165 Pterocarya pterocarpa
165.1 Données d’occurrences GBIF
Collecte des données du GBIF :
<<gbif download metadata>>
Status: SUCCEEDED
DOI: 10.15468/dl.afrtnu
Format: SIMPLE_CSV
Download key: 0252702-230224095556074
Created: 2023-05-20T18:13:40.916+00:00
Modified: 2023-05-20T18:14:34.751+00:00
Download link: https://api.gbif.org/v1/occurrence/download/request/0252702-230224095556074.zip
Total records: 2902
Conversion en objets géographiques (format Simple feature de sf) et
exploration rapide des données (classe du jeu de données et premières lignes du
tableau) :
Simple feature collection with 2902 features and 50 fields
Attribute-geometry relationship: 50 constant, 0 aggregate, 0 identity
Geometry type: POINT
Dimension: XY
Bounding box: xmin: -85.664542 ymin: -38.773 xmax: 177.553 ymax: 63.434
Geodetic CRS: WGS 84
# A tibble: 2,902 × 51
gbifID datasetKey occurrenceID kingdom phylum class order family genus species infraspecificEpithet
* <int64> <chr> <chr> <chr> <chr> <chr> <chr> <chr> <chr> <chr> <lgl>
1 9e8 38b4c89f-… urn:lsid:ar… Plantae Trach… Magn… Faga… Jugla… Pter… Pteroc… NA
2 9e8 85714c48-… https://her… Plantae Trach… Magn… Faga… Jugla… Pter… Pteroc… NA
3 9e8 85714c48-… https://her… Plantae Trach… Magn… Faga… Jugla… Pter… Pteroc… NA
4 9e8 85714c48-… https://her… Plantae Trach… Magn… Faga… Jugla… Pter… Pteroc… NA
5 9e8 85714c48-… https://her… Plantae Trach… Magn… Faga… Jugla… Pter… Pteroc… NA
6 9e8 85714c48-… https://her… Plantae Trach… Magn… Faga… Jugla… Pter… Pteroc… NA
7 9e8 85714c48-… https://her… Plantae Trach… Magn… Faga… Jugla… Pter… Pteroc… NA
8 9e8 85714c48-… https://her… Plantae Trach… Magn… Faga… Jugla… Pter… Pteroc… NA
9 9e8 85714c48-… https://her… Plantae Trach… Magn… Faga… Jugla… Pter… Pteroc… NA
10 9e8 85714c48-… https://her… Plantae Trach… Magn… Faga… Jugla… Pter… Pteroc… NA
# ℹ 2,892 more rows
# ℹ 40 more variables: taxonRank <chr>, scientificName <chr>, verbatimScientificName <chr>,
# verbatimScientificNameAuthorship <chr>, countryCode <chr>, locality <chr>, stateProvince <chr>,
# occurrenceStatus <chr>, individualCount <int>, publishingOrgKey <chr>, decimalLatitude <dbl>,
# decimalLongitude <dbl>, coordinateUncertaintyInMeters <dbl>, coordinatePrecision <dbl>,
# elevation <dbl>, elevationAccuracy <dbl>, depth <lgl>, depthAccuracy <lgl>, eventDate <dttm>,
# day <int>, month <int>, year <int>, taxonKey <int>, speciesKey <int>, basisOfRecord <chr>, …
Il y a 2 902 occurrences dans le jeu de données. On les affiche sur la carte du monde :
Figure 165.1: Occurrences de Pterocarya pterocarpa dans le monde.
165.1.1 Données par région
On évalue la proportion d’occurrences dans chaque région, en utilisant les 3 masques créés précédemment. Si on a au moins 50 % des occurrences dans une région, on peut continuer en travaillant uniquement sur ces données. Sinon, on vérifie qu’au moins 67 % des données tombent dans l’ensemble des régions, et on prend la région la plus représentée. Au final, s’il s’agit d’une espèce endémique d’Europe, on n’a pas besoin de manipulation supplémentaire.
[1] 0.9235010338
[1] 0.001033769814
[1] 0
Figure 165.2: Occurrence de Pterocarya pterocarpa dans la région d’endémisme.
165.1.2 Licences
On s’intéresse ici au problème particulier des licences :
CC_BY_4_0
1846
CC_BY_NC_4_0
580
CC0_1_0
170
https://creativecommons.org/licenses/by-nc/4.0/legalcode
56
https://creativecommons.org/licenses/by/4.0/legalcode
26
https://creativecommons.org/publicdomain/zero/1.0/legalcode
2
[1] 76.26865672
Figure 165.3: Occurrence de Pterocarya pterocarpa dans la région d’endémisme, selon la licence : CC BY-NC en bleu ; CC0 et CC BY en orange.
Idéalement, on aimerait avoir au moins 50 % de données vraiment libres
d’utilisation (c’est-à-dire sans la clause -NC). On continue en supprimant les
données en CC BY-NC.
[1] 2044
165.1.3 Sous-échantillonnage
Si le jeu de données contient 25 000 occurrences ou plus, on procède au sous-échantillonnage aléatoire pour en conserver un maximum de 25 000.
Simple feature collection with 2044 features and 50 fields
Attribute-geometry relationship: 50 constant, 0 aggregate, 0 identity
Geometry type: POINT
Dimension: XY
Bounding box: xmin: -9.061479 ymin: 37.87 xmax: 46.79417 ymax: 63.434
Geodetic CRS: WGS 84
# A tibble: 2,044 × 51
gbifID datasetKey occurrenceID kingdom phylum class order family genus species infraspecificEpithet
<int64> <chr> <chr> <chr> <chr> <chr> <chr> <chr> <chr> <chr> <lgl>
1 9e8 38b4c89f-… urn:lsid:ar… Plantae Trach… Magn… Faga… Jugla… Pter… Pteroc… NA
2 9e8 85714c48-… https://her… Plantae Trach… Magn… Faga… Jugla… Pter… Pteroc… NA
3 9e8 85714c48-… https://her… Plantae Trach… Magn… Faga… Jugla… Pter… Pteroc… NA
4 9e8 85714c48-… https://her… Plantae Trach… Magn… Faga… Jugla… Pter… Pteroc… NA
5 9e8 85714c48-… https://her… Plantae Trach… Magn… Faga… Jugla… Pter… Pteroc… NA
6 9e8 85714c48-… https://her… Plantae Trach… Magn… Faga… Jugla… Pter… Pteroc… NA
7 8e8 38b4c89f-… urn:lsid:ar… Plantae Trach… Magn… Faga… Jugla… Pter… Pteroc… NA
8 8e8 38b4c89f-… urn:lsid:ar… Plantae Trach… Magn… Faga… Jugla… Pter… Pteroc… NA
9 8e8 38b4c89f-… urn:lsid:ar… Plantae Trach… Magn… Faga… Jugla… Pter… Pteroc… NA
10 8e8 271c444f-… INBO:FLORA:… Plantae Trach… Magn… Faga… Jugla… Pter… Pteroc… NA
# ℹ 2,034 more rows
# ℹ 40 more variables: taxonRank <chr>, scientificName <chr>, verbatimScientificName <chr>,
# verbatimScientificNameAuthorship <chr>, countryCode <chr>, locality <chr>, stateProvince <chr>,
# occurrenceStatus <chr>, individualCount <int>, publishingOrgKey <chr>, decimalLatitude <dbl>,
# decimalLongitude <dbl>, coordinateUncertaintyInMeters <dbl>, coordinatePrecision <dbl>,
# elevation <dbl>, elevationAccuracy <dbl>, depth <lgl>, depthAccuracy <lgl>, eventDate <dttm>,
# day <int>, month <int>, year <int>, taxonKey <int>, speciesKey <int>, basisOfRecord <chr>, …
165.2 Modélisation de la niche climatique
165.2.1 Préparer les données
Organisation des données d’entrées (occurrences et données environnementales) et des données produites de pseudo-absences :
class : SpatVector
geometry : points
dimensions : 2044, 0 (geometries, attributes)
extent : -9.061479, 46.79417, 37.87, 63.434 (xmin, xmax, ymin, ymax)
coord. ref. : lon/lat WGS 84 (EPSG:4326)
-=-=-=-=-=-=-=-=-=-=-=-=-=-=-= ptpt Data Formating -=-=-=-=-=-=-=-=-=-=-=-=-=-=-=
! Response variable is considered as only presences... Is it really what you want?
! No data has been set aside for modeling evaluation
!!! Some data are located in the same raster cell.
Please set `filter.raster = TRUE` if you want an automatic filtering.
Checking Pseudo-absence selection arguments...
> random pseudo absences selection
> Pseudo absences are selected in explanatory variables
!!! Some data are located in the same raster cell.
Please set `filter.raster = TRUE` if you want an automatic filtering.
-=-=-=-=-=-=-=-=-=-=-=-=-=-=-=-=-=-= Done -=-=-=-=-=-=-=-=-=-=-=-=-=-=-=-=-=-=
-=-=-=-=-=-=-=-=-=-=-=-=-=-= BIOMOD.formated.data -=-=-=-=-=-=-=-=-=-=-=-=-=-=
dir.name = Output
sp.name = ptpt
2044 presences, 0 true absences and 6122 undefined points in dataset
6 explanatory variables
temp_max_august temp_min temp_wet_quart temp_season
Min. : 4.816 Min. :-21.624 Min. :-9.274 Min. : 254.2
1st Qu.:20.757 1st Qu.: -8.540 1st Qu.: 9.167 1st Qu.: 616.3
Median :24.016 Median : -2.170 Median :13.558 Median : 735.7
Mean :25.133 Mean : -3.872 Mean :12.717 Mean : 755.7
3rd Qu.:28.284 3rd Qu.: 1.200 3rd Qu.:16.679 3rd Qu.: 898.3
Max. :44.712 Max. : 10.800 Max. :23.975 Max. :1335.3
prec_wet_quart prec_season
Min. : 6.0 Min. : 8.091
1st Qu.: 175.0 1st Qu.: 21.198
Median : 217.0 Median : 30.814
Mean : 221.2 Mean : 34.737
3rd Qu.: 258.0 3rd Qu.: 39.598
Max. :1119.0 Max. :122.330
-=-=-=-=-=-=-=-=-=-=-=-=-=-=-=-=-=-=-=-=-=-=-=-=-=-=-=-=-=-=-=-=-=-=-=-=-=-=-=-=
On visualise les pseudo-absences :
Figure 165.5: Les données d’occurrences (en haut à gauche) et les trois jeux de données aléatoires de pseudo-absences.
$data.vect
class : SpatVector
geometry : points
dimensions : 14308, 2 (geometries, attributes)
extent : -10.1875, 46.97917, 29.02083, 70.9375 (xmin, xmax, ymin, ymax)
coord. ref. :
names : resp dataset
type : <num> <chr>
values : 10 Initial dataset
10 Initial dataset
10 Initial dataset
$data.label
9 10
"**Presences**" "Presences (calibration)"
11 12
"Presences (validation)" "Presences (evaluation)"
19 20
"**True Absences**" "True Absences (calibration)"
21 22
"True Absences (validation)" "True Absences (evaluation)"
29 30
"**Pseudo-Absences**" "Pseudo-Absences (calibration)"
31 1
"Pseudo-Absences (validation)" "Background"
$data.plot
Figure 165.6: Les données d’occurrences (en haut à gauche) et les trois jeux de données aléatoires de pseudo-absences.
165.2.2 Modèles individuels de niche
-=-=-=-=-=-=-=-=-=-=-=-=-=-=-= Build Single Models -=-=-=-=-=-=-=-=-=-=-=-=-=-=-=
Checking Models arguments...
Creating suitable Workdir...
! Weights where automatically defined for ptpt_PA1 to rise a 0.5 prevalence !
! Weights where automatically defined for ptpt_PA2 to rise a 0.5 prevalence !
! Weights where automatically defined for ptpt_PA3 to rise a 0.5 prevalence !
-=-=-=-=-=-=-=-=-=-=-=-=-=-= ptpt Modeling Summary -=-=-=-=-=-=-=-=-=-=-=-=-=-=
6 environmental variables ( temp_max_august temp_min temp_wet_quart temp_season prec_wet_quart prec_season )
Number of evaluation repetitions : 1
Models selected : GAM MARS MAXNET GBM ANN RF
Total number of model runs: 18
-=-=-=-=-=-=-=-=-=-=-=-=-=-=-=-=-=-=-=-=-=-=-=-=-=-=-=-=-=-=-=-=-=-=-=-=-=-=-=-=
-=-=-=- Run : ptpt_PA1
-=-=-=--=-=-=- ptpt_PA1_RUN1
-=-=-=- Run : ptpt_PA2
-=-=-=--=-=-=- ptpt_PA2_RUN1
-=-=-=- Run : ptpt_PA3
-=-=-=--=-=-=- ptpt_PA3_RUN1
-=-=-=-=-=-=-=-=-=-=-=-=-=-=-=-=-=-= Done -=-=-=-=-=-=-=-=-=-=-=-=-=-=-=-=-=-=
165.2.2.1 Évaluation de la performance
full.name PA run algo metric.eval cutoff sensitivity
1 ptpt_PA1_RUN1_GAM PA1 RUN1 GAM TSS 657.0 95.352
2 ptpt_PA1_RUN1_GAM PA1 RUN1 GAM ROC 657.0 95.352
3 ptpt_PA1_RUN1_MARS PA1 RUN1 MARS TSS 594.0 92.416
4 ptpt_PA1_RUN1_MARS PA1 RUN1 MARS ROC 600.5 92.416
5 ptpt_PA1_RUN1_MAXNET PA1 RUN1 MAXNET TSS 424.5 91.804
6 ptpt_PA1_RUN1_MAXNET PA1 RUN1 MAXNET ROC 438.5 91.254
specificity calibration validation evaluation
1 75.046 0.704 0.682 NA
2 75.046 0.818 0.799 NA
3 88.624 0.810 0.792 NA
4 88.746 0.953 0.945 NA
5 89.358 0.813 0.817 NA
6 90.153 0.956 0.949 NA
Figure 165.7: Évaluation de la performance des modèles individuels : True Skill Statistic & aire sous la courbe de ROC.
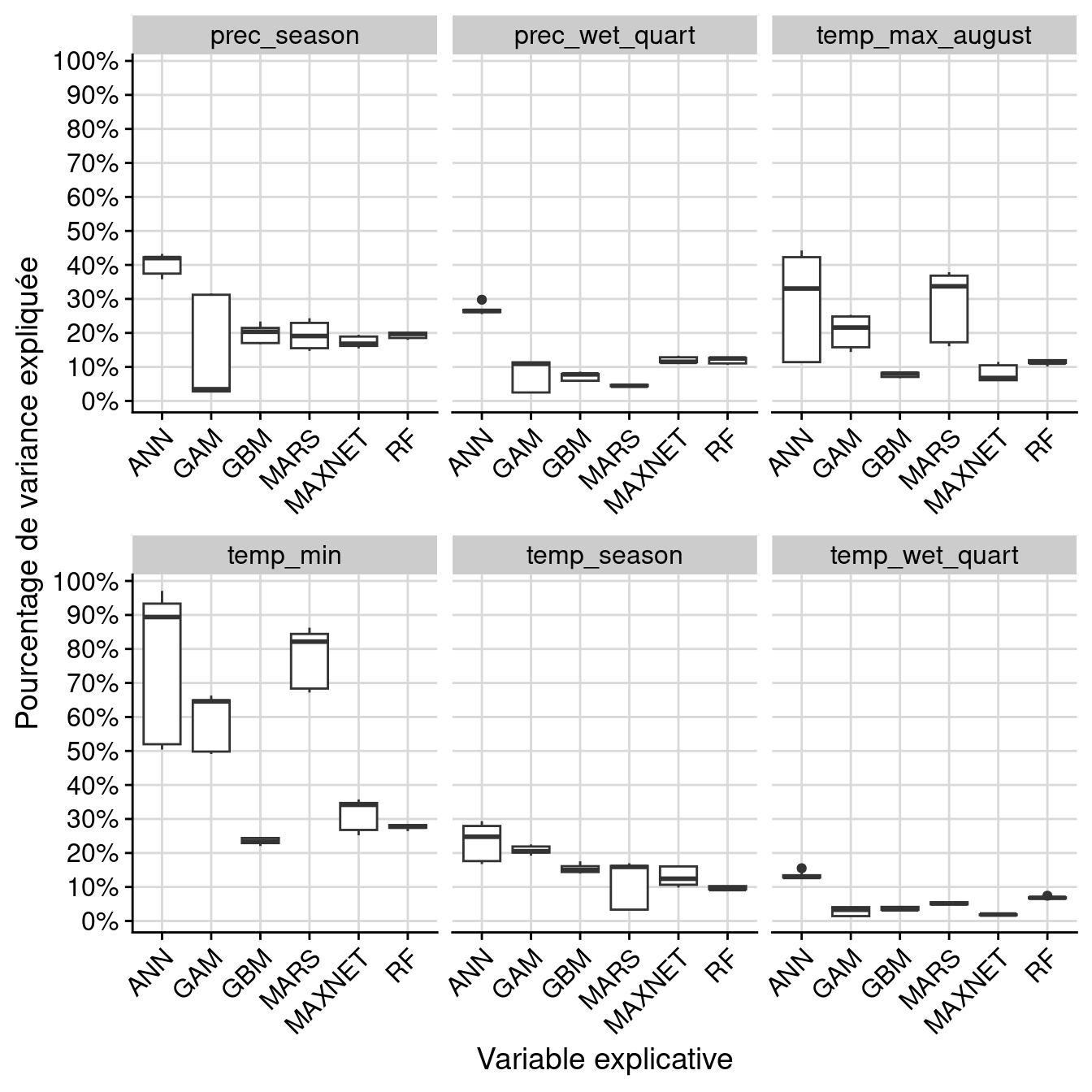
165.2.2.2 Importance des variables environnementales
full.name PA run algo expl.var rand var.imp
1 ptpt_PA1_RUN1_GAM PA1 RUN1 GAM temp_max_august 1 0.146470
2 ptpt_PA1_RUN1_GAM PA1 RUN1 GAM temp_min 1 0.646630
3 ptpt_PA1_RUN1_GAM PA1 RUN1 GAM temp_wet_quart 1 0.030041
4 ptpt_PA1_RUN1_GAM PA1 RUN1 GAM temp_season 1 0.219009
5 ptpt_PA1_RUN1_GAM PA1 RUN1 GAM prec_wet_quart 1 0.024440
6 ptpt_PA1_RUN1_GAM PA1 RUN1 GAM prec_season 1 0.315856
Figure 165.8: Pourcentage de variance expliquée pour chaque variable, décomposé par algorithme.
Figure 165.9: Pourcentage de variance expliquée pour chaque variable, décomposé par variable.
165.2.3 Modèles d’ensemble de niche
Seulement modèles avec TSS > 0.8
-=-=-=-=-=-=-=-=-=-=-=-=-= BIOMOD.ensemble.models.out -=-=-=-=-=-=-=-=-=-=-=-=-=
sp.name : ptpt
expl.var.names : temp_max_august temp_min temp_wet_quart temp_season
prec_wet_quart prec_season
models computed:
ptpt_EMcvByTSS_mergedData_mergedRun_mergedAlgo, ptpt_EMwmeanByTSS_mergedData_mergedRun_mergedAlgo
models failed: none
-=-=-=-=-=-=-=-=-=-=-=-=-=-=-=-=-=-=-=-=-=-=-=-=-=-=-=-=-=-=-=-=-=-=-=-=-=-=-=-=
165.2.3.1 Évaluation de la qualité
full.name merged.by.PA merged.by.run
1 ptpt_EMwmeanByTSS_mergedData_mergedRun_mergedAlgo mergedData mergedRun
2 ptpt_EMwmeanByTSS_mergedData_mergedRun_mergedAlgo mergedData mergedRun
merged.by.algo filtered.by algo metric.eval cutoff sensitivity specificity
1 mergedAlgo TSS EMwmean TSS 434.0 97.945 88.631
2 mergedAlgo TSS EMwmean ROC 441.5 97.896 88.795
calibration validation evaluation
1 0.866 NA NA
2 0.985 NA NA
Figure 165.11: Évaluation de la qualité du modèle d’ensemble : Aire sous la courbe de ROC & True Skill Statistic.
full.name merged.by.PA merged.by.run
1 ptpt_EMcvByTSS_mergedData_mergedRun_mergedAlgo mergedData mergedRun
2 ptpt_EMcvByTSS_mergedData_mergedRun_mergedAlgo mergedData mergedRun
3 ptpt_EMcvByTSS_mergedData_mergedRun_mergedAlgo mergedData mergedRun
4 ptpt_EMcvByTSS_mergedData_mergedRun_mergedAlgo mergedData mergedRun
5 ptpt_EMcvByTSS_mergedData_mergedRun_mergedAlgo mergedData mergedRun
6 ptpt_EMcvByTSS_mergedData_mergedRun_mergedAlgo mergedData mergedRun
merged.by.algo filtered.by algo expl.var rand var.imp
1 mergedAlgo TSS EMcv temp_max_august 1 0.245926
2 mergedAlgo TSS EMcv temp_min 1 0.291897
3 mergedAlgo TSS EMcv temp_wet_quart 1 0.051611
4 mergedAlgo TSS EMcv temp_season 1 0.337124
5 mergedAlgo TSS EMcv prec_wet_quart 1 0.265354
6 mergedAlgo TSS EMcv prec_season 1 0.283398
Par variable :
Figure 165.12: Pourcentage de variance expliquée par variable dans le modèle d’ensemble.
Figure 165.13: Courbes de réponse de chaque variable climatique dans le modèle d’ensemble.
165.3 Projections
165.3.1 Distribution potentielle contemporaine
Contemporaine : Cartographie des observations sur couches climatiques Extraction des conditions climatiques favorables
-=-=-=-=-=-=-=-=-=-=-=-=-=-= BIOMOD.projection.out -=-=-=-=-=-=-=-=-=-=-=-=-=-=
Projection directory : Output/ptpt/current
sp.name : ptpt
expl.var.names : temp_max_august temp_min temp_wet_quart temp_season
prec_wet_quart prec_season
modeling.id : AllModels ( Output/ptpt/ptpt.AllModels.models.out )
models.projected :
ptpt_PA1_RUN1_GAM, ptpt_PA1_RUN1_MARS, ptpt_PA1_RUN1_MAXNET, ptpt_PA1_RUN1_GBM, ptpt_PA1_RUN1_ANN, ptpt_PA1_RUN1_RF, ptpt_PA2_RUN1_GAM, ptpt_PA2_RUN1_MARS, ptpt_PA2_RUN1_MAXNET, ptpt_PA2_RUN1_GBM, ptpt_PA2_RUN1_ANN, ptpt_PA2_RUN1_RF, ptpt_PA3_RUN1_GAM, ptpt_PA3_RUN1_MARS, ptpt_PA3_RUN1_MAXNET, ptpt_PA3_RUN1_GBM, ptpt_PA3_RUN1_ANN, ptpt_PA3_RUN1_RF
available binary projection : TSS, ROC
available filtered projection : TSS, ROC
-=-=-=-=-=-=-=-=-=-=-=-=-=-=-=-=-=-=-=-=-=-=-=-=-=-=-=-=-=-=-=-=-=-=-=-=-=-=-=-=
Figure 165.14: Projection de la distribution potentielle contemporaine sur l’Europe, selon les 6 algorithmes et les 3 runs.
Figure 165.15: Projection de la distribution potentielle contemporaine sur l’Europe, selon les 6 algorithmes et les 3 runs.
-=-=-=-=-=-=-=-=-=-=-=-=-=-= BIOMOD.projection.out -=-=-=-=-=-=-=-=-=-=-=-=-=-=
Projection directory : Output/ptpt/current
sp.name : ptpt
expl.var.names : temp_max_august temp_min temp_wet_quart temp_season
prec_wet_quart prec_season
modeling.id : AllModels ( Output/ptpt/ptpt.AllModels.ensemble.models.out )
models.projected :
ptpt_EMcvByTSS_mergedData_mergedRun_mergedAlgo, ptpt_EMwmeanByTSS_mergedData_mergedRun_mergedAlgo
-=-=-=-=-=-=-=-=-=-=-=-=-=-=-=-=-=-=-=-=-=-=-=-=-=-=-=-=-=-=-=-=-=-=-=-=-=-=-=-=
Figure 165.16: A) Projection de la distribution potentielle contemporaine (modèle d’ensemble) ; B) Incertitude associée à la projection.
165.3.2 Interpolation à l’échelle de la métropole
- → conditions climatiques favorables à fine échelle
On projette la niche climatique sur ce raster à fine échelle.
-=-=-=-=-=-=-=-=-=-=-=-=-=-= BIOMOD.projection.out -=-=-=-=-=-=-=-=-=-=-=-=-=-=
Projection directory : Output/ptpt/cont_gre
sp.name : ptpt
expl.var.names : temp_max_august temp_min temp_wet_quart temp_season
prec_wet_quart prec_season
modeling.id : AllModels ( Output/ptpt/ptpt.AllModels.models.out )
models.projected :
ptpt_PA1_RUN1_GAM, ptpt_PA1_RUN1_MARS, ptpt_PA1_RUN1_MAXNET, ptpt_PA1_RUN1_GBM, ptpt_PA1_RUN1_ANN, ptpt_PA1_RUN1_RF, ptpt_PA2_RUN1_GAM, ptpt_PA2_RUN1_MARS, ptpt_PA2_RUN1_MAXNET, ptpt_PA2_RUN1_GBM, ptpt_PA2_RUN1_ANN, ptpt_PA2_RUN1_RF, ptpt_PA3_RUN1_GAM, ptpt_PA3_RUN1_MARS, ptpt_PA3_RUN1_MAXNET, ptpt_PA3_RUN1_GBM, ptpt_PA3_RUN1_ANN, ptpt_PA3_RUN1_RF
available binary projection : TSS, ROC
available filtered projection : TSS, ROC
-=-=-=-=-=-=-=-=-=-=-=-=-=-=-=-=-=-=-=-=-=-=-=-=-=-=-=-=-=-=-=-=-=-=-=-=-=-=-=-=
Figure 165.17: Projection de la distribution potentielle contemporaine sur la métropole de Grenoble, selon les 6 algorithmes et les 3 runs.
Figure 165.18: Projection de la distribution potentielle contemporaine sur la métropole de Grenoble, selon les 6 algorithmes et les 3 runs.
-=-=-=-=-=-=-=-=-=-=-=-=-=-= BIOMOD.projection.out -=-=-=-=-=-=-=-=-=-=-=-=-=-=
Projection directory : Output/ptpt/cont_gre
sp.name : ptpt
expl.var.names : temp_max_august temp_min temp_wet_quart temp_season
prec_wet_quart prec_season
modeling.id : AllModels ( Output/ptpt/ptpt.AllModels.ensemble.models.out )
models.projected :
ptpt_EMcvByTSS_mergedData_mergedRun_mergedAlgo, ptpt_EMwmeanByTSS_mergedData_mergedRun_mergedAlgo
-=-=-=-=-=-=-=-=-=-=-=-=-=-=-=-=-=-=-=-=-=-=-=-=-=-=-=-=-=-=-=-=-=-=-=-=-=-=-=-=
Figure 165.19: A) Projection de la distribution potentielle contemporaine (modèle d’ensemble) sur la métropole de Grenoble ; B) Incertitude associée à la projection.
165.3.3 Distributions potentielles futures
Futur : Projection à l’échelle de l’Europe jusqu’à l’horizon 2100
Toutes les fenêtres temporelles × scénarios pour le GCM « IPSL-CM6A-LR »
- SSP1-2.6




Figure 165.20: Projection des distributions potentielles futures jusqu’à l’horizon 2100 sous le scénario SSP1-2.6 (modèle d’ensemble).
On obtient pour la métrique TSS une carte unique de moyenne pondérée sur les algorithmes et sur les jeux de pseudo-absences.
- SSP2-4.5




Figure 165.21: Projection des distributions potentielles futures jusqu’à l’horizon 2100 sous le scénario SSP2-4.5 (modèle d’ensemble).
- SSP3-7.0




Figure 165.22: Projection des distributions potentielles futures jusqu’à l’horizon 2100 sous le scénario SSP3-7.0 (modèle d’ensemble).
- SSP5-8.5




Figure 165.23: Projection des distributions potentielles futures jusqu’à l’horizon 2100 sous le scénario SSP5-8.5 (modèle d’ensemble).
165.4 Inférence à l’échelle de la métropole
- Croisement avec températures de surface 2019 (fournie par la métropole)
- → conditions climatiques favorables à fine échelle
- à peu près 7 pixels × 9 (WorldClim)
165.4.1 Distributions potentielles futures
Même chose que précédemment mais sur les rasters de Grenoble
- SSP1-2.6




Figure 165.24: Projection des distributions potentielles contemporaine et futures jusqu’à l’horizon 2100 sous le scénario SSP5-8.5 (modèle d’ensemble, GCM IPSL).
- SSP2-4.5




Figure 165.25: Projection des distributions potentielles contemporaine et futures jusqu’à l’horizon 2100 sous le scénario SSP5-8.5 (modèle d’ensemble, GCM IPSL).
- SSP3-7.0




Figure 165.26: Projection des distributions potentielles contemporaine et futures jusqu’à l’horizon 2100 sous le scénario SSP5-8.5 (modèle d’ensemble, GCM IPSL).
- SSP5-8.5




Figure 165.27: Projection des distributions potentielles contemporaine et futures jusqu’à l’horizon 2100 sous le scénario SSP5-8.5 (modèle d’ensemble, GCM IPSL).
165.4.2 Évolution temporelle
# A tibble: 17 × 8
min q1 median mean q3 max ssp year
<table[1d]> <table[1d]> <table[1d]> <table[1d]> <table[1d]> <tab> <fct> <dbl>
1 126 468 682 621.5091 786 850 0 2000
2 252 631 765 699.3642 792 830 126 2040
3 262 632 750 695.5256 781 824 126 2060
4 277 623 750 688.5350 775 806 126 2080
5 273 632 740 692.7932 773 803 126 2100
6 274 645 774 709.6428 790 820 245 2040
7 269 630 751 694.2544 781 812 245 2060
8 293 652 750 705.0049 775 824 245 2080
9 284 649 724 698.7482 766 841 245 2100
10 243 624 765 696.8231 794 839 370 2040
11 279 646 744 701.7995 778 816 370 2060
12 283 651 726 701.2037 772 842 370 2080
13 274 629 691 671.7108 725 841 370 2100
14 255 619 754 689.3435 783 811 585 2040
15 297 664 754 713.3283 775 825 585 2060
16 274 640 707 685.8145 739 846 585 2080
17 269 538 637 600.6530 671 792 585 2100
Figure 165.28: Évolution de la favorabilité climatique au cours du XXIème siècle. Le point représente la médiane sur l’étendue de la métropole (i.e. tous les pixels de la carte) ; le trait gras représente 50 % des données intermédiaires (espace inter-quartile) ; le trait fin représente le reste des données du minimum au maximum.