211 Olea europaea
211.1 Données d’occurrences GBIF
Collecte des données du GBIF :
<<gbif download metadata>>
Status: SUCCEEDED
DOI: 10.15468/dl.duw9cy
Format: SIMPLE_CSV
Download key: 0260886-230224095556074
Created: 2023-05-25T11:54:49.870+00:00
Modified: 2023-05-25T12:00:36.198+00:00
Download link: https://api.gbif.org/v1/occurrence/download/request/0260886-230224095556074.zip
Total records: 196979
Conversion en objets géographiques (format Simple feature de sf) et
exploration rapide des données (classe du jeu de données et premières lignes du
tableau) :
Simple feature collection with 196979 features and 50 fields
Attribute-geometry relationship: 50 constant, 0 aggregate, 0 identity
Geometry type: POINT
Dimension: XY
Bounding box: xmin: -177.433 ymin: -43.661443 xmax: 175.446464 ymax: 63.434
Geodetic CRS: WGS 84
# A tibble: 196,979 × 51
gbifID datasetKey occurrenceID kingdom phylum class order family genus species
* <int64> <chr> <chr> <chr> <chr> <chr> <chr> <chr> <chr> <chr>
1 2830095599 9360958c-3534-4d… 041cd056-d2… Plantae Trach… Magn… Lami… Oleac… Olea Olea e…
2 2827442949 9360958c-3534-4d… 0faaad58-6c… Plantae Trach… Magn… Lami… Oleac… Olea Olea e…
3 2828606292 9360958c-3534-4d… 3f967c46-02… Plantae Trach… Magn… Lami… Oleac… Olea Olea e…
4 2827936921 9360958c-3534-4d… 465f4f28-e4… Plantae Trach… Magn… Lami… Oleac… Olea Olea e…
5 2830176411 9360958c-3534-4d… 774ec5db-ec… Plantae Trach… Magn… Lami… Oleac… Olea Olea e…
6 2827898135 9360958c-3534-4d… 1d24932e-3e… Plantae Trach… Magn… Lami… Oleac… Olea Olea e…
7 2828349902 9360958c-3534-4d… c4b70ae3-e6… Plantae Trach… Magn… Lami… Oleac… Olea Olea e…
8 2827769634 9360958c-3534-4d… 4cf08cc4-e5… Plantae Trach… Magn… Lami… Oleac… Olea Olea e…
9 2827775485 9360958c-3534-4d… 4e0ea78d-f8… Plantae Trach… Magn… Lami… Oleac… Olea Olea e…
10 2827812793 9360958c-3534-4d… b4405be9-ab… Plantae Trach… Magn… Lami… Oleac… Olea Olea e…
# ℹ 196,969 more rows
# ℹ 41 more variables: infraspecificEpithet <chr>, taxonRank <chr>, scientificName <chr>,
# verbatimScientificName <chr>, verbatimScientificNameAuthorship <chr>,
# countryCode <chr>, locality <chr>, stateProvince <chr>, occurrenceStatus <chr>,
# individualCount <int>, publishingOrgKey <chr>, decimalLatitude <dbl>,
# decimalLongitude <dbl>, coordinateUncertaintyInMeters <dbl>, coordinatePrecision <dbl>,
# elevation <dbl>, elevationAccuracy <dbl>, depth <dbl>, depthAccuracy <dbl>, …
Il y a 196 979 occurrences dans le jeu de données. On les affiche sur la carte du monde :
Figure 211.1: Occurrences de Olea europaea dans le monde.
211.1.1 Données par région
On évalue la proportion d’occurrences dans chaque région, en utilisant les 3 masques créés précédemment. Si on a au moins 50 % des occurrences dans une région, on peut continuer en travaillant uniquement sur ces données. Sinon, on vérifie qu’au moins 67 % des données tombent dans l’ensemble des régions, et on prend la région la plus représentée. Au final, s’il s’agit d’une espèce endémique d’Europe, on n’a pas besoin de manipulation supplémentaire.
[1] 0.9173871326
[1] 0.003553678311
[1] 0.0001573771823
Figure 211.2: Occurrence de Olea europaea dans la région d’endémisme.
211.1.2 Licences
On s’intéresse ici au problème particulier des licences :
CC_BY_4_0 CC_BY_NC_4_0 CC0_1_0
170223 10337 146
[1] 94.27965867
Figure 211.3: Occurrence de Olea europaea dans la région d’endémisme, selon la licence : CC BY-NC en bleu ; CC0 et CC BY en orange.
Idéalement, on aimerait avoir au moins 50 % de données vraiment libres
d’utilisation (c’est-à-dire sans la clause -NC). On continue en supprimant les
données en CC BY-NC.
[1] 170369
211.1.3 Sous-échantillonnage
Si le jeu de données contient 25 000 occurrences ou plus, on procède au sous-échantillonnage aléatoire pour en conserver un maximum de 25 000.
Simple feature collection with 25000 features and 50 fields
Attribute-geometry relationship: 50 constant, 0 aggregate, 0 identity
Geometry type: POINT
Dimension: XY
Bounding box: xmin: -9.731593 ymin: 29.253747 xmax: 45.525615 ymax: 63.434
Geodetic CRS: WGS 84
# A tibble: 25,000 × 51
gbifID datasetKey occurrenceID kingdom phylum class order family genus species
<int64> <chr> <chr> <chr> <chr> <chr> <chr> <chr> <chr> <chr>
1 3402079687 eb97768a-339d-4c… 28705780-1c… Plantae Trach… Magn… Lami… Oleac… Olea Olea e…
2 2645282541 14d5676a-2c54-4f… q-100845985… Plantae Trach… Magn… Lami… Oleac… Olea Olea e…
3 3401900246 7dccad9d-1339-4a… 45b0061c-20… Plantae Trach… Magn… Lami… Oleac… Olea Olea e…
4 3403303912 0fe87daf-ed3c-45… f534c7bb-a5… Plantae Trach… Magn… Lami… Oleac… Olea Olea e…
5 3954762915 14d5676a-2c54-4f… q-101777798… Plantae Trach… Magn… Lami… Oleac… Olea Olea e…
6 3401772826 eb97768a-339d-4c… a9351871-05… Plantae Trach… Magn… Lami… Oleac… Olea Olea e…
7 3402706342 0fe87daf-ed3c-45… 2bd5dd0c-38… Plantae Trach… Magn… Lami… Oleac… Olea Olea e…
8 3401301693 cfac873c-696e-4a… 0c3c179d-07… Plantae Trach… Magn… Lami… Oleac… Olea Olea e…
9 3402165763 7dccad9d-1339-4a… beb894e2-55… Plantae Trach… Magn… Lami… Oleac… Olea Olea e…
10 3402107436 7dccad9d-1339-4a… a1e91996-b8… Plantae Trach… Magn… Lami… Oleac… Olea Olea e…
# ℹ 24,990 more rows
# ℹ 41 more variables: infraspecificEpithet <chr>, taxonRank <chr>, scientificName <chr>,
# verbatimScientificName <chr>, verbatimScientificNameAuthorship <chr>,
# countryCode <chr>, locality <chr>, stateProvince <chr>, occurrenceStatus <chr>,
# individualCount <int>, publishingOrgKey <chr>, decimalLatitude <dbl>,
# decimalLongitude <dbl>, coordinateUncertaintyInMeters <dbl>, coordinatePrecision <dbl>,
# elevation <dbl>, elevationAccuracy <dbl>, depth <dbl>, depthAccuracy <dbl>, …
211.2 Modélisation de la niche climatique
211.2.1 Préparer les données
Organisation des données d’entrées (occurrences et données environnementales) et des données produites de pseudo-absences :
class : SpatVector
geometry : points
dimensions : 25000, 0 (geometries, attributes)
extent : -9.731593, 45.52562, 29.25375, 63.434 (xmin, xmax, ymin, ymax)
coord. ref. : lon/lat WGS 84 (EPSG:4326)
-=-=-=-=-=-=-=-=-=-=-=-=-=-=-= oleu Data Formating -=-=-=-=-=-=-=-=-=-=-=-=-=-=-=
! Response variable is considered as only presences... Is it really what you want?
! No data has been set aside for modeling evaluation
!!! Some data are located in the same raster cell.
Please set `filter.raster = TRUE` if you want an automatic filtering.
Checking Pseudo-absence selection arguments...
> random pseudo absences selection
> Pseudo absences are selected in explanatory variables
! Some NAs have been automatically removed from your data
!!! Some data are located in the same raster cell.
Please set `filter.raster = TRUE` if you want an automatic filtering.
-=-=-=-=-=-=-=-=-=-=-=-=-=-=-=-=-=-= Done -=-=-=-=-=-=-=-=-=-=-=-=-=-=-=-=-=-=
-=-=-=-=-=-=-=-=-=-=-=-=-=-= BIOMOD.formated.data -=-=-=-=-=-=-=-=-=-=-=-=-=-=
dir.name = Output
sp.name = oleu
24941 presences, 0 true absences and 72868 undefined points in dataset
6 explanatory variables
temp_max_august temp_min temp_wet_quart temp_season
Min. : 2.292 Min. :-22.0760 Min. :-13.553 Min. : 198.1
1st Qu.:20.992 1st Qu.: -8.7000 1st Qu.: 9.291 1st Qu.: 549.4
Median :26.624 Median : -0.5615 Median : 11.791 Median : 715.7
Mean :26.338 Mean : -2.6801 Mean : 12.023 Mean : 730.1
3rd Qu.:30.916 3rd Qu.: 4.2440 3rd Qu.: 15.534 3rd Qu.: 895.0
Max. :45.704 Max. : 12.4000 Max. : 25.408 Max. :1392.7
prec_wet_quart prec_season
Min. : 3.0 Min. : 4.688
1st Qu.: 180.0 1st Qu.: 29.282
Median : 226.0 Median : 37.514
Mean : 239.2 Mean : 43.532
3rd Qu.: 288.0 3rd Qu.: 57.378
Max. :1264.0 Max. :123.597
-=-=-=-=-=-=-=-=-=-=-=-=-=-=-=-=-=-=-=-=-=-=-=-=-=-=-=-=-=-=-=-=-=-=-=-=-=-=-=-=
On visualise les pseudo-absences :
Figure 211.5: Les données d’occurrences (en haut à gauche) et les trois jeux de données aléatoires de pseudo-absences.
$data.vect
class : SpatVector
geometry : points
dimensions : 174764, 2 (geometries, attributes)
extent : -10.60417, 46.97917, 29.02083, 70.97917 (xmin, xmax, ymin, ymax)
coord. ref. :
names : resp dataset
type : <num> <chr>
values : 10 Initial dataset
10 Initial dataset
10 Initial dataset
$data.label
9 10
"**Presences**" "Presences (calibration)"
11 12
"Presences (validation)" "Presences (evaluation)"
19 20
"**True Absences**" "True Absences (calibration)"
21 22
"True Absences (validation)" "True Absences (evaluation)"
29 30
"**Pseudo-Absences**" "Pseudo-Absences (calibration)"
31 1
"Pseudo-Absences (validation)" "Background"
$data.plot
Figure 211.6: Les données d’occurrences (en haut à gauche) et les trois jeux de données aléatoires de pseudo-absences.
211.2.2 Modèles individuels de niche
-=-=-=-=-=-=-=-=-=-=-=-=-=-=-= Build Single Models -=-=-=-=-=-=-=-=-=-=-=-=-=-=-=
Checking Models arguments...
Creating suitable Workdir...
! Weights where automatically defined for oleu_PA1 to rise a 0.5 prevalence !
! Weights where automatically defined for oleu_PA2 to rise a 0.5 prevalence !
! Weights where automatically defined for oleu_PA3 to rise a 0.5 prevalence !
-=-=-=-=-=-=-=-=-=-=-=-=-=-= oleu Modeling Summary -=-=-=-=-=-=-=-=-=-=-=-=-=-=
6 environmental variables ( temp_max_august temp_min temp_wet_quart temp_season prec_wet_quart prec_season )
Number of evaluation repetitions : 1
Models selected : GAM MARS MAXNET GBM ANN RF
Total number of model runs: 18
-=-=-=-=-=-=-=-=-=-=-=-=-=-=-=-=-=-=-=-=-=-=-=-=-=-=-=-=-=-=-=-=-=-=-=-=-=-=-=-=
-=-=-=- Run : oleu_PA1
-=-=-=--=-=-=- oleu_PA1_RUN1
-=-=-=- Run : oleu_PA2
-=-=-=--=-=-=- oleu_PA2_RUN1
-=-=-=- Run : oleu_PA3
-=-=-=--=-=-=- oleu_PA3_RUN1
-=-=-=-=-=-=-=-=-=-=-=-=-=-=-=-=-=-= Done -=-=-=-=-=-=-=-=-=-=-=-=-=-=-=-=-=-=
211.2.2.1 Évaluation de la performance
full.name PA run algo metric.eval cutoff sensitivity
1 oleu_PA1_RUN1_GAM PA1 RUN1 GAM TSS 939.0 97.374
2 oleu_PA1_RUN1_GAM PA1 RUN1 GAM ROC 944.5 97.344
3 oleu_PA1_RUN1_MARS PA1 RUN1 MARS TSS 654.0 95.179
4 oleu_PA1_RUN1_MARS PA1 RUN1 MARS ROC 649.5 95.209
5 oleu_PA1_RUN1_MAXNET PA1 RUN1 MAXNET TSS 383.0 94.577
6 oleu_PA1_RUN1_MAXNET PA1 RUN1 MAXNET ROC 384.5 94.517
specificity calibration validation evaluation
1 70.425 0.678 0.672 NA
2 70.475 0.852 0.847 NA
3 95.145 0.903 0.904 NA
4 95.125 0.991 0.990 NA
5 95.820 0.904 0.905 NA
6 95.895 0.990 0.989 NA
Figure 211.7: Évaluation de la performance des modèles individuels : True Skill Statistic & aire sous la courbe de ROC.
211.2.2.2 Importance des variables environnementales
full.name PA run algo expl.var rand var.imp
1 oleu_PA1_RUN1_GAM PA1 RUN1 GAM temp_max_august 1 0.283013
2 oleu_PA1_RUN1_GAM PA1 RUN1 GAM temp_min 1 0.335112
3 oleu_PA1_RUN1_GAM PA1 RUN1 GAM temp_wet_quart 1 0.002943
4 oleu_PA1_RUN1_GAM PA1 RUN1 GAM temp_season 1 0.143968
5 oleu_PA1_RUN1_GAM PA1 RUN1 GAM prec_wet_quart 1 0.001033
6 oleu_PA1_RUN1_GAM PA1 RUN1 GAM prec_season 1 0.112775
Figure 211.8: Pourcentage de variance expliquée pour chaque variable, décomposé par algorithme.
Figure 211.9: Pourcentage de variance expliquée pour chaque variable, décomposé par variable.
211.2.3 Modèles d’ensemble de niche
Seulement modèles avec TSS > 0.8
-=-=-=-=-=-=-=-=-=-=-=-=-= BIOMOD.ensemble.models.out -=-=-=-=-=-=-=-=-=-=-=-=-=
sp.name : oleu
expl.var.names : temp_max_august temp_min temp_wet_quart temp_season
prec_wet_quart prec_season
models computed:
oleu_EMcvByTSS_mergedData_mergedRun_mergedAlgo, oleu_EMwmeanByTSS_mergedData_mergedRun_mergedAlgo
models failed: none
-=-=-=-=-=-=-=-=-=-=-=-=-=-=-=-=-=-=-=-=-=-=-=-=-=-=-=-=-=-=-=-=-=-=-=-=-=-=-=-=
211.2.3.1 Évaluation de la qualité
full.name merged.by.PA merged.by.run
1 oleu_EMwmeanByTSS_mergedData_mergedRun_mergedAlgo mergedData mergedRun
2 oleu_EMwmeanByTSS_mergedData_mergedRun_mergedAlgo mergedData mergedRun
merged.by.algo filtered.by algo metric.eval cutoff sensitivity specificity
1 mergedAlgo TSS EMwmean TSS 527.0 95.922 97.008
2 mergedAlgo TSS EMwmean ROC 526.5 95.922 97.008
calibration validation evaluation
1 0.929 NA NA
2 0.996 NA NA
Figure 211.11: Évaluation de la qualité du modèle d’ensemble : Aire sous la courbe de ROC & True Skill Statistic.
full.name merged.by.PA merged.by.run
1 oleu_EMcvByTSS_mergedData_mergedRun_mergedAlgo mergedData mergedRun
2 oleu_EMcvByTSS_mergedData_mergedRun_mergedAlgo mergedData mergedRun
3 oleu_EMcvByTSS_mergedData_mergedRun_mergedAlgo mergedData mergedRun
4 oleu_EMcvByTSS_mergedData_mergedRun_mergedAlgo mergedData mergedRun
5 oleu_EMcvByTSS_mergedData_mergedRun_mergedAlgo mergedData mergedRun
6 oleu_EMcvByTSS_mergedData_mergedRun_mergedAlgo mergedData mergedRun
merged.by.algo filtered.by algo expl.var rand var.imp
1 mergedAlgo TSS EMcv temp_max_august 1 0.182244
2 mergedAlgo TSS EMcv temp_min 1 0.339826
3 mergedAlgo TSS EMcv temp_wet_quart 1 0.026205
4 mergedAlgo TSS EMcv temp_season 1 0.166126
5 mergedAlgo TSS EMcv prec_wet_quart 1 0.157463
6 mergedAlgo TSS EMcv prec_season 1 0.043964
Par variable :
Figure 211.12: Pourcentage de variance expliquée par variable dans le modèle d’ensemble.
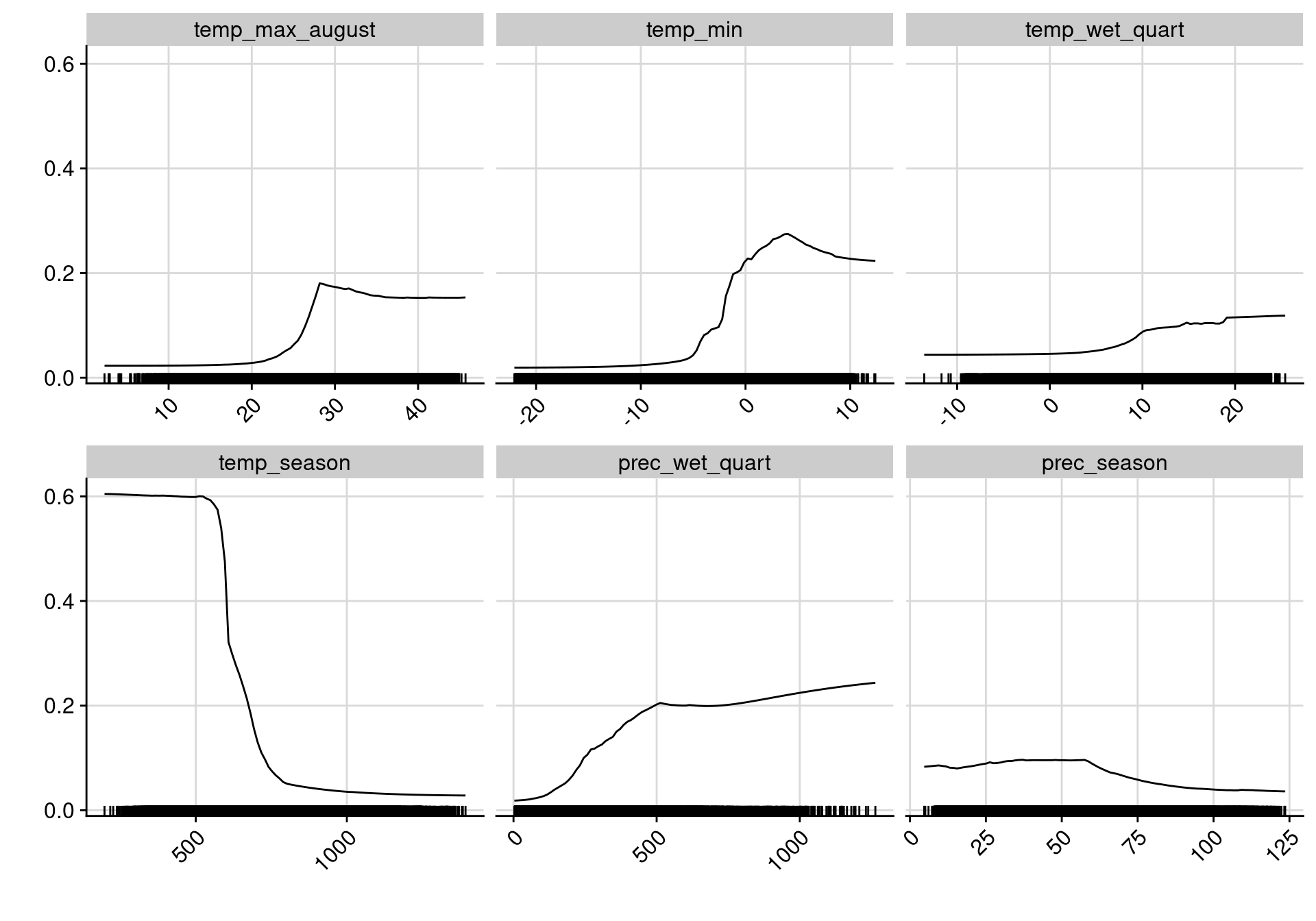
Figure 211.13: Courbes de réponse de chaque variable climatique dans le modèle d’ensemble.
211.3 Projections
211.3.1 Distribution potentielle contemporaine
Contemporaine : Cartographie des observations sur couches climatiques Extraction des conditions climatiques favorables
-=-=-=-=-=-=-=-=-=-=-=-=-=-= BIOMOD.projection.out -=-=-=-=-=-=-=-=-=-=-=-=-=-=
Projection directory : Output/oleu/current
sp.name : oleu
expl.var.names : temp_max_august temp_min temp_wet_quart temp_season
prec_wet_quart prec_season
modeling.id : AllModels ( Output/oleu/oleu.AllModels.models.out )
models.projected :
oleu_PA1_RUN1_GAM, oleu_PA1_RUN1_MARS, oleu_PA1_RUN1_MAXNET, oleu_PA1_RUN1_GBM, oleu_PA1_RUN1_RF, oleu_PA2_RUN1_GAM, oleu_PA2_RUN1_MARS, oleu_PA2_RUN1_MAXNET, oleu_PA2_RUN1_GBM, oleu_PA2_RUN1_RF, oleu_PA3_RUN1_GAM, oleu_PA3_RUN1_MARS, oleu_PA3_RUN1_MAXNET, oleu_PA3_RUN1_GBM, oleu_PA3_RUN1_RF
available binary projection : TSS, ROC
available filtered projection : TSS, ROC
-=-=-=-=-=-=-=-=-=-=-=-=-=-=-=-=-=-=-=-=-=-=-=-=-=-=-=-=-=-=-=-=-=-=-=-=-=-=-=-=
Figure 211.14: Projection de la distribution potentielle contemporaine sur l’Europe, selon les 6 algorithmes et les 3 runs.
Figure 211.15: Projection de la distribution potentielle contemporaine sur l’Europe, selon les 6 algorithmes et les 3 runs.
-=-=-=-=-=-=-=-=-=-=-=-=-=-= BIOMOD.projection.out -=-=-=-=-=-=-=-=-=-=-=-=-=-=
Projection directory : Output/oleu/current
sp.name : oleu
expl.var.names : temp_max_august temp_min temp_wet_quart temp_season
prec_wet_quart prec_season
modeling.id : AllModels ( Output/oleu/oleu.AllModels.ensemble.models.out )
models.projected :
oleu_EMcvByTSS_mergedData_mergedRun_mergedAlgo, oleu_EMwmeanByTSS_mergedData_mergedRun_mergedAlgo
-=-=-=-=-=-=-=-=-=-=-=-=-=-=-=-=-=-=-=-=-=-=-=-=-=-=-=-=-=-=-=-=-=-=-=-=-=-=-=-=
Figure 211.16: A) Projection de la distribution potentielle contemporaine (modèle d’ensemble) ; B) Incertitude associée à la projection.
211.3.2 Interpolation à l’échelle de la métropole
- → conditions climatiques favorables à fine échelle
On projette la niche climatique sur ce raster à fine échelle.
-=-=-=-=-=-=-=-=-=-=-=-=-=-= BIOMOD.projection.out -=-=-=-=-=-=-=-=-=-=-=-=-=-=
Projection directory : Output/oleu/cont_gre
sp.name : oleu
expl.var.names : temp_max_august temp_min temp_wet_quart temp_season
prec_wet_quart prec_season
modeling.id : AllModels ( Output/oleu/oleu.AllModels.models.out )
models.projected :
oleu_PA1_RUN1_GAM, oleu_PA1_RUN1_MARS, oleu_PA1_RUN1_MAXNET, oleu_PA1_RUN1_GBM, oleu_PA1_RUN1_RF, oleu_PA2_RUN1_GAM, oleu_PA2_RUN1_MARS, oleu_PA2_RUN1_MAXNET, oleu_PA2_RUN1_GBM, oleu_PA2_RUN1_RF, oleu_PA3_RUN1_GAM, oleu_PA3_RUN1_MARS, oleu_PA3_RUN1_MAXNET, oleu_PA3_RUN1_GBM, oleu_PA3_RUN1_RF
available binary projection : TSS, ROC
available filtered projection : TSS, ROC
-=-=-=-=-=-=-=-=-=-=-=-=-=-=-=-=-=-=-=-=-=-=-=-=-=-=-=-=-=-=-=-=-=-=-=-=-=-=-=-=
Figure 211.17: Projection de la distribution potentielle contemporaine sur la métropole de Grenoble, selon les 6 algorithmes et les 3 runs.
Figure 211.18: Projection de la distribution potentielle contemporaine sur la métropole de Grenoble, selon les 6 algorithmes et les 3 runs.
-=-=-=-=-=-=-=-=-=-=-=-=-=-= BIOMOD.projection.out -=-=-=-=-=-=-=-=-=-=-=-=-=-=
Projection directory : Output/oleu/cont_gre
sp.name : oleu
expl.var.names : temp_max_august temp_min temp_wet_quart temp_season
prec_wet_quart prec_season
modeling.id : AllModels ( Output/oleu/oleu.AllModels.ensemble.models.out )
models.projected :
oleu_EMcvByTSS_mergedData_mergedRun_mergedAlgo, oleu_EMwmeanByTSS_mergedData_mergedRun_mergedAlgo
-=-=-=-=-=-=-=-=-=-=-=-=-=-=-=-=-=-=-=-=-=-=-=-=-=-=-=-=-=-=-=-=-=-=-=-=-=-=-=-=
Figure 211.19: A) Projection de la distribution potentielle contemporaine (modèle d’ensemble) sur la métropole de Grenoble ; B) Incertitude associée à la projection.
211.3.3 Distributions potentielles futures
Futur : Projection à l’échelle de l’Europe jusqu’à l’horizon 2100
Toutes les fenêtres temporelles × scénarios pour le GCM « IPSL-CM6A-LR »
- SSP1-2.6




Figure 211.20: Projection des distributions potentielles futures jusqu’à l’horizon 2100 sous le scénario SSP1-2.6 (modèle d’ensemble).
On obtient pour la métrique TSS une carte unique de moyenne pondérée sur les algorithmes et sur les jeux de pseudo-absences.
- SSP2-4.5




Figure 211.21: Projection des distributions potentielles futures jusqu’à l’horizon 2100 sous le scénario SSP2-4.5 (modèle d’ensemble).
- SSP3-7.0




Figure 211.22: Projection des distributions potentielles futures jusqu’à l’horizon 2100 sous le scénario SSP3-7.0 (modèle d’ensemble).
- SSP5-8.5




Figure 211.23: Projection des distributions potentielles futures jusqu’à l’horizon 2100 sous le scénario SSP5-8.5 (modèle d’ensemble).
211.4 Inférence à l’échelle de la métropole
- Croisement avec températures de surface 2019 (fournie par la métropole)
- → conditions climatiques favorables à fine échelle
- à peu près 7 pixels × 9 (WorldClim)
211.4.1 Distributions potentielles futures
Même chose que précédemment mais sur les rasters de Grenoble
- SSP1-2.6




Figure 211.24: Projection des distributions potentielles contemporaine et futures jusqu’à l’horizon 2100 sous le scénario SSP5-8.5 (modèle d’ensemble, GCM IPSL).
- SSP2-4.5




Figure 211.25: Projection des distributions potentielles contemporaine et futures jusqu’à l’horizon 2100 sous le scénario SSP5-8.5 (modèle d’ensemble, GCM IPSL).
- SSP3-7.0




Figure 211.26: Projection des distributions potentielles contemporaine et futures jusqu’à l’horizon 2100 sous le scénario SSP5-8.5 (modèle d’ensemble, GCM IPSL).
- SSP5-8.5




Figure 211.27: Projection des distributions potentielles contemporaine et futures jusqu’à l’horizon 2100 sous le scénario SSP5-8.5 (modèle d’ensemble, GCM IPSL).
211.4.2 Évolution temporelle
# A tibble: 17 × 8
min q1 median mean q3 max ssp year
<table[1d]> <table[1d]> <table[1d]> <table[1d]> <table[1d]> <tab> <fct> <dbl>
1 17 44 108 196.1282 394 561 0 2000
2 27 158 278 285.1157 409 570 126 2040
3 37 205 327 308.4013 414 579 126 2060
4 35 236 350 337.1539 441 591 126 2080
5 43 221 348 331.9176 444 599 126 2100
6 35 196 325 309.1938 421 581 245 2040
7 44 243 335 325.2122 412 560 245 2060
8 80 336 403 400.4512 470 603 245 2080
9 96 331 397 394.2758 463 602 245 2100
10 29 153 266 268.2278 381 550 370 2040
11 56 259 350 341.2889 432 581 370 2060
12 104 333 408 400.8143 464 582 370 2080
13 202 284 317 331.5401 385 448 370 2100
14 29 181 310 299.5887 417 582 585 2040
15 66 315 371 371.8980 448 585 585 2060
16 145 292 364 349.6919 404 482 585 2080
17 173 239 263 268.2704 289 398 585 2100
Figure 211.28: Évolution de la favorabilité climatique au cours du XXIème siècle. Le point représente la médiane sur l’étendue de la métropole (i.e. tous les pixels de la carte) ; le trait gras représente 50 % des données intermédiaires (espace inter-quartile) ; le trait fin représente le reste des données du minimum au maximum.