13 Prunus avium
13.1 Données d’occurrences GBIF
Collecte des données du GBIF :
<<gbif download metadata>>
Status: SUCCEEDED
DOI: 10.15468/dl.dvwd24
Format: SIMPLE_CSV
Download key: 0230475-230224095556074
Created: 2023-05-10T16:19:25.895+00:00
Modified: 2023-05-10T16:28:14.542+00:00
Download link: https://api.gbif.org/v1/occurrence/download/request/0230475-230224095556074.zip
Total records: 286483
Conversion en objets géographiques (format Simple feature de sf) et
exploration rapide des données (classe du jeu de données et premières lignes du
tableau) :
Simple feature collection with 286483 features and 50 fields
Attribute-geometry relationship: 50 constant, 0 aggregate, 0 identity
Geometry type: POINT
Dimension: XY
Bounding box: xmin: -128.586838 ymin: -46.561725 xmax: 175.620805 ymax: 78.2165
Geodetic CRS: WGS 84
# A tibble: 286,483 × 51
gbifID datasetKey occurrenceID kingdom phylum class order family genus species infraspecificEpithet
* <int64> <chr> <chr> <chr> <chr> <chr> <chr> <chr> <chr> <chr> <chr>
1 3.e9 5f06e39d-… "USFS - New… Plantae Trach… Magn… Rosa… Rosac… Prun… Prunus… ""
2 3.e9 5f06e39d-… "USFS - New… Plantae Trach… Magn… Rosa… Rosac… Prun… Prunus… ""
3 1.e9 f2e389da-… "http://tun… Plantae Trach… Magn… Rosa… Rosac… Prun… Prunus… ""
4 2 e8 857aa892-… "" Plantae Trach… Magn… Rosa… Rosac… Prun… Prunus… ""
5 2 e8 857aa892-… "" Plantae Trach… Magn… Rosa… Rosac… Prun… Prunus… ""
6 2 e8 857aa892-… "" Plantae Trach… Magn… Rosa… Rosac… Prun… Prunus… ""
7 2 e8 857aa892-… "" Plantae Trach… Magn… Rosa… Rosac… Prun… Prunus… ""
8 2 e8 857aa892-… "" Plantae Trach… Magn… Rosa… Rosac… Prun… Prunus… ""
9 2 e8 857aa892-… "" Plantae Trach… Magn… Rosa… Rosac… Prun… Prunus… ""
10 2 e8 857aa892-… "" Plantae Trach… Magn… Rosa… Rosac… Prun… Prunus… ""
# ℹ 286,473 more rows
# ℹ 40 more variables: taxonRank <chr>, scientificName <chr>, verbatimScientificName <chr>,
# verbatimScientificNameAuthorship <chr>, countryCode <chr>, locality <chr>, stateProvince <chr>,
# occurrenceStatus <chr>, individualCount <int>, publishingOrgKey <chr>, decimalLatitude <dbl>,
# decimalLongitude <dbl>, coordinateUncertaintyInMeters <dbl>, coordinatePrecision <dbl>,
# elevation <dbl>, elevationAccuracy <dbl>, depth <dbl>, depthAccuracy <dbl>, eventDate <dttm>,
# day <int>, month <int>, year <int>, taxonKey <int>, speciesKey <int>, basisOfRecord <chr>, …
Il y a 286 483 occurrences dans le jeu de données. On les affiche sur la carte du monde :
Figure 13.1: Occurrences de Prunus avium dans le monde.
13.1.1 Données par région
On évalue la proportion d’occurrences dans chaque région, en utilisant les 3 masques créés précédemment. Si on a au moins 50 % des occurrences dans une région, on peut continuer en travaillant uniquement sur ces données. Sinon, on vérifie qu’au moins 67 % des données tombent dans l’ensemble des régions, et on prend la région la plus représentée. Au final, s’il s’agit d’une espèce endémique d’Europe, on n’a pas besoin de manipulation supplémentaire.
[1] 0.9951515448
[1] 0.004007218578
[1] 6.283095332e-05
Figure 13.2: Occurrence de Prunus avium dans la région d’endémisme.
13.1.2 Licences
On s’intéresse ici au problème particulier des licences :
CC_BY_4_0 CC_BY_NC_4_0 CC0_1_0
218095 32158 34841
[1] 88.72021158
Figure 13.3: Occurrence de Prunus avium dans la région d’endémisme, selon la licence : CC BY-NC en bleu ; CC0 et CC BY en orange.
Idéalement, on aimerait avoir au moins 50 % de données vraiment libres
d’utilisation (c’est-à-dire sans la clause -NC). On continue en supprimant les
données en CC BY-NC.
[1] 252936
13.1.3 Sous-échantillonnage
Si le jeu de données contient 25 000 occurrences ou plus, on procède au sous-échantillonnage aléatoire pour en conserver un maximum de 25 000.
Simple feature collection with 25000 features and 50 fields
Attribute-geometry relationship: 50 constant, 0 aggregate, 0 identity
Geometry type: POINT
Dimension: XY
Bounding box: xmin: -9.30227 ymin: 32.008623 xmax: 43.495132 ymax: 63.79768
Geodetic CRS: WGS 84
# A tibble: 25,000 × 51
gbifID datasetKey occurrenceID kingdom phylum class order family genus species infraspecificEpithet
<int64> <chr> <chr> <chr> <chr> <chr> <chr> <chr> <chr> <chr> <chr>
1 2 e9 38b4c89f-… urn:lsid:ar… Plantae Trach… Magn… Rosa… Rosac… Prun… Prunus… ""
2 3.e9 b109feb0-… DSS00292000… Plantae Trach… Magn… Rosa… Rosac… Prun… Prunus… ""
3 1.e9 8ea4250e-… http://id.s… Plantae Trach… Magn… Rosa… Rosac… Prun… Prunus… ""
4 4 e9 38b4c89f-… urn:lsid:ar… Plantae Trach… Magn… Rosa… Rosac… Prun… Prunus… ""
5 1.e9 8ea4250e-… http://id.s… Plantae Trach… Magn… Rosa… Rosac… Prun… Prunus… ""
6 1 e9 75956ee6-… http://pifh… Plantae Trach… Magn… Rosa… Rosac… Prun… Prunus… ""
7 1.e8 d34ed8a4-… urn:catalog… Plantae Trach… Magn… Rosa… Rosac… Prun… Prunus… ""
8 3.e9 f11a63fa-… 82105e09-66… Plantae Trach… Magn… Rosa… Rosac… Prun… Prunus… ""
9 1 e9 75956ee6-… http://cbnb… Plantae Trach… Magn… Rosa… Rosac… Prun… Prunus… ""
10 1 e9 75956ee6-… http://pifh… Plantae Trach… Magn… Rosa… Rosac… Prun… Prunus… ""
# ℹ 24,990 more rows
# ℹ 40 more variables: taxonRank <chr>, scientificName <chr>, verbatimScientificName <chr>,
# verbatimScientificNameAuthorship <chr>, countryCode <chr>, locality <chr>, stateProvince <chr>,
# occurrenceStatus <chr>, individualCount <int>, publishingOrgKey <chr>, decimalLatitude <dbl>,
# decimalLongitude <dbl>, coordinateUncertaintyInMeters <dbl>, coordinatePrecision <dbl>,
# elevation <dbl>, elevationAccuracy <dbl>, depth <dbl>, depthAccuracy <dbl>, eventDate <dttm>,
# day <int>, month <int>, year <int>, taxonKey <int>, speciesKey <int>, basisOfRecord <chr>, …
13.2 Modélisation de la niche climatique
13.2.1 Préparer les données
Organisation des données d’entrées (occurrences et données environnementales) et des données produites de pseudo-absences :
class : SpatVector
geometry : points
dimensions : 25000, 0 (geometries, attributes)
extent : -9.30227, 43.49513, 32.00862, 63.79768 (xmin, xmax, ymin, ymax)
coord. ref. : lon/lat WGS 84 (EPSG:4326)
-=-=-=-=-=-=-=-=-=-=-=-=-=-=-= prav Data Formating -=-=-=-=-=-=-=-=-=-=-=-=-=-=-=
! Response variable is considered as only presences... Is it really what you want?
! No data has been set aside for modeling evaluation
!!! Some data are located in the same raster cell.
Please set `filter.raster = TRUE` if you want an automatic filtering.
Checking Pseudo-absence selection arguments...
> random pseudo absences selection
> Pseudo absences are selected in explanatory variables
! Some NAs have been automatically removed from your data
!!! Some data are located in the same raster cell.
Please set `filter.raster = TRUE` if you want an automatic filtering.
-=-=-=-=-=-=-=-=-=-=-=-=-=-=-=-=-=-= Done -=-=-=-=-=-=-=-=-=-=-=-=-=-=-=-=-=-=
-=-=-=-=-=-=-=-=-=-=-=-=-=-= BIOMOD.formated.data -=-=-=-=-=-=-=-=-=-=-=-=-=-=
dir.name = Output
sp.name = prav
24993 presences, 0 true absences and 72887 undefined points in dataset
6 explanatory variables
temp_max_august temp_min temp_wet_quart temp_season
Min. : 4.06 Min. :-21.992 Min. :-12.078 Min. : 234.8
1st Qu.:20.38 1st Qu.: -8.752 1st Qu.: 8.401 1st Qu.: 610.3
Median :23.52 Median : -3.144 Median : 12.893 Median : 721.9
Mean :24.85 Mean : -4.167 Mean : 12.159 Mean : 753.9
3rd Qu.:27.95 3rd Qu.: 0.868 3rd Qu.: 16.119 3rd Qu.: 897.9
Max. :45.86 Max. : 12.148 Max. : 25.651 Max. :1379.6
prec_wet_quart prec_season
Min. : 3.0 Min. : 4.911
1st Qu.: 175.0 1st Qu.: 20.725
Median : 216.0 Median : 30.286
Mean : 218.4 Mean : 34.349
3rd Qu.: 252.0 3rd Qu.: 39.202
Max. :1255.0 Max. :123.648
-=-=-=-=-=-=-=-=-=-=-=-=-=-=-=-=-=-=-=-=-=-=-=-=-=-=-=-=-=-=-=-=-=-=-=-=-=-=-=-=
On visualise les pseudo-absences :
Figure 13.5: Les données d’occurrences (en haut à gauche) et les trois jeux de données aléatoires de pseudo-absences.
$data.vect
class : SpatVector
geometry : points
dimensions : 174972, 2 (geometries, attributes)
extent : -10.47917, 46.97917, 29.02083, 70.97917 (xmin, xmax, ymin, ymax)
coord. ref. :
names : resp dataset
type : <num> <chr>
values : 10 Initial dataset
10 Initial dataset
10 Initial dataset
$data.label
9 10
"**Presences**" "Presences (calibration)"
11 12
"Presences (validation)" "Presences (evaluation)"
19 20
"**True Absences**" "True Absences (calibration)"
21 22
"True Absences (validation)" "True Absences (evaluation)"
29 30
"**Pseudo-Absences**" "Pseudo-Absences (calibration)"
31 1
"Pseudo-Absences (validation)" "Background"
$data.plot
Figure 13.6: Les données d’occurrences (en haut à gauche) et les trois jeux de données aléatoires de pseudo-absences.
13.2.2 Modèles individuels de niche
-=-=-=-=-=-=-=-=-=-=-=-=-=-=-= Build Single Models -=-=-=-=-=-=-=-=-=-=-=-=-=-=-=
Checking Models arguments...
Creating suitable Workdir...
! Weights where automatically defined for prav_PA1 to rise a 0.5 prevalence !
! Weights where automatically defined for prav_PA2 to rise a 0.5 prevalence !
! Weights where automatically defined for prav_PA3 to rise a 0.5 prevalence !
-=-=-=-=-=-=-=-=-=-=-=-=-=-= prav Modeling Summary -=-=-=-=-=-=-=-=-=-=-=-=-=-=
6 environmental variables ( temp_max_august temp_min temp_wet_quart temp_season prec_wet_quart prec_season )
Number of evaluation repetitions : 1
Models selected : GAM MARS MAXNET GBM ANN RF
Total number of model runs: 18
-=-=-=-=-=-=-=-=-=-=-=-=-=-=-=-=-=-=-=-=-=-=-=-=-=-=-=-=-=-=-=-=-=-=-=-=-=-=-=-=
-=-=-=- Run : prav_PA1
-=-=-=--=-=-=- prav_PA1_RUN1
-=-=-=- Run : prav_PA2
-=-=-=--=-=-=- prav_PA2_RUN1
-=-=-=- Run : prav_PA3
-=-=-=--=-=-=- prav_PA3_RUN1
-=-=-=-=-=-=-=-=-=-=-=-=-=-=-=-=-=-= Done -=-=-=-=-=-=-=-=-=-=-=-=-=-=-=-=-=-=
13.2.2.1 Évaluation de la performance
full.name PA run algo metric.eval cutoff sensitivity
1 prav_PA1_RUN1_GAM PA1 RUN1 GAM TSS 657.0 96.814
2 prav_PA1_RUN1_GAM PA1 RUN1 GAM ROC 652.5 96.944
3 prav_PA1_RUN1_MARS PA1 RUN1 MARS TSS 509.0 96.669
4 prav_PA1_RUN1_MARS PA1 RUN1 MARS ROC 497.5 96.929
5 prav_PA1_RUN1_MAXNET PA1 RUN1 MAXNET TSS 352.0 96.424
6 prav_PA1_RUN1_MAXNET PA1 RUN1 MAXNET ROC 349.5 96.494
specificity calibration validation evaluation
1 59.325 0.561 0.554 NA
2 59.250 0.698 0.697 NA
3 86.680 0.834 0.827 NA
4 86.490 0.953 0.952 NA
5 86.985 0.834 0.828 NA
6 86.935 0.953 0.953 NA
Figure 13.7: Évaluation de la performance des modèles individuels : True Skill Statistic & aire sous la courbe de ROC.
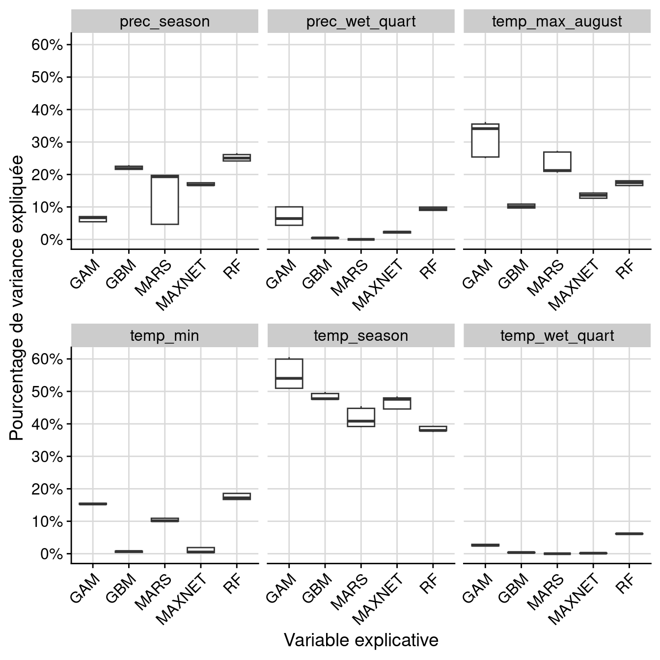
13.2.2.2 Importance des variables environnementales
full.name PA run algo expl.var rand var.imp
1 prav_PA1_RUN1_GAM PA1 RUN1 GAM temp_max_august 1 0.355343
2 prav_PA1_RUN1_GAM PA1 RUN1 GAM temp_min 1 0.152083
3 prav_PA1_RUN1_GAM PA1 RUN1 GAM temp_wet_quart 1 0.028799
4 prav_PA1_RUN1_GAM PA1 RUN1 GAM temp_season 1 0.540166
5 prav_PA1_RUN1_GAM PA1 RUN1 GAM prec_wet_quart 1 0.064237
6 prav_PA1_RUN1_GAM PA1 RUN1 GAM prec_season 1 0.054104
Figure 13.8: Pourcentage de variance expliquée pour chaque variable, décomposé par algorithme.
Figure 13.9: Pourcentage de variance expliquée pour chaque variable, décomposé par variable.
13.2.3 Modèles d’ensemble de niche
Seulement modèles avec TSS > 0.8
-=-=-=-=-=-=-=-=-=-=-=-=-= BIOMOD.ensemble.models.out -=-=-=-=-=-=-=-=-=-=-=-=-=
sp.name : prav
expl.var.names : temp_max_august temp_min temp_wet_quart temp_season
prec_wet_quart prec_season
models computed:
prav_EMcvByTSS_mergedData_mergedRun_mergedAlgo, prav_EMwmeanByTSS_mergedData_mergedRun_mergedAlgo
models failed: none
-=-=-=-=-=-=-=-=-=-=-=-=-=-=-=-=-=-=-=-=-=-=-=-=-=-=-=-=-=-=-=-=-=-=-=-=-=-=-=-=
13.2.3.1 Évaluation de la qualité
full.name merged.by.PA merged.by.run
1 prav_EMwmeanByTSS_mergedData_mergedRun_mergedAlgo mergedData mergedRun
2 prav_EMwmeanByTSS_mergedData_mergedRun_mergedAlgo mergedData mergedRun
merged.by.algo filtered.by algo metric.eval cutoff sensitivity specificity
1 mergedAlgo TSS EMwmean TSS 654.0 94.246 93.405
2 mergedAlgo TSS EMwmean ROC 655.5 94.186 93.471
calibration validation evaluation
1 0.876 NA NA
2 0.986 NA NA
Figure 13.11: Évaluation de la qualité du modèle d’ensemble : Aire sous la courbe de ROC & True Skill Statistic.
full.name merged.by.PA merged.by.run
1 prav_EMcvByTSS_mergedData_mergedRun_mergedAlgo mergedData mergedRun
2 prav_EMcvByTSS_mergedData_mergedRun_mergedAlgo mergedData mergedRun
3 prav_EMcvByTSS_mergedData_mergedRun_mergedAlgo mergedData mergedRun
4 prav_EMcvByTSS_mergedData_mergedRun_mergedAlgo mergedData mergedRun
5 prav_EMcvByTSS_mergedData_mergedRun_mergedAlgo mergedData mergedRun
6 prav_EMcvByTSS_mergedData_mergedRun_mergedAlgo mergedData mergedRun
merged.by.algo filtered.by algo expl.var rand var.imp
1 mergedAlgo TSS EMcv temp_max_august 1 0.137875
2 mergedAlgo TSS EMcv temp_min 1 0.094168
3 mergedAlgo TSS EMcv temp_wet_quart 1 0.025039
4 mergedAlgo TSS EMcv temp_season 1 0.430206
5 mergedAlgo TSS EMcv prec_wet_quart 1 0.042535
6 mergedAlgo TSS EMcv prec_season 1 0.194691
Par variable :
Figure 13.12: Pourcentage de variance expliquée par variable dans le modèle d’ensemble.
Figure 13.13: Courbes de réponse de chaque variable climatique dans le modèle d’ensemble.
13.3 Projections
13.3.1 Distribution potentielle contemporaine
Contemporaine : Cartographie des observations sur couches climatiques Extraction des conditions climatiques favorables
-=-=-=-=-=-=-=-=-=-=-=-=-=-= BIOMOD.projection.out -=-=-=-=-=-=-=-=-=-=-=-=-=-=
Projection directory : Output/prav/current
sp.name : prav
expl.var.names : temp_max_august temp_min temp_wet_quart temp_season
prec_wet_quart prec_season
modeling.id : AllModels ( Output/prav/prav.AllModels.models.out )
models.projected :
prav_PA1_RUN1_GAM, prav_PA1_RUN1_MARS, prav_PA1_RUN1_MAXNET, prav_PA1_RUN1_GBM, prav_PA1_RUN1_RF, prav_PA2_RUN1_GAM, prav_PA2_RUN1_MARS, prav_PA2_RUN1_MAXNET, prav_PA2_RUN1_GBM, prav_PA2_RUN1_RF, prav_PA3_RUN1_GAM, prav_PA3_RUN1_MARS, prav_PA3_RUN1_MAXNET, prav_PA3_RUN1_GBM, prav_PA3_RUN1_RF
available binary projection : TSS, ROC
available filtered projection : TSS, ROC
-=-=-=-=-=-=-=-=-=-=-=-=-=-=-=-=-=-=-=-=-=-=-=-=-=-=-=-=-=-=-=-=-=-=-=-=-=-=-=-=
Figure 13.14: Projection de la distribution potentielle contemporaine sur l’Europe, selon les 6 algorithmes et les 3 runs.
Figure 13.15: Projection de la distribution potentielle contemporaine sur l’Europe, selon les 6 algorithmes et les 3 runs.
-=-=-=-=-=-=-=-=-=-=-=-=-=-= BIOMOD.projection.out -=-=-=-=-=-=-=-=-=-=-=-=-=-=
Projection directory : Output/prav/current
sp.name : prav
expl.var.names : temp_max_august temp_min temp_wet_quart temp_season
prec_wet_quart prec_season
modeling.id : AllModels ( Output/prav/prav.AllModels.ensemble.models.out )
models.projected :
prav_EMcvByTSS_mergedData_mergedRun_mergedAlgo, prav_EMwmeanByTSS_mergedData_mergedRun_mergedAlgo
-=-=-=-=-=-=-=-=-=-=-=-=-=-=-=-=-=-=-=-=-=-=-=-=-=-=-=-=-=-=-=-=-=-=-=-=-=-=-=-=
Figure 13.16: A) Projection de la distribution potentielle contemporaine (modèle d’ensemble) ; B) Incertitude associée à la projection.
13.3.2 Interpolation à l’échelle de la métropole
- → conditions climatiques favorables à fine échelle
On projette la niche climatique sur ce raster à fine échelle.
-=-=-=-=-=-=-=-=-=-=-=-=-=-= BIOMOD.projection.out -=-=-=-=-=-=-=-=-=-=-=-=-=-=
Projection directory : Output/prav/cont_gre
sp.name : prav
expl.var.names : temp_max_august temp_min temp_wet_quart temp_season
prec_wet_quart prec_season
modeling.id : AllModels ( Output/prav/prav.AllModels.models.out )
models.projected :
prav_PA1_RUN1_GAM, prav_PA1_RUN1_MARS, prav_PA1_RUN1_MAXNET, prav_PA1_RUN1_GBM, prav_PA1_RUN1_RF, prav_PA2_RUN1_GAM, prav_PA2_RUN1_MARS, prav_PA2_RUN1_MAXNET, prav_PA2_RUN1_GBM, prav_PA2_RUN1_RF, prav_PA3_RUN1_GAM, prav_PA3_RUN1_MARS, prav_PA3_RUN1_MAXNET, prav_PA3_RUN1_GBM, prav_PA3_RUN1_RF
available binary projection : TSS, ROC
available filtered projection : TSS, ROC
-=-=-=-=-=-=-=-=-=-=-=-=-=-=-=-=-=-=-=-=-=-=-=-=-=-=-=-=-=-=-=-=-=-=-=-=-=-=-=-=
Figure 13.17: Projection de la distribution potentielle contemporaine sur la métropole de Grenoble, selon les 6 algorithmes et les 3 runs.
Figure 13.18: Projection de la distribution potentielle contemporaine sur la métropole de Grenoble, selon les 6 algorithmes et les 3 runs.
-=-=-=-=-=-=-=-=-=-=-=-=-=-= BIOMOD.projection.out -=-=-=-=-=-=-=-=-=-=-=-=-=-=
Projection directory : Output/prav/cont_gre
sp.name : prav
expl.var.names : temp_max_august temp_min temp_wet_quart temp_season
prec_wet_quart prec_season
modeling.id : AllModels ( Output/prav/prav.AllModels.ensemble.models.out )
models.projected :
prav_EMcvByTSS_mergedData_mergedRun_mergedAlgo, prav_EMwmeanByTSS_mergedData_mergedRun_mergedAlgo
-=-=-=-=-=-=-=-=-=-=-=-=-=-=-=-=-=-=-=-=-=-=-=-=-=-=-=-=-=-=-=-=-=-=-=-=-=-=-=-=
Figure 13.19: A) Projection de la distribution potentielle contemporaine (modèle d’ensemble) sur la métropole de Grenoble ; B) Incertitude associée à la projection.
13.3.3 Distributions potentielles futures
Futur : Projection à l’échelle de l’Europe jusqu’à l’horizon 2100
Toutes les fenêtres temporelles × scénarios pour le GCM « IPSL-CM6A-LR »
- SSP1-2.6




Figure 13.20: Projection des distributions potentielles futures jusqu’à l’horizon 2100 sous le scénario SSP1-2.6 (modèle d’ensemble).
On obtient pour la métrique TSS une carte unique de moyenne pondérée sur les algorithmes et sur les jeux de pseudo-absences.
- SSP2-4.5




Figure 13.21: Projection des distributions potentielles futures jusqu’à l’horizon 2100 sous le scénario SSP2-4.5 (modèle d’ensemble).
- SSP3-7.0




Figure 13.22: Projection des distributions potentielles futures jusqu’à l’horizon 2100 sous le scénario SSP3-7.0 (modèle d’ensemble).
- SSP5-8.5




Figure 13.23: Projection des distributions potentielles futures jusqu’à l’horizon 2100 sous le scénario SSP5-8.5 (modèle d’ensemble).
13.4 Inférence à l’échelle de la métropole
- Croisement avec températures de surface 2019 (fournie par la métropole)
- → conditions climatiques favorables à fine échelle
- à peu près 7 pixels × 9 (WorldClim)
13.4.1 Distributions potentielles futures
Même chose que précédemment mais sur les rasters de Grenoble
- SSP1-2.6




Figure 13.24: Projection des distributions potentielles contemporaine et futures jusqu’à l’horizon 2100 sous le scénario SSP5-8.5 (modèle d’ensemble, GCM IPSL).
- SSP2-4.5




Figure 13.25: Projection des distributions potentielles contemporaine et futures jusqu’à l’horizon 2100 sous le scénario SSP5-8.5 (modèle d’ensemble, GCM IPSL).
- SSP3-7.0




Figure 13.26: Projection des distributions potentielles contemporaine et futures jusqu’à l’horizon 2100 sous le scénario SSP5-8.5 (modèle d’ensemble, GCM IPSL).
- SSP5-8.5




Figure 13.27: Projection des distributions potentielles contemporaine et futures jusqu’à l’horizon 2100 sous le scénario SSP5-8.5 (modèle d’ensemble, GCM IPSL).
13.4.2 Évolution temporelle
# A tibble: 17 × 8
min q1 median mean q3 max ssp year
<table[1d]> <table[1d]> <table[1d]> <table[1d]> <table[1d]> <tab> <fct> <dbl>
1 280 566 767 685.41533 805 848 0 2000
2 174 360 700 591.37469 788 839 126 2040
3 149 303 599 534.74521 750 829 126 2060
4 167 304 590 530.30195 739 822 126 2080
5 185 318 622 544.42820 739 804 126 2100
6 172 348 682 583.11158 789 837 245 2040
7 133 261 491 477.92164 702 811 245 2060
8 129 259 426 444.82855 634 788 245 2080
9 118 227 353 377.09150 528 738 245 2100
10 150 339 643 569.74877 779 843 370 2040
11 135 273 514 490.75925 707 801 370 2060
12 108 207 320 346.62586 472 751 370 2080
13 71 97 141 146.21750 183 492 370 2100
14 174 336 656 563.45731 759 822 585 2040
15 130 247 423 438.65246 639 768 585 2060
16 73 116 165 174.98498 222 560 585 2080
17 49 69 92 88.87471 107 168 585 2100
Figure 13.28: Évolution de la favorabilité climatique au cours du XXIème siècle. Le point représente la médiane sur l’étendue de la métropole (i.e. tous les pixels de la carte) ; le trait gras représente 50 % des données intermédiaires (espace inter-quartile) ; le trait fin représente le reste des données du minimum au maximum.