111 Alniaria alnifolia
111.1 Données d’occurrences GBIF
Collecte des données du GBIF :
<<gbif download metadata>>
Status: SUCCEEDED
DOI: 10.15468/dl.9q8ahp
Format: SIMPLE_CSV
Download key: 0252451-230224095556074
Created: 2023-05-20T15:34:24.205+00:00
Modified: 2023-05-20T15:35:05.539+00:00
Download link: https://api.gbif.org/v1/occurrence/download/request/0252451-230224095556074.zip
Total records: 1605
Conversion en objets géographiques (format Simple feature de sf) et
exploration rapide des données (classe du jeu de données et premières lignes du
tableau) :
Simple feature collection with 1605 features and 50 fields
Attribute-geometry relationship: 50 constant, 0 aggregate, 0 identity
Geometry type: POINT
Dimension: XY
Bounding box: xmin: -123.233333 ymin: -43.523045 xmax: 172.608977 ymax: 63.434
Geodetic CRS: WGS 84
# A tibble: 1,605 × 51
gbifID datasetKey occurrenceID kingdom phylum class order family genus species infraspecificEpithet
* <int64> <chr> <chr> <chr> <chr> <chr> <chr> <chr> <chr> <chr> <chr>
1 3.e9 c4e1739b-… BISON:New Y… Plantae Trach… Magn… Rosa… Rosac… Alni… Alniar… ""
2 3.e9 c4e1739b-… BISON:New Y… Plantae Trach… Magn… Rosa… Rosac… Alni… Alniar… ""
3 3.e9 c4e1739b-… BISON:New Y… Plantae Trach… Magn… Rosa… Rosac… Alni… Alniar… ""
4 3.e9 c4e1739b-… BISON:New Y… Plantae Trach… Magn… Rosa… Rosac… Alni… Alniar… ""
5 7 e8 86185376-… 7d1276ee-f8… Plantae Trach… Magn… Rosa… Rosac… Alni… Alniar… ""
6 7 e8 86185376-… 7b281190-f8… Plantae Trach… Magn… Rosa… Rosac… Alni… Alniar… ""
7 7 e8 86185376-… 7ad0ec26-f8… Plantae Trach… Magn… Rosa… Rosac… Alni… Alniar… ""
8 7 e8 86185376-… 7aa1075e-f8… Plantae Trach… Magn… Rosa… Rosac… Alni… Alniar… ""
9 7 e8 81031dbc-… urn:catalog… Plantae Trach… Magn… Rosa… Rosac… Alni… Alniar… ""
10 7 e8 81031dbc-… urn:catalog… Plantae Trach… Magn… Rosa… Rosac… Alni… Alniar… ""
# ℹ 1,595 more rows
# ℹ 40 more variables: taxonRank <chr>, scientificName <chr>, verbatimScientificName <chr>,
# verbatimScientificNameAuthorship <chr>, countryCode <chr>, locality <chr>, stateProvince <chr>,
# occurrenceStatus <chr>, individualCount <int>, publishingOrgKey <chr>, decimalLatitude <dbl>,
# decimalLongitude <dbl>, coordinateUncertaintyInMeters <dbl>, coordinatePrecision <lgl>,
# elevation <dbl>, elevationAccuracy <dbl>, depth <lgl>, depthAccuracy <lgl>, eventDate <dttm>,
# day <int>, month <int>, year <int>, taxonKey <int>, speciesKey <int>, basisOfRecord <chr>, …
Il y a 1 605 occurrences dans le jeu de données. On les affiche sur la carte du monde :
Figure 111.1: Occurrences de Alniaria alnifolia dans le monde.
111.1.1 Données par région
On évalue la proportion d’occurrences dans chaque région, en utilisant les 3 masques créés précédemment. Si on a au moins 50 % des occurrences dans une région, on peut continuer en travaillant uniquement sur ces données. Sinon, on vérifie qu’au moins 67 % des données tombent dans l’ensemble des régions, et on prend la région la plus représentée. Au final, s’il s’agit d’une espèce endémique d’Europe, on n’a pas besoin de manipulation supplémentaire.
[1] 0.01433021807
[1] 0.01370716511
[1] 0.9707165109
Figure 111.2: Occurrence de Alniaria alnifolia dans la région d’endémisme.
111.1.2 Licences
On s’intéresse ici au problème particulier des licences :
CC_BY_4_0 CC_BY_NC_4_0 CC0_1_0
544 958 56
[1] 38.51091142
Figure 111.3: Occurrence de Alniaria alnifolia dans la région d’endémisme, selon la licence : CC BY-NC en bleu ; CC0 et CC BY en orange.
Idéalement, on aimerait avoir au moins 50 % de données vraiment libres
d’utilisation (c’est-à-dire sans la clause -NC). On continue en supprimant les
données en CC BY-NC.
[1] 600
111.1.3 Sous-échantillonnage
Si le jeu de données contient 25 000 occurrences ou plus, on procède au sous-échantillonnage aléatoire pour en conserver un maximum de 25 000.
Simple feature collection with 600 features and 50 fields
Attribute-geometry relationship: 50 constant, 0 aggregate, 0 identity
Geometry type: POINT
Dimension: XY
Bounding box: xmin: 106.08 ymin: 24.234819 xmax: 144.513946 ymax: 44.816
Geodetic CRS: WGS 84
# A tibble: 600 × 51
gbifID datasetKey occurrenceID kingdom phylum class order family genus species infraspecificEpithet
<int64> <chr> <chr> <chr> <chr> <chr> <chr> <chr> <chr> <chr> <chr>
1 7e8 86185376-… 7d1276ee-f8… Plantae Trach… Magn… Rosa… Rosac… Alni… Alniar… ""
2 7e8 86185376-… 7b281190-f8… Plantae Trach… Magn… Rosa… Rosac… Alni… Alniar… ""
3 7e8 86185376-… 7ad0ec26-f8… Plantae Trach… Magn… Rosa… Rosac… Alni… Alniar… ""
4 7e8 86185376-… 7aa1075e-f8… Plantae Trach… Magn… Rosa… Rosac… Alni… Alniar… ""
5 4e9 2507f17c-… urn:catalog… Plantae Trach… Magn… Rosa… Rosac… Alni… Alniar… ""
6 4e9 2507f17c-… urn:catalog… Plantae Trach… Magn… Rosa… Rosac… Alni… Alniar… ""
7 4e9 2507f17c-… urn:catalog… Plantae Trach… Magn… Rosa… Rosac… Alni… Alniar… ""
8 4e9 2507f17c-… urn:catalog… Plantae Trach… Magn… Rosa… Rosac… Alni… Alniar… ""
9 4e9 2507f17c-… urn:catalog… Plantae Trach… Magn… Rosa… Rosac… Alni… Alniar… ""
10 4e9 2507f17c-… urn:catalog… Plantae Trach… Magn… Rosa… Rosac… Alni… Alniar… ""
# ℹ 590 more rows
# ℹ 40 more variables: taxonRank <chr>, scientificName <chr>, verbatimScientificName <chr>,
# verbatimScientificNameAuthorship <chr>, countryCode <chr>, locality <chr>, stateProvince <chr>,
# occurrenceStatus <chr>, individualCount <int>, publishingOrgKey <chr>, decimalLatitude <dbl>,
# decimalLongitude <dbl>, coordinateUncertaintyInMeters <dbl>, coordinatePrecision <lgl>,
# elevation <dbl>, elevationAccuracy <dbl>, depth <lgl>, depthAccuracy <lgl>, eventDate <dttm>,
# day <int>, month <int>, year <int>, taxonKey <int>, speciesKey <int>, basisOfRecord <chr>, …
111.2 Modélisation de la niche climatique
111.2.1 Préparer les données
Organisation des données d’entrées (occurrences et données environnementales) et des données produites de pseudo-absences :
class : SpatVector
geometry : points
dimensions : 600, 0 (geometries, attributes)
extent : 106.08, 144.5139, 24.23482, 44.816 (xmin, xmax, ymin, ymax)
coord. ref. : lon/lat WGS 84 (EPSG:4326)
-=-=-=-=-=-=-=-=-=-=-=-=-=-=-= alal Data Formating -=-=-=-=-=-=-=-=-=-=-=-=-=-=-=
! Response variable is considered as only presences... Is it really what you want?
! No data has been set aside for modeling evaluation
!!! Some data are located in the same raster cell.
Please set `filter.raster = TRUE` if you want an automatic filtering.
Checking Pseudo-absence selection arguments...
> random pseudo absences selection
> Pseudo absences are selected in explanatory variables
!!! Some data are located in the same raster cell.
Please set `filter.raster = TRUE` if you want an automatic filtering.
-=-=-=-=-=-=-=-=-=-=-=-=-=-=-=-=-=-= Done -=-=-=-=-=-=-=-=-=-=-=-=-=-=-=-=-=-=
-=-=-=-=-=-=-=-=-=-=-=-=-=-= BIOMOD.formated.data -=-=-=-=-=-=-=-=-=-=-=-=-=-=
dir.name = Output
sp.name = alal
600 presences, 0 true absences and 1799 undefined points in dataset
6 explanatory variables
temp_max_august temp_min temp_wet_quart temp_season
Min. : 3.42 Min. :-43.472 Min. :-14.98 Min. : 28.85
1st Qu.:22.26 1st Qu.:-21.870 1st Qu.: 15.40 1st Qu.: 778.69
Median :25.88 Median : -9.704 Median : 19.41 Median : 918.05
Mean :25.19 Mean :-10.346 Mean : 18.56 Mean : 961.36
3rd Qu.:29.49 3rd Qu.: -1.036 3rd Qu.: 23.16 3rd Qu.:1288.47
Max. :40.58 Max. : 23.436 Max. : 34.69 Max. :1907.70
prec_wet_quart prec_season
Min. : 8.0 Min. : 14.08
1st Qu.: 198.0 1st Qu.: 48.77
Median : 411.0 Median : 75.14
Mean : 459.8 Mean : 76.10
3rd Qu.: 661.5 3rd Qu.:101.41
Max. :3779.0 Max. :161.85
-=-=-=-=-=-=-=-=-=-=-=-=-=-=-=-=-=-=-=-=-=-=-=-=-=-=-=-=-=-=-=-=-=-=-=-=-=-=-=-=
On visualise les pseudo-absences :
Figure 111.5: Les données d’occurrences (en haut à gauche) et les trois jeux de données aléatoires de pseudo-absences.
$data.vect
class : SpatVector
geometry : points
dimensions : 4200, 2 (geometries, attributes)
extent : 68.02083, 145.5208, 3.020833, 56.97917 (xmin, xmax, ymin, ymax)
coord. ref. :
names : resp dataset
type : <num> <chr>
values : 10 Initial dataset
10 Initial dataset
10 Initial dataset
$data.label
9 10
"**Presences**" "Presences (calibration)"
11 12
"Presences (validation)" "Presences (evaluation)"
19 20
"**True Absences**" "True Absences (calibration)"
21 22
"True Absences (validation)" "True Absences (evaluation)"
29 30
"**Pseudo-Absences**" "Pseudo-Absences (calibration)"
31 1
"Pseudo-Absences (validation)" "Background"
$data.plot
Figure 111.6: Les données d’occurrences (en haut à gauche) et les trois jeux de données aléatoires de pseudo-absences.
111.2.2 Modèles individuels de niche
-=-=-=-=-=-=-=-=-=-=-=-=-=-=-= Build Single Models -=-=-=-=-=-=-=-=-=-=-=-=-=-=-=
Checking Models arguments...
Creating suitable Workdir...
! Weights where automatically defined for alal_PA1 to rise a 0.5 prevalence !
! Weights where automatically defined for alal_PA2 to rise a 0.5 prevalence !
! Weights where automatically defined for alal_PA3 to rise a 0.5 prevalence !
-=-=-=-=-=-=-=-=-=-=-=-=-=-= alal Modeling Summary -=-=-=-=-=-=-=-=-=-=-=-=-=-=
6 environmental variables ( temp_max_august temp_min temp_wet_quart temp_season prec_wet_quart prec_season )
Number of evaluation repetitions : 1
Models selected : GAM MARS MAXNET GBM ANN RF
Total number of model runs: 18
-=-=-=-=-=-=-=-=-=-=-=-=-=-=-=-=-=-=-=-=-=-=-=-=-=-=-=-=-=-=-=-=-=-=-=-=-=-=-=-=
-=-=-=- Run : alal_PA1
-=-=-=--=-=-=- alal_PA1_RUN1
-=-=-=- Run : alal_PA2
-=-=-=--=-=-=- alal_PA2_RUN1
-=-=-=- Run : alal_PA3
-=-=-=--=-=-=- alal_PA3_RUN1
-=-=-=-=-=-=-=-=-=-=-=-=-=-=-=-=-=-= Done -=-=-=-=-=-=-=-=-=-=-=-=-=-=-=-=-=-=
111.2.2.1 Évaluation de la performance
full.name PA run algo metric.eval cutoff sensitivity
1 alal_PA1_RUN1_GAM PA1 RUN1 GAM TSS 788.0 100.000
2 alal_PA1_RUN1_GAM PA1 RUN1 GAM ROC 789.5 100.000
3 alal_PA1_RUN1_MARS PA1 RUN1 MARS TSS 732.0 95.625
4 alal_PA1_RUN1_MARS PA1 RUN1 MARS ROC 734.5 95.625
5 alal_PA1_RUN1_MAXNET PA1 RUN1 MAXNET TSS 409.5 95.417
6 alal_PA1_RUN1_MAXNET PA1 RUN1 MAXNET ROC 411.0 95.417
specificity calibration validation evaluation
1 83.750 0.837 0.867 NA
2 83.750 0.916 0.932 NA
3 97.917 0.935 0.950 NA
4 97.917 0.993 0.986 NA
5 96.875 0.923 0.933 NA
6 97.083 0.992 0.987 NA
Figure 111.7: Évaluation de la performance des modèles individuels : True Skill Statistic & aire sous la courbe de ROC.
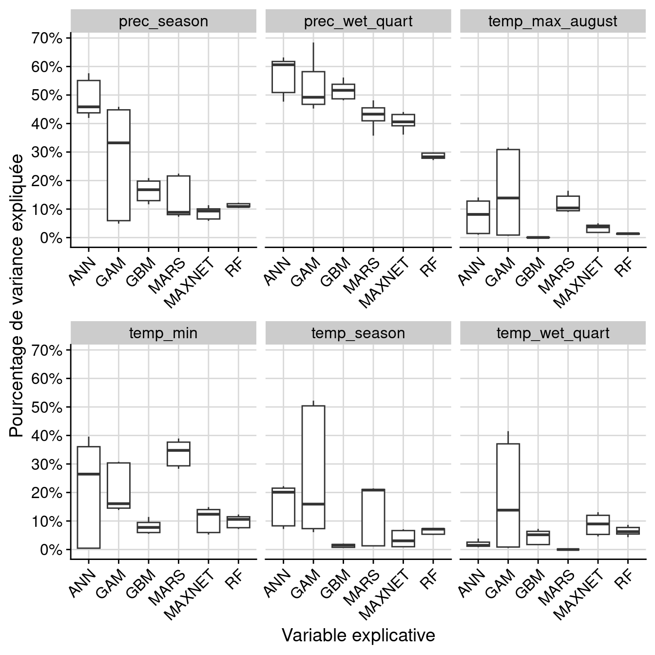
111.2.2.2 Importance des variables environnementales
full.name PA run algo expl.var rand var.imp
1 alal_PA1_RUN1_GAM PA1 RUN1 GAM temp_max_august 1 0.123894
2 alal_PA1_RUN1_GAM PA1 RUN1 GAM temp_min 1 0.160763
3 alal_PA1_RUN1_GAM PA1 RUN1 GAM temp_wet_quart 1 0.138135
4 alal_PA1_RUN1_GAM PA1 RUN1 GAM temp_season 1 0.159229
5 alal_PA1_RUN1_GAM PA1 RUN1 GAM prec_wet_quart 1 0.581946
6 alal_PA1_RUN1_GAM PA1 RUN1 GAM prec_season 1 0.453646
Figure 111.8: Pourcentage de variance expliquée pour chaque variable, décomposé par algorithme.
Figure 111.9: Pourcentage de variance expliquée pour chaque variable, décomposé par variable.
111.2.3 Modèles d’ensemble de niche
Seulement modèles avec TSS > 0.8
-=-=-=-=-=-=-=-=-=-=-=-=-= BIOMOD.ensemble.models.out -=-=-=-=-=-=-=-=-=-=-=-=-=
sp.name : alal
expl.var.names : temp_max_august temp_min temp_wet_quart temp_season
prec_wet_quart prec_season
models computed:
alal_EMcvByTSS_mergedData_mergedRun_mergedAlgo, alal_EMwmeanByTSS_mergedData_mergedRun_mergedAlgo
models failed: none
-=-=-=-=-=-=-=-=-=-=-=-=-=-=-=-=-=-=-=-=-=-=-=-=-=-=-=-=-=-=-=-=-=-=-=-=-=-=-=-=
111.2.3.1 Évaluation de la qualité
full.name merged.by.PA merged.by.run
1 alal_EMwmeanByTSS_mergedData_mergedRun_mergedAlgo mergedData mergedRun
2 alal_EMwmeanByTSS_mergedData_mergedRun_mergedAlgo mergedData mergedRun
merged.by.algo filtered.by algo metric.eval cutoff sensitivity specificity
1 mergedAlgo TSS EMwmean TSS 547.0 98.667 97.165
2 mergedAlgo TSS EMwmean ROC 549.5 98.667 97.221
calibration validation evaluation
1 0.958 NA NA
2 0.997 NA NA
Figure 111.11: Évaluation de la qualité du modèle d’ensemble : Aire sous la courbe de ROC & True Skill Statistic.
full.name merged.by.PA merged.by.run
1 alal_EMcvByTSS_mergedData_mergedRun_mergedAlgo mergedData mergedRun
2 alal_EMcvByTSS_mergedData_mergedRun_mergedAlgo mergedData mergedRun
3 alal_EMcvByTSS_mergedData_mergedRun_mergedAlgo mergedData mergedRun
4 alal_EMcvByTSS_mergedData_mergedRun_mergedAlgo mergedData mergedRun
5 alal_EMcvByTSS_mergedData_mergedRun_mergedAlgo mergedData mergedRun
6 alal_EMcvByTSS_mergedData_mergedRun_mergedAlgo mergedData mergedRun
merged.by.algo filtered.by algo expl.var rand var.imp
1 mergedAlgo TSS EMcv temp_max_august 1 0.203189
2 mergedAlgo TSS EMcv temp_min 1 0.432483
3 mergedAlgo TSS EMcv temp_wet_quart 1 0.149222
4 mergedAlgo TSS EMcv temp_season 1 0.305733
5 mergedAlgo TSS EMcv prec_wet_quart 1 0.450261
6 mergedAlgo TSS EMcv prec_season 1 0.246624
Par variable :
Figure 111.12: Pourcentage de variance expliquée par variable dans le modèle d’ensemble.
Figure 111.13: Courbes de réponse de chaque variable climatique dans le modèle d’ensemble.
111.3 Projections
111.3.1 Distribution potentielle contemporaine
Contemporaine : Cartographie des observations sur couches climatiques Extraction des conditions climatiques favorables
-=-=-=-=-=-=-=-=-=-=-=-=-=-= BIOMOD.projection.out -=-=-=-=-=-=-=-=-=-=-=-=-=-=
Projection directory : Output/alal/current
sp.name : alal
expl.var.names : temp_max_august temp_min temp_wet_quart temp_season
prec_wet_quart prec_season
modeling.id : AllModels ( Output/alal/alal.AllModels.models.out )
models.projected :
alal_PA1_RUN1_GAM, alal_PA1_RUN1_MARS, alal_PA1_RUN1_MAXNET, alal_PA1_RUN1_GBM, alal_PA1_RUN1_ANN, alal_PA1_RUN1_RF, alal_PA2_RUN1_GAM, alal_PA2_RUN1_MARS, alal_PA2_RUN1_MAXNET, alal_PA2_RUN1_GBM, alal_PA2_RUN1_ANN, alal_PA2_RUN1_RF, alal_PA3_RUN1_GAM, alal_PA3_RUN1_MARS, alal_PA3_RUN1_MAXNET, alal_PA3_RUN1_GBM, alal_PA3_RUN1_ANN, alal_PA3_RUN1_RF
available binary projection : TSS, ROC
available filtered projection : TSS, ROC
-=-=-=-=-=-=-=-=-=-=-=-=-=-=-=-=-=-=-=-=-=-=-=-=-=-=-=-=-=-=-=-=-=-=-=-=-=-=-=-=
Figure 111.14: Projection de la distribution potentielle contemporaine sur l’Europe, selon les 6 algorithmes et les 3 runs.
Figure 111.15: Projection de la distribution potentielle contemporaine sur l’Europe, selon les 6 algorithmes et les 3 runs.
-=-=-=-=-=-=-=-=-=-=-=-=-=-= BIOMOD.projection.out -=-=-=-=-=-=-=-=-=-=-=-=-=-=
Projection directory : Output/alal/current
sp.name : alal
expl.var.names : temp_max_august temp_min temp_wet_quart temp_season
prec_wet_quart prec_season
modeling.id : AllModels ( Output/alal/alal.AllModels.ensemble.models.out )
models.projected :
alal_EMcvByTSS_mergedData_mergedRun_mergedAlgo, alal_EMwmeanByTSS_mergedData_mergedRun_mergedAlgo
-=-=-=-=-=-=-=-=-=-=-=-=-=-=-=-=-=-=-=-=-=-=-=-=-=-=-=-=-=-=-=-=-=-=-=-=-=-=-=-=
Figure 111.16: A) Projection de la distribution potentielle contemporaine (modèle d’ensemble) ; B) Incertitude associée à la projection.
111.3.2 Interpolation à l’échelle de la métropole
- → conditions climatiques favorables à fine échelle
On projette la niche climatique sur ce raster à fine échelle.
-=-=-=-=-=-=-=-=-=-=-=-=-=-= BIOMOD.projection.out -=-=-=-=-=-=-=-=-=-=-=-=-=-=
Projection directory : Output/alal/cont_gre
sp.name : alal
expl.var.names : temp_max_august temp_min temp_wet_quart temp_season
prec_wet_quart prec_season
modeling.id : AllModels ( Output/alal/alal.AllModels.models.out )
models.projected :
alal_PA1_RUN1_GAM, alal_PA1_RUN1_MARS, alal_PA1_RUN1_MAXNET, alal_PA1_RUN1_GBM, alal_PA1_RUN1_ANN, alal_PA1_RUN1_RF, alal_PA2_RUN1_GAM, alal_PA2_RUN1_MARS, alal_PA2_RUN1_MAXNET, alal_PA2_RUN1_GBM, alal_PA2_RUN1_ANN, alal_PA2_RUN1_RF, alal_PA3_RUN1_GAM, alal_PA3_RUN1_MARS, alal_PA3_RUN1_MAXNET, alal_PA3_RUN1_GBM, alal_PA3_RUN1_ANN, alal_PA3_RUN1_RF
available binary projection : TSS, ROC
available filtered projection : TSS, ROC
-=-=-=-=-=-=-=-=-=-=-=-=-=-=-=-=-=-=-=-=-=-=-=-=-=-=-=-=-=-=-=-=-=-=-=-=-=-=-=-=
Figure 111.17: Projection de la distribution potentielle contemporaine sur la métropole de Grenoble, selon les 6 algorithmes et les 3 runs.
Figure 111.18: Projection de la distribution potentielle contemporaine sur la métropole de Grenoble, selon les 6 algorithmes et les 3 runs.
-=-=-=-=-=-=-=-=-=-=-=-=-=-= BIOMOD.projection.out -=-=-=-=-=-=-=-=-=-=-=-=-=-=
Projection directory : Output/alal/cont_gre
sp.name : alal
expl.var.names : temp_max_august temp_min temp_wet_quart temp_season
prec_wet_quart prec_season
modeling.id : AllModels ( Output/alal/alal.AllModels.ensemble.models.out )
models.projected :
alal_EMcvByTSS_mergedData_mergedRun_mergedAlgo, alal_EMwmeanByTSS_mergedData_mergedRun_mergedAlgo
-=-=-=-=-=-=-=-=-=-=-=-=-=-=-=-=-=-=-=-=-=-=-=-=-=-=-=-=-=-=-=-=-=-=-=-=-=-=-=-=
Figure 111.19: A) Projection de la distribution potentielle contemporaine (modèle d’ensemble) sur la métropole de Grenoble ; B) Incertitude associée à la projection.
111.3.3 Distributions potentielles futures
Futur : Projection à l’échelle de l’Europe jusqu’à l’horizon 2100
Toutes les fenêtres temporelles × scénarios pour le GCM « IPSL-CM6A-LR »
- SSP1-2.6




Figure 111.20: Projection des distributions potentielles futures jusqu’à l’horizon 2100 sous le scénario SSP1-2.6 (modèle d’ensemble).
On obtient pour la métrique TSS une carte unique de moyenne pondérée sur les algorithmes et sur les jeux de pseudo-absences.
- SSP2-4.5




Figure 111.21: Projection des distributions potentielles futures jusqu’à l’horizon 2100 sous le scénario SSP2-4.5 (modèle d’ensemble).
- SSP3-7.0




Figure 111.22: Projection des distributions potentielles futures jusqu’à l’horizon 2100 sous le scénario SSP3-7.0 (modèle d’ensemble).
- SSP5-8.5




Figure 111.23: Projection des distributions potentielles futures jusqu’à l’horizon 2100 sous le scénario SSP5-8.5 (modèle d’ensemble).
111.4 Inférence à l’échelle de la métropole
- Croisement avec températures de surface 2019 (fournie par la métropole)
- → conditions climatiques favorables à fine échelle
- à peu près 7 pixels × 9 (WorldClim)
111.4.1 Distributions potentielles futures
Même chose que précédemment mais sur les rasters de Grenoble
- SSP1-2.6




Figure 111.24: Projection des distributions potentielles contemporaine et futures jusqu’à l’horizon 2100 sous le scénario SSP5-8.5 (modèle d’ensemble, GCM IPSL).
- SSP2-4.5




Figure 111.25: Projection des distributions potentielles contemporaine et futures jusqu’à l’horizon 2100 sous le scénario SSP5-8.5 (modèle d’ensemble, GCM IPSL).
- SSP3-7.0




Figure 111.26: Projection des distributions potentielles contemporaine et futures jusqu’à l’horizon 2100 sous le scénario SSP5-8.5 (modèle d’ensemble, GCM IPSL).
- SSP5-8.5




Figure 111.27: Projection des distributions potentielles contemporaine et futures jusqu’à l’horizon 2100 sous le scénario SSP5-8.5 (modèle d’ensemble, GCM IPSL).
111.4.2 Évolution temporelle
# A tibble: 17 × 8
min q1 median mean q3 max ssp year
<table[1d]> <table[1d]> <table[1d]> <table[1d]> <table[1d]> <tab> <fct> <dbl>
1 272 319 355 366.8485 390 684 0 2000
2 263 315 349 358.5592 381 626 126 2040
3 237 305 336 340.9701 358 601 126 2060
4 239 320 348 358.6069 374 655 126 2080
5 236 317 347 353.5981 367 655 126 2100
6 243 321 352 361.4666 384 620 245 2040
7 241 326 351 358.2159 372 626 245 2060
8 234 314 342 340.4535 362 545 245 2080
9 233 289 329 321.6381 347 558 245 2100
10 280 321 353 363.1361 386 641 370 2040
11 234 313 341 342.2191 359 603 370 2060
12 228 276 306 305.5854 336 463 370 2080
13 162 223 273 267.0315 291 442 370 2100
14 243 317 349 360.5636 378 656 585 2040
15 235 304 343 339.7312 364 598 585 2060
16 170 279 290 306.7668 341 480 585 2080
17 155 166 205 219.6208 280 404 585 2100
Figure 111.28: Évolution de la favorabilité climatique au cours du XXIème siècle. Le point représente la médiane sur l’étendue de la métropole (i.e. tous les pixels de la carte) ; le trait gras représente 50 % des données intermédiaires (espace inter-quartile) ; le trait fin représente le reste des données du minimum au maximum.