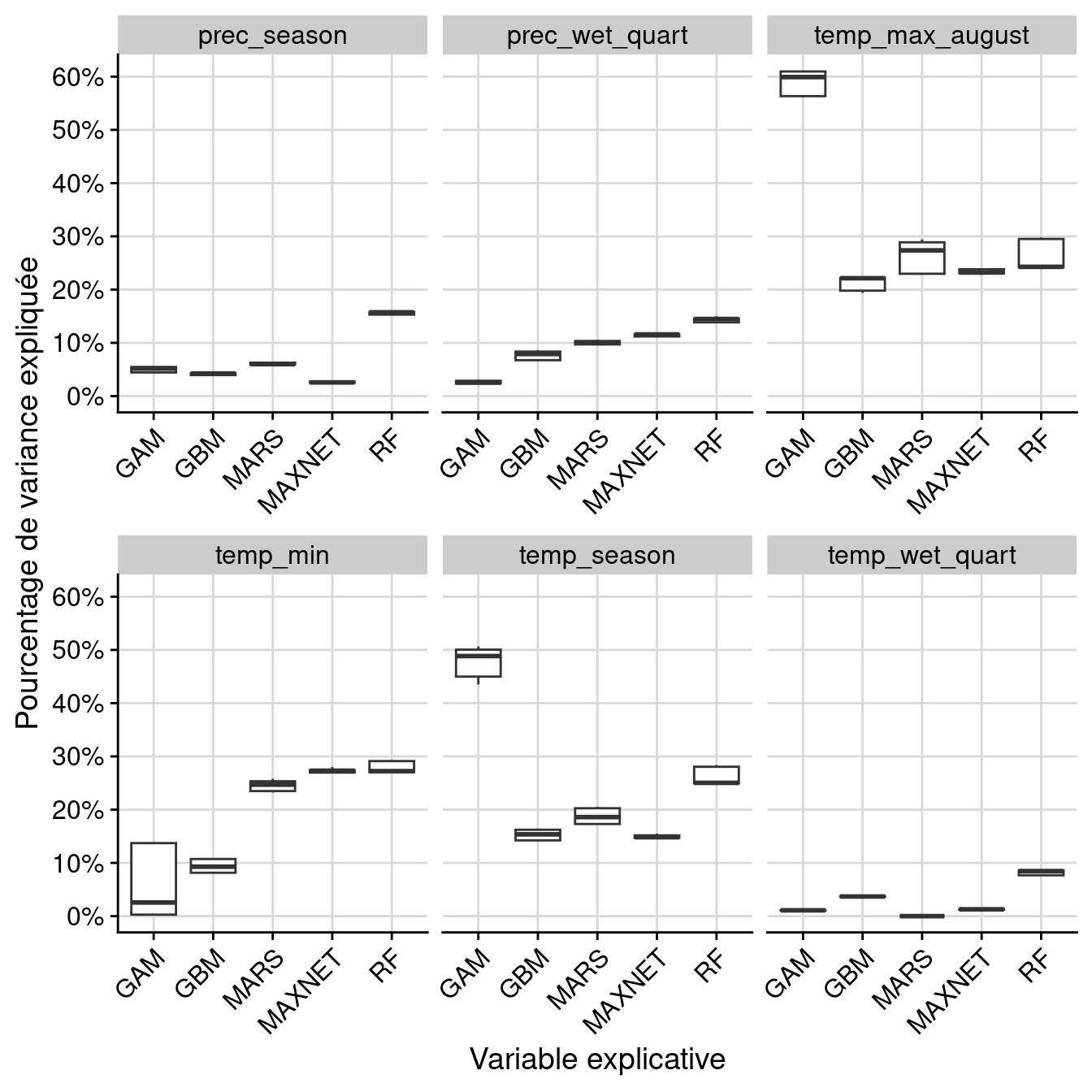
Par variable :
Figure 297.12: Pourcentage de variance expliquée par variable dans le modèle d’ensemble.
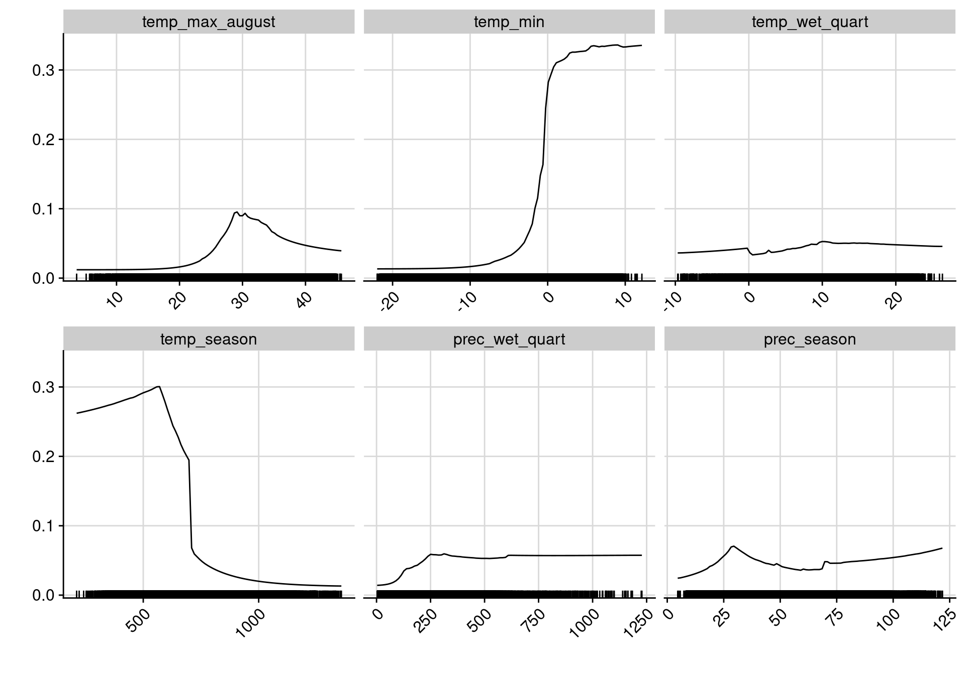
Figure 297.13: Courbes de réponse de chaque variable climatique dans le modèle d’ensemble.
297.3 Projections
297.3.1 Distribution potentielle contemporaine
Contemporaine : Cartographie des observations sur couches climatiques Extraction des conditions climatiques favorables
-=-=-=-=-=-=-=-=-=-=-=-=-=-= BIOMOD.projection.out -=-=-=-=-=-=-=-=-=-=-=-=-=-=
Projection directory : Output/quco/current
sp.name : quco
expl.var.names : temp_max_august temp_min temp_wet_quart temp_season
prec_wet_quart prec_season
modeling.id : AllModels ( Output/quco/quco.AllModels.models.out )
models.projected :
quco_PA1_RUN1_GAM, quco_PA1_RUN1_MARS, quco_PA1_RUN1_MAXNET, quco_PA1_RUN1_GBM, quco_PA1_RUN1_RF, quco_PA2_RUN1_GAM, quco_PA2_RUN1_MARS, quco_PA2_RUN1_MAXNET, quco_PA2_RUN1_GBM, quco_PA2_RUN1_RF, quco_PA3_RUN1_GAM, quco_PA3_RUN1_MARS, quco_PA3_RUN1_MAXNET, quco_PA3_RUN1_GBM, quco_PA3_RUN1_RF
available binary projection : TSS, ROC
available filtered projection : TSS, ROC
-=-=-=-=-=-=-=-=-=-=-=-=-=-=-=-=-=-=-=-=-=-=-=-=-=-=-=-=-=-=-=-=-=-=-=-=-=-=-=-=
Figure 297.14: Projection de la distribution potentielle contemporaine sur l’Europe, selon les 6 algorithmes et les 3 runs.
Figure 297.15: Projection de la distribution potentielle contemporaine sur l’Europe, selon les 6 algorithmes et les 3 runs.
-=-=-=-=-=-=-=-=-=-=-=-=-=-= BIOMOD.projection.out -=-=-=-=-=-=-=-=-=-=-=-=-=-=
Projection directory : Output/quco/current
sp.name : quco
expl.var.names : temp_max_august temp_min temp_wet_quart temp_season
prec_wet_quart prec_season
modeling.id : AllModels ( Output/quco/quco.AllModels.ensemble.models.out )
models.projected :
quco_EMcvByTSS_mergedData_mergedRun_mergedAlgo, quco_EMwmeanByTSS_mergedData_mergedRun_mergedAlgo
-=-=-=-=-=-=-=-=-=-=-=-=-=-=-=-=-=-=-=-=-=-=-=-=-=-=-=-=-=-=-=-=-=-=-=-=-=-=-=-=
Figure 297.16: A) Projection de la distribution potentielle contemporaine (modèle d’ensemble) ; B) Incertitude associée à la projection.
297.3.2 Interpolation à l’échelle de la métropole
- → conditions climatiques favorables à fine échelle
On projette la niche climatique sur ce raster à fine échelle.
-=-=-=-=-=-=-=-=-=-=-=-=-=-= BIOMOD.projection.out -=-=-=-=-=-=-=-=-=-=-=-=-=-=
Projection directory : Output/quco/cont_gre
sp.name : quco
expl.var.names : temp_max_august temp_min temp_wet_quart temp_season
prec_wet_quart prec_season
modeling.id : AllModels ( Output/quco/quco.AllModels.models.out )
models.projected :
quco_PA1_RUN1_GAM, quco_PA1_RUN1_MARS, quco_PA1_RUN1_MAXNET, quco_PA1_RUN1_GBM, quco_PA1_RUN1_RF, quco_PA2_RUN1_GAM, quco_PA2_RUN1_MARS, quco_PA2_RUN1_MAXNET, quco_PA2_RUN1_GBM, quco_PA2_RUN1_RF, quco_PA3_RUN1_GAM, quco_PA3_RUN1_MARS, quco_PA3_RUN1_MAXNET, quco_PA3_RUN1_GBM, quco_PA3_RUN1_RF
available binary projection : TSS, ROC
available filtered projection : TSS, ROC
-=-=-=-=-=-=-=-=-=-=-=-=-=-=-=-=-=-=-=-=-=-=-=-=-=-=-=-=-=-=-=-=-=-=-=-=-=-=-=-=
Figure 297.17: Projection de la distribution potentielle contemporaine sur la métropole de Grenoble, selon les 6 algorithmes et les 3 runs.
Figure 297.18: Projection de la distribution potentielle contemporaine sur la métropole de Grenoble, selon les 6 algorithmes et les 3 runs.
-=-=-=-=-=-=-=-=-=-=-=-=-=-= BIOMOD.projection.out -=-=-=-=-=-=-=-=-=-=-=-=-=-=
Projection directory : Output/quco/cont_gre
sp.name : quco
expl.var.names : temp_max_august temp_min temp_wet_quart temp_season
prec_wet_quart prec_season
modeling.id : AllModels ( Output/quco/quco.AllModels.ensemble.models.out )
models.projected :
quco_EMcvByTSS_mergedData_mergedRun_mergedAlgo, quco_EMwmeanByTSS_mergedData_mergedRun_mergedAlgo
-=-=-=-=-=-=-=-=-=-=-=-=-=-=-=-=-=-=-=-=-=-=-=-=-=-=-=-=-=-=-=-=-=-=-=-=-=-=-=-=
Figure 297.19: A) Projection de la distribution potentielle contemporaine (modèle d’ensemble) sur la métropole de Grenoble ; B) Incertitude associée à la projection.
297.3.3 Distributions potentielles futures
Futur : Projection à l’échelle de l’Europe jusqu’à l’horizon 2100
Toutes les fenêtres temporelles × scénarios pour le GCM « IPSL-CM6A-LR »
- SSP1-2.6




Figure 297.20: Projection des distributions potentielles futures jusqu’à l’horizon 2100 sous le scénario SSP1-2.6 (modèle d’ensemble).
On obtient pour la métrique TSS une carte unique de moyenne pondérée sur les algorithmes et sur les jeux de pseudo-absences.
- SSP2-4.5




Figure 297.21: Projection des distributions potentielles futures jusqu’à l’horizon 2100 sous le scénario SSP2-4.5 (modèle d’ensemble).
- SSP3-7.0




Figure 297.22: Projection des distributions potentielles futures jusqu’à l’horizon 2100 sous le scénario SSP3-7.0 (modèle d’ensemble).
- SSP5-8.5




Figure 297.23: Projection des distributions potentielles futures jusqu’à l’horizon 2100 sous le scénario SSP5-8.5 (modèle d’ensemble).
297.4 Inférence à l’échelle de la métropole
- Croisement avec températures de surface 2019 (fournie par la métropole)
- → conditions climatiques favorables à fine échelle
- à peu près 7 pixels × 9 (WorldClim)
297.4.1 Distributions potentielles futures
Même chose que précédemment mais sur les rasters de Grenoble
- SSP1-2.6




Figure 297.24: Projection des distributions potentielles contemporaine et futures jusqu’à l’horizon 2100 sous le scénario SSP5-8.5 (modèle d’ensemble, GCM IPSL).
- SSP2-4.5




Figure 297.25: Projection des distributions potentielles contemporaine et futures jusqu’à l’horizon 2100 sous le scénario SSP5-8.5 (modèle d’ensemble, GCM IPSL).
- SSP3-7.0




Figure 297.26: Projection des distributions potentielles contemporaine et futures jusqu’à l’horizon 2100 sous le scénario SSP5-8.5 (modèle d’ensemble, GCM IPSL).
- SSP5-8.5




Figure 297.27: Projection des distributions potentielles contemporaine et futures jusqu’à l’horizon 2100 sous le scénario SSP5-8.5 (modèle d’ensemble, GCM IPSL).
297.4.2 Évolution temporelle
# A tibble: 17 × 8
min q1 median mean q3 max ssp year
<table[1d]> <table[1d]> <table[1d]> <table[1d]> <table[1d]> <tab> <fct> <dbl>
1 15 29 49 127.5796 248 441 0 2000
2 19 103 189 213.2983 320 492 126 2040
3 26 147 235 248.6409 348 502 126 2060
4 27 160 268 273.0003 377 532 126 2080
5 28 156 259 268.6821 375 523 126 2100
6 22 124 215 231.2693 335 498 245 2040
7 30 158 243 249.8133 332 500 245 2060
8 54 223 308 302.7373 376 519 245 2080
9 73 232 328 310.7246 384 527 245 2100
10 19 99 168 189.0423 275 465 370 2040
11 34 172 260 267.6292 350 513 370 2060
12 80 215 322 304.9304 397 516 370 2080
13 67 147 297 257.5369 347 421 370 2100
14 20 124 218 239.1261 351 513 585 2040
15 46 195 277 277.2388 351 515 585 2060
16 75 166 314 268.1169 350 411 585 2080
17 64 103 202 204.2000 291 460 585 2100
Figure 297.28: Évolution de la favorabilité climatique au cours du XXIème siècle. Le point représente la médiane sur l’étendue de la métropole (i.e. tous les pixels de la carte) ; le trait gras représente 50 % des données intermédiaires (espace inter-quartile) ; le trait fin représente le reste des données du minimum au maximum.