158 Populus tremula
158.1 Données d’occurrences GBIF
Collecte des données du GBIF :
<<gbif download metadata>>
Status: SUCCEEDED
DOI: 10.15468/dl.gdny7p
Format: SIMPLE_CSV
Download key: 0252670-230224095556074
Created: 2023-05-20T17:57:01.706+00:00
Modified: 2023-05-20T18:02:52.177+00:00
Download link: https://api.gbif.org/v1/occurrence/download/request/0252670-230224095556074.zip
Total records: 342621
Conversion en objets géographiques (format Simple feature de sf) et
exploration rapide des données (classe du jeu de données et premières lignes du
tableau) :
Simple feature collection with 342621 features and 50 fields
Attribute-geometry relationship: 50 constant, 0 aggregate, 0 identity
Geometry type: POINT
Dimension: XY
Bounding box: xmin: -122.5796 ymin: -43.584 xmax: 177.553 ymax: 70.9908
Geodetic CRS: WGS 84
# A tibble: 342,621 × 51
gbifID datasetKey occurrenceID kingdom phylum class order family genus species infraspecificEpithet
* <int64> <chr> <chr> <chr> <chr> <chr> <chr> <chr> <chr> <chr> <chr>
1 2 e9 835613da-… CDA6970D-82… Plantae Trach… Magn… Malp… Salic… Popu… Populu… ""
2 2 e9 835613da-… 56F24680-CB… Plantae Trach… Magn… Malp… Salic… Popu… Populu… ""
3 2 e9 835613da-… 567285A0-4C… Plantae Trach… Magn… Malp… Salic… Popu… Populu… ""
4 2 e9 835613da-… DCB61F2A-2B… Plantae Trach… Magn… Malp… Salic… Popu… Populu… ""
5 2 e9 83fdfd3d-… INFOFLORA-T… Plantae Trach… Magn… Malp… Salic… Popu… Populu… ""
6 3.e9 83fdfd3d-… INFOFLORA-T… Plantae Trach… Magn… Malp… Salic… Popu… Populu… ""
7 3.e9 83fdfd3d-… INFOFLORA-T… Plantae Trach… Magn… Malp… Salic… Popu… Populu… ""
8 2 e9 83fdfd3d-… INFOFLORA-T… Plantae Trach… Magn… Malp… Salic… Popu… Populu… ""
9 2 e9 83fdfd3d-… INFOFLORA-T… Plantae Trach… Magn… Malp… Salic… Popu… Populu… ""
10 2 e9 83fdfd3d-… INFOFLORA-T… Plantae Trach… Magn… Malp… Salic… Popu… Populu… ""
# ℹ 342,611 more rows
# ℹ 40 more variables: taxonRank <chr>, scientificName <chr>, verbatimScientificName <chr>,
# verbatimScientificNameAuthorship <chr>, countryCode <chr>, locality <chr>, stateProvince <chr>,
# occurrenceStatus <chr>, individualCount <int>, publishingOrgKey <chr>, decimalLatitude <dbl>,
# decimalLongitude <dbl>, coordinateUncertaintyInMeters <dbl>, coordinatePrecision <dbl>,
# elevation <dbl>, elevationAccuracy <dbl>, depth <dbl>, depthAccuracy <dbl>, eventDate <dttm>,
# day <int>, month <int>, year <int>, taxonKey <int>, speciesKey <int>, basisOfRecord <chr>, …
Il y a 342 621 occurrences dans le jeu de données. On les affiche sur la carte du monde :
Figure 158.1: Occurrences de Populus tremula dans le monde.
158.1.1 Données par région
On évalue la proportion d’occurrences dans chaque région, en utilisant les 3 masques créés précédemment. Si on a au moins 50 % des occurrences dans une région, on peut continuer en travaillant uniquement sur ces données. Sinon, on vérifie qu’au moins 67 % des données tombent dans l’ensemble des régions, et on prend la région la plus représentée. Au final, s’il s’agit d’une espèce endémique d’Europe, on n’a pas besoin de manipulation supplémentaire.
[1] 0.989440227
[1] 4.669883049e-05
[1] 0.004375096681
Figure 158.2: Occurrence de Populus tremula dans la région d’endémisme.
158.1.2 Licences
On s’intéresse ici au problème particulier des licences :
CC_BY_4_0 CC_BY_NC_4_0 CC0_1_0
223953 22756 92294
[1] 93.28737504
Figure 158.3: Occurrence de Populus tremula dans la région d’endémisme, selon la licence : CC BY-NC en bleu ; CC0 et CC BY en orange.
Idéalement, on aimerait avoir au moins 50 % de données vraiment libres
d’utilisation (c’est-à-dire sans la clause -NC). On continue en supprimant les
données en CC BY-NC.
[1] 316247
158.1.3 Sous-échantillonnage
Si le jeu de données contient 25 000 occurrences ou plus, on procède au sous-échantillonnage aléatoire pour en conserver un maximum de 25 000.
Simple feature collection with 25000 features and 50 fields
Attribute-geometry relationship: 50 constant, 0 aggregate, 0 identity
Geometry type: POINT
Dimension: XY
Bounding box: xmin: -9.571845 ymin: 36.505413 xmax: 46.94 ymax: 70.6018
Geodetic CRS: WGS 84
# A tibble: 25,000 × 51
gbifID datasetKey occurrenceID kingdom phylum class order family genus species infraspecificEpithet
<int64> <chr> <chr> <chr> <chr> <chr> <chr> <chr> <chr> <chr> <chr>
1 1 e9 75956ee6-… "http://cbn… Plantae Trach… Magn… Malp… Salic… Popu… Populu… ""
2 2 e9 83fdfd3d-… "INFOFLORA-… Plantae Trach… Magn… Malp… Salic… Popu… Populu… ""
3 2 e9 38b4c89f-… "urn:lsid:a… Plantae Trach… Magn… Malp… Salic… Popu… Populu… ""
4 1 e9 75956ee6-… "http://cbn… Plantae Trach… Magn… Malp… Salic… Popu… Populu… ""
5 1 e9 75956ee6-… "http://cbn… Plantae Trach… Magn… Malp… Salic… Popu… Populu… ""
6 4 e8 857aa892-… "" Plantae Trach… Magn… Malp… Salic… Popu… Populu… ""
7 2 e9 86306e4b-… "2fe7d194-8… Plantae Trach… Magn… Malp… Salic… Popu… Populu… ""
8 3.e9 38b4c89f-… "urn:lsid:a… Plantae Trach… Magn… Malp… Salic… Popu… Populu… ""
9 2 e9 83fdfd3d-… "INFOFLORA-… Plantae Trach… Magn… Malp… Salic… Popu… Populu… ""
10 3.e9 38b4c89f-… "urn:lsid:a… Plantae Trach… Magn… Malp… Salic… Popu… Populu… ""
# ℹ 24,990 more rows
# ℹ 40 more variables: taxonRank <chr>, scientificName <chr>, verbatimScientificName <chr>,
# verbatimScientificNameAuthorship <chr>, countryCode <chr>, locality <chr>, stateProvince <chr>,
# occurrenceStatus <chr>, individualCount <int>, publishingOrgKey <chr>, decimalLatitude <dbl>,
# decimalLongitude <dbl>, coordinateUncertaintyInMeters <dbl>, coordinatePrecision <dbl>,
# elevation <dbl>, elevationAccuracy <dbl>, depth <dbl>, depthAccuracy <dbl>, eventDate <dttm>,
# day <int>, month <int>, year <int>, taxonKey <int>, speciesKey <int>, basisOfRecord <chr>, …
158.2 Modélisation de la niche climatique
158.2.1 Préparer les données
Organisation des données d’entrées (occurrences et données environnementales) et des données produites de pseudo-absences :
class : SpatVector
geometry : points
dimensions : 25000, 0 (geometries, attributes)
extent : -9.571845, 46.94, 36.50541, 70.6018 (xmin, xmax, ymin, ymax)
coord. ref. : lon/lat WGS 84 (EPSG:4326)
-=-=-=-=-=-=-=-=-=-=-=-=-=-=-= potr Data Formating -=-=-=-=-=-=-=-=-=-=-=-=-=-=-=
! Response variable is considered as only presences... Is it really what you want?
! No data has been set aside for modeling evaluation
!!! Some data are located in the same raster cell.
Please set `filter.raster = TRUE` if you want an automatic filtering.
Checking Pseudo-absence selection arguments...
> random pseudo absences selection
> Pseudo absences are selected in explanatory variables
! Some NAs have been automatically removed from your data
!!! Some data are located in the same raster cell.
Please set `filter.raster = TRUE` if you want an automatic filtering.
-=-=-=-=-=-=-=-=-=-=-=-=-=-=-=-=-=-= Done -=-=-=-=-=-=-=-=-=-=-=-=-=-=-=-=-=-=
-=-=-=-=-=-=-=-=-=-=-=-=-=-= BIOMOD.formated.data -=-=-=-=-=-=-=-=-=-=-=-=-=-=
dir.name = Output
sp.name = potr
24965 presences, 0 true absences and 72925 undefined points in dataset
6 explanatory variables
temp_max_august temp_min temp_wet_quart temp_season
Min. : 2.656 Min. :-22.076 Min. :-12.267 Min. : 197.0
1st Qu.:19.791 1st Qu.: -9.796 1st Qu.: 8.793 1st Qu.: 633.4
Median :22.900 Median : -4.520 Median : 13.137 Median : 747.1
Mean :24.413 Mean : -4.849 Mean : 12.221 Mean : 768.6
3rd Qu.:27.876 3rd Qu.: 0.540 3rd Qu.: 15.993 3rd Qu.: 907.4
Max. :46.048 Max. : 11.550 Max. : 26.407 Max. :1385.6
prec_wet_quart prec_season
Min. : 3.0 Min. : 4.688
1st Qu.: 177.0 1st Qu.: 22.881
Median : 214.0 Median : 30.915
Mean : 217.7 Mean : 35.305
3rd Qu.: 248.0 3rd Qu.: 39.200
Max. :1228.0 Max. :122.948
-=-=-=-=-=-=-=-=-=-=-=-=-=-=-=-=-=-=-=-=-=-=-=-=-=-=-=-=-=-=-=-=-=-=-=-=-=-=-=-=
On visualise les pseudo-absences :
Figure 158.5: Les données d’occurrences (en haut à gauche) et les trois jeux de données aléatoires de pseudo-absences.
$data.vect
class : SpatVector
geometry : points
dimensions : 174860, 2 (geometries, attributes)
extent : -10.39583, 46.97917, 29.02083, 70.97917 (xmin, xmax, ymin, ymax)
coord. ref. :
names : resp dataset
type : <num> <chr>
values : 10 Initial dataset
10 Initial dataset
10 Initial dataset
$data.label
9 10
"**Presences**" "Presences (calibration)"
11 12
"Presences (validation)" "Presences (evaluation)"
19 20
"**True Absences**" "True Absences (calibration)"
21 22
"True Absences (validation)" "True Absences (evaluation)"
29 30
"**Pseudo-Absences**" "Pseudo-Absences (calibration)"
31 1
"Pseudo-Absences (validation)" "Background"
$data.plot
Figure 158.6: Les données d’occurrences (en haut à gauche) et les trois jeux de données aléatoires de pseudo-absences.
158.2.2 Modèles individuels de niche
-=-=-=-=-=-=-=-=-=-=-=-=-=-=-= Build Single Models -=-=-=-=-=-=-=-=-=-=-=-=-=-=-=
Checking Models arguments...
Creating suitable Workdir...
! Weights where automatically defined for potr_PA1 to rise a 0.5 prevalence !
! Weights where automatically defined for potr_PA2 to rise a 0.5 prevalence !
! Weights where automatically defined for potr_PA3 to rise a 0.5 prevalence !
-=-=-=-=-=-=-=-=-=-=-=-=-=-= potr Modeling Summary -=-=-=-=-=-=-=-=-=-=-=-=-=-=
6 environmental variables ( temp_max_august temp_min temp_wet_quart temp_season prec_wet_quart prec_season )
Number of evaluation repetitions : 1
Models selected : GAM MARS MAXNET GBM ANN RF
Total number of model runs: 18
-=-=-=-=-=-=-=-=-=-=-=-=-=-=-=-=-=-=-=-=-=-=-=-=-=-=-=-=-=-=-=-=-=-=-=-=-=-=-=-=
-=-=-=- Run : potr_PA1
-=-=-=--=-=-=- potr_PA1_RUN1
-=-=-=- Run : potr_PA2
-=-=-=--=-=-=- potr_PA2_RUN1
-=-=-=- Run : potr_PA3
-=-=-=--=-=-=- potr_PA3_RUN1
-=-=-=-=-=-=-=-=-=-=-=-=-=-=-=-=-=-= Done -=-=-=-=-=-=-=-=-=-=-=-=-=-=-=-=-=-=
158.2.2.1 Évaluation de la performance
full.name PA run algo metric.eval cutoff sensitivity
1 potr_PA1_RUN1_GAM PA1 RUN1 GAM TSS 485.0 92.745
2 potr_PA1_RUN1_GAM PA1 RUN1 GAM ROC 484.5 92.745
3 potr_PA1_RUN1_MARS PA1 RUN1 MARS TSS 431.0 93.025
4 potr_PA1_RUN1_MARS PA1 RUN1 MARS ROC 431.5 92.985
5 potr_PA1_RUN1_MAXNET PA1 RUN1 MAXNET TSS 373.0 90.892
6 potr_PA1_RUN1_MAXNET PA1 RUN1 MAXNET ROC 371.5 91.037
specificity calibration validation evaluation
1 54.000 0.467 0.463 NA
2 54.000 0.704 0.698 NA
3 79.255 0.723 0.718 NA
4 79.320 0.918 0.916 NA
5 79.995 0.709 0.702 NA
6 79.870 0.919 0.916 NA
Figure 158.7: Évaluation de la performance des modèles individuels : True Skill Statistic & aire sous la courbe de ROC.
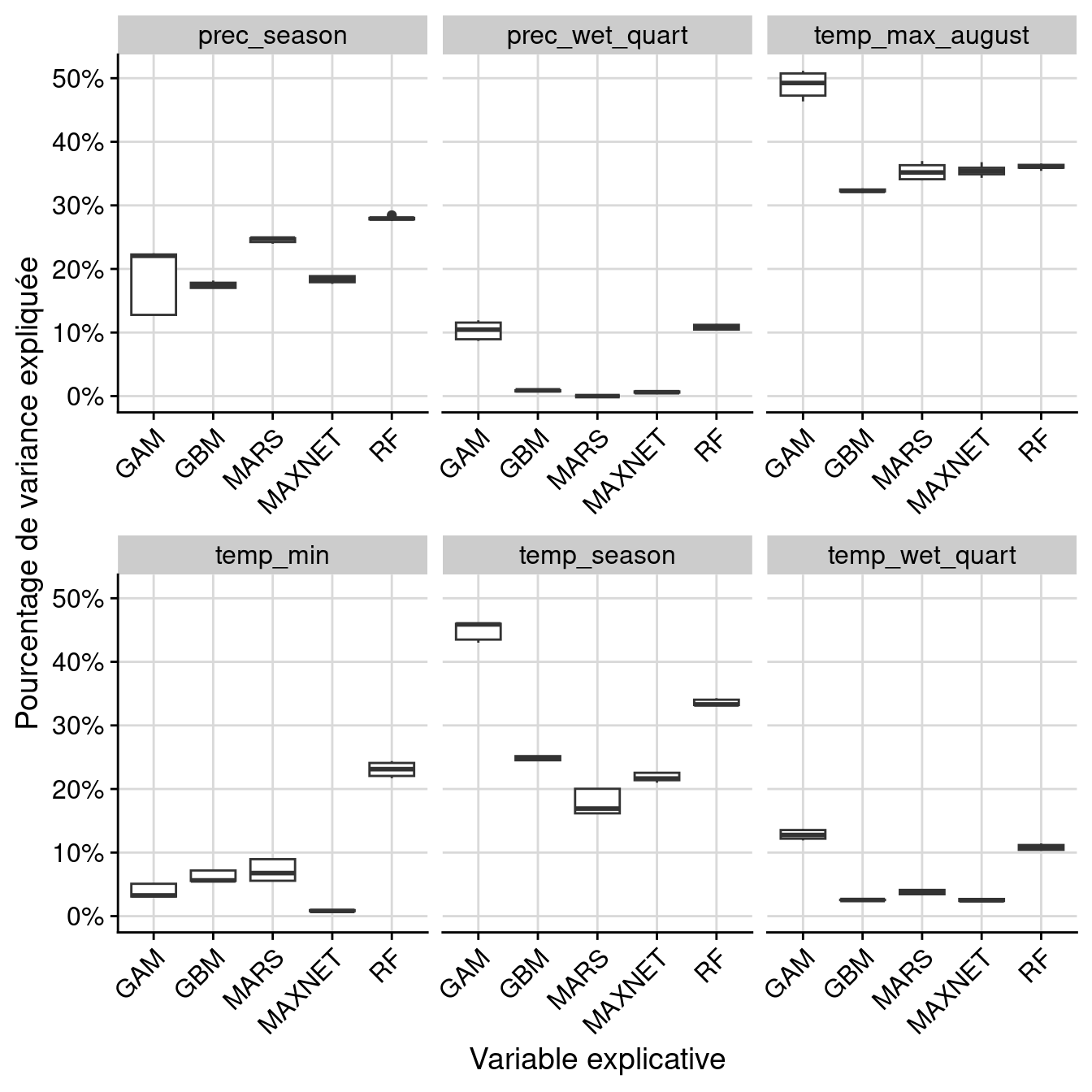
158.2.2.2 Importance des variables environnementales
full.name PA run algo expl.var rand var.imp
1 potr_PA1_RUN1_GAM PA1 RUN1 GAM temp_max_august 1 0.470386
2 potr_PA1_RUN1_GAM PA1 RUN1 GAM temp_min 1 0.051440
3 potr_PA1_RUN1_GAM PA1 RUN1 GAM temp_wet_quart 1 0.127058
4 potr_PA1_RUN1_GAM PA1 RUN1 GAM temp_season 1 0.459929
5 potr_PA1_RUN1_GAM PA1 RUN1 GAM prec_wet_quart 1 0.086798
6 potr_PA1_RUN1_GAM PA1 RUN1 GAM prec_season 1 0.127361
Figure 158.8: Pourcentage de variance expliquée pour chaque variable, décomposé par algorithme.
Figure 158.9: Pourcentage de variance expliquée pour chaque variable, décomposé par variable.
158.2.3 Modèles d’ensemble de niche
Seulement modèles avec TSS > 0.8
-=-=-=-=-=-=-=-=-=-=-=-=-= BIOMOD.ensemble.models.out -=-=-=-=-=-=-=-=-=-=-=-=-=
sp.name : potr
expl.var.names : temp_max_august temp_min temp_wet_quart temp_season
prec_wet_quart prec_season
models computed:
potr_EMcvByTSS_mergedData_mergedRun_mergedAlgo, potr_EMwmeanByTSS_mergedData_mergedRun_mergedAlgo
models failed: none
-=-=-=-=-=-=-=-=-=-=-=-=-=-=-=-=-=-=-=-=-=-=-=-=-=-=-=-=-=-=-=-=-=-=-=-=-=-=-=-=
158.2.3.1 Évaluation de la qualité
full.name merged.by.PA merged.by.run
1 potr_EMwmeanByTSS_mergedData_mergedRun_mergedAlgo mergedData mergedRun
2 potr_EMwmeanByTSS_mergedData_mergedRun_mergedAlgo mergedData mergedRun
merged.by.algo filtered.by algo metric.eval cutoff sensitivity specificity
1 mergedAlgo TSS EMwmean TSS 636.0 95.582 94.710
2 mergedAlgo TSS EMwmean ROC 636.5 95.562 94.743
calibration validation evaluation
1 0.903 NA NA
2 0.992 NA NA
Figure 158.11: Évaluation de la qualité du modèle d’ensemble : Aire sous la courbe de ROC & True Skill Statistic.
full.name merged.by.PA merged.by.run
1 potr_EMcvByTSS_mergedData_mergedRun_mergedAlgo mergedData mergedRun
2 potr_EMcvByTSS_mergedData_mergedRun_mergedAlgo mergedData mergedRun
3 potr_EMcvByTSS_mergedData_mergedRun_mergedAlgo mergedData mergedRun
4 potr_EMcvByTSS_mergedData_mergedRun_mergedAlgo mergedData mergedRun
5 potr_EMcvByTSS_mergedData_mergedRun_mergedAlgo mergedData mergedRun
6 potr_EMcvByTSS_mergedData_mergedRun_mergedAlgo mergedData mergedRun
merged.by.algo filtered.by algo expl.var rand var.imp
1 mergedAlgo TSS EMcv temp_max_august 1 0.602341
2 mergedAlgo TSS EMcv temp_min 1 0.502012
3 mergedAlgo TSS EMcv temp_wet_quart 1 0.427232
4 mergedAlgo TSS EMcv temp_season 1 0.498719
5 mergedAlgo TSS EMcv prec_wet_quart 1 0.397083
6 mergedAlgo TSS EMcv prec_season 1 0.498422
Par variable :
Figure 158.12: Pourcentage de variance expliquée par variable dans le modèle d’ensemble.
Figure 158.13: Courbes de réponse de chaque variable climatique dans le modèle d’ensemble.
158.3 Projections
158.3.1 Distribution potentielle contemporaine
Contemporaine : Cartographie des observations sur couches climatiques Extraction des conditions climatiques favorables
-=-=-=-=-=-=-=-=-=-=-=-=-=-= BIOMOD.projection.out -=-=-=-=-=-=-=-=-=-=-=-=-=-=
Projection directory : Output/potr/current
sp.name : potr
expl.var.names : temp_max_august temp_min temp_wet_quart temp_season
prec_wet_quart prec_season
modeling.id : AllModels ( Output/potr/potr.AllModels.models.out )
models.projected :
potr_PA1_RUN1_GAM, potr_PA1_RUN1_MARS, potr_PA1_RUN1_MAXNET, potr_PA1_RUN1_GBM, potr_PA1_RUN1_RF, potr_PA2_RUN1_GAM, potr_PA2_RUN1_MARS, potr_PA2_RUN1_MAXNET, potr_PA2_RUN1_GBM, potr_PA2_RUN1_RF, potr_PA3_RUN1_GAM, potr_PA3_RUN1_MARS, potr_PA3_RUN1_MAXNET, potr_PA3_RUN1_GBM, potr_PA3_RUN1_RF
available binary projection : TSS, ROC
available filtered projection : TSS, ROC
-=-=-=-=-=-=-=-=-=-=-=-=-=-=-=-=-=-=-=-=-=-=-=-=-=-=-=-=-=-=-=-=-=-=-=-=-=-=-=-=
Figure 158.14: Projection de la distribution potentielle contemporaine sur l’Europe, selon les 6 algorithmes et les 3 runs.
Figure 158.15: Projection de la distribution potentielle contemporaine sur l’Europe, selon les 6 algorithmes et les 3 runs.
-=-=-=-=-=-=-=-=-=-=-=-=-=-= BIOMOD.projection.out -=-=-=-=-=-=-=-=-=-=-=-=-=-=
Projection directory : Output/potr/current
sp.name : potr
expl.var.names : temp_max_august temp_min temp_wet_quart temp_season
prec_wet_quart prec_season
modeling.id : AllModels ( Output/potr/potr.AllModels.ensemble.models.out )
models.projected :
potr_EMcvByTSS_mergedData_mergedRun_mergedAlgo, potr_EMwmeanByTSS_mergedData_mergedRun_mergedAlgo
-=-=-=-=-=-=-=-=-=-=-=-=-=-=-=-=-=-=-=-=-=-=-=-=-=-=-=-=-=-=-=-=-=-=-=-=-=-=-=-=
Figure 158.16: A) Projection de la distribution potentielle contemporaine (modèle d’ensemble) ; B) Incertitude associée à la projection.
158.3.2 Interpolation à l’échelle de la métropole
- → conditions climatiques favorables à fine échelle
On projette la niche climatique sur ce raster à fine échelle.
-=-=-=-=-=-=-=-=-=-=-=-=-=-= BIOMOD.projection.out -=-=-=-=-=-=-=-=-=-=-=-=-=-=
Projection directory : Output/potr/cont_gre
sp.name : potr
expl.var.names : temp_max_august temp_min temp_wet_quart temp_season
prec_wet_quart prec_season
modeling.id : AllModels ( Output/potr/potr.AllModels.models.out )
models.projected :
potr_PA1_RUN1_GAM, potr_PA1_RUN1_MARS, potr_PA1_RUN1_MAXNET, potr_PA1_RUN1_GBM, potr_PA1_RUN1_RF, potr_PA2_RUN1_GAM, potr_PA2_RUN1_MARS, potr_PA2_RUN1_MAXNET, potr_PA2_RUN1_GBM, potr_PA2_RUN1_RF, potr_PA3_RUN1_GAM, potr_PA3_RUN1_MARS, potr_PA3_RUN1_MAXNET, potr_PA3_RUN1_GBM, potr_PA3_RUN1_RF
available binary projection : TSS, ROC
available filtered projection : TSS, ROC
-=-=-=-=-=-=-=-=-=-=-=-=-=-=-=-=-=-=-=-=-=-=-=-=-=-=-=-=-=-=-=-=-=-=-=-=-=-=-=-=
Figure 158.17: Projection de la distribution potentielle contemporaine sur la métropole de Grenoble, selon les 6 algorithmes et les 3 runs.
Figure 158.18: Projection de la distribution potentielle contemporaine sur la métropole de Grenoble, selon les 6 algorithmes et les 3 runs.
-=-=-=-=-=-=-=-=-=-=-=-=-=-= BIOMOD.projection.out -=-=-=-=-=-=-=-=-=-=-=-=-=-=
Projection directory : Output/potr/cont_gre
sp.name : potr
expl.var.names : temp_max_august temp_min temp_wet_quart temp_season
prec_wet_quart prec_season
modeling.id : AllModels ( Output/potr/potr.AllModels.ensemble.models.out )
models.projected :
potr_EMcvByTSS_mergedData_mergedRun_mergedAlgo, potr_EMwmeanByTSS_mergedData_mergedRun_mergedAlgo
-=-=-=-=-=-=-=-=-=-=-=-=-=-=-=-=-=-=-=-=-=-=-=-=-=-=-=-=-=-=-=-=-=-=-=-=-=-=-=-=
Figure 158.19: A) Projection de la distribution potentielle contemporaine (modèle d’ensemble) sur la métropole de Grenoble ; B) Incertitude associée à la projection.
158.3.3 Distributions potentielles futures
Futur : Projection à l’échelle de l’Europe jusqu’à l’horizon 2100
Toutes les fenêtres temporelles × scénarios pour le GCM « IPSL-CM6A-LR »
- SSP1-2.6




Figure 158.20: Projection des distributions potentielles futures jusqu’à l’horizon 2100 sous le scénario SSP1-2.6 (modèle d’ensemble).
On obtient pour la métrique TSS une carte unique de moyenne pondérée sur les algorithmes et sur les jeux de pseudo-absences.
- SSP2-4.5




Figure 158.21: Projection des distributions potentielles futures jusqu’à l’horizon 2100 sous le scénario SSP2-4.5 (modèle d’ensemble).
- SSP3-7.0




Figure 158.22: Projection des distributions potentielles futures jusqu’à l’horizon 2100 sous le scénario SSP3-7.0 (modèle d’ensemble).
- SSP5-8.5




Figure 158.23: Projection des distributions potentielles futures jusqu’à l’horizon 2100 sous le scénario SSP5-8.5 (modèle d’ensemble).
158.4 Inférence à l’échelle de la métropole
- Croisement avec températures de surface 2019 (fournie par la métropole)
- → conditions climatiques favorables à fine échelle
- à peu près 7 pixels × 9 (WorldClim)
158.4.1 Distributions potentielles futures
Même chose que précédemment mais sur les rasters de Grenoble
- SSP1-2.6




Figure 158.24: Projection des distributions potentielles contemporaine et futures jusqu’à l’horizon 2100 sous le scénario SSP5-8.5 (modèle d’ensemble, GCM IPSL).
- SSP2-4.5




Figure 158.25: Projection des distributions potentielles contemporaine et futures jusqu’à l’horizon 2100 sous le scénario SSP5-8.5 (modèle d’ensemble, GCM IPSL).
- SSP3-7.0




Figure 158.26: Projection des distributions potentielles contemporaine et futures jusqu’à l’horizon 2100 sous le scénario SSP5-8.5 (modèle d’ensemble, GCM IPSL).
- SSP5-8.5




Figure 158.27: Projection des distributions potentielles contemporaine et futures jusqu’à l’horizon 2100 sous le scénario SSP5-8.5 (modèle d’ensemble, GCM IPSL).
158.4.2 Évolution temporelle
# A tibble: 17 × 8
min q1 median mean q3 max ssp year
<table[1d]> <table[1d]> <table[1d]> <table[1d]> <table[1d]> <tab> <fct> <dbl>
1 220 493 723 678.49998 849 997 0 2000
2 48 193 397 422.67011 657 933 126 2040
3 31 91 273 323.20772 547 837 126 2060
4 33 99 263 314.49611 511 825 126 2080
5 35 91 266 313.46156 524 780 126 2100
6 40 180 369 409.56040 652 902 245 2040
7 40 87 211 253.16495 415 776 245 2060
8 36 77 101 192.75604 257 703 245 2080
9 37 81 99 138.36970 164 553 245 2100
10 41 229 354 409.67446 634 929 370 2040
11 36 79 196 252.75086 427 760 370 2060
12 45 83 95 124.40541 143 564 370 2080
13 18 47 63 64.98924 78 217 370 2100
14 42 173 340 371.51866 574 862 585 2040
15 41 80 135 194.28763 280 623 585 2060
16 19 55 64 66.74263 77 241 585 2080
17 21 37 47 53.26572 68 160 585 2100
Figure 158.28: Évolution de la favorabilité climatique au cours du XXIème siècle. Le point représente la médiane sur l’étendue de la métropole (i.e. tous les pixels de la carte) ; le trait gras représente 50 % des données intermédiaires (espace inter-quartile) ; le trait fin représente le reste des données du minimum au maximum.